Second Quantization for Fermions: Creation Operator

Click For Summary

Discussion Overview

The discussion revolves around the mathematical framework of second quantization for fermions, specifically focusing on the creation operator and related equations. Participants explore concepts such as the Pauli Exclusion Principle, antisymmetry of wavefunctions, and the derivation of specific equations within this context.

Discussion Character

  • Technical explanation
  • Conceptual clarification
  • Debate/contested
  • Mathematical reasoning

Main Points Raised

  • Some participants question the necessity of a summation in the equations and the condition (i≠p), seeking clarification on its significance.
  • One participant notes that the equation reflects the Pauli Exclusion Principle, stating that fermions cannot occupy the same quantum state.
  • Another participant inquires about the role of Np and the reason for the factor of (-1) raised to Np, suggesting it relates to the creation and annihilation operators.
  • There is a discussion about the antisymmetry of wavefunctions for fermions, with some participants linking this to the introduction of the factor of -1.
  • One participant expresses difficulty in deriving certain equations and seeks assistance with the derivation process.
  • A reference to an external source is provided to aid understanding, although it is noted that the operators discussed exhibit anticommutative behavior.

Areas of Agreement / Disagreement

Participants express varying levels of understanding regarding the equations and concepts discussed. There is no consensus on the derivation of specific equations or the implications of the factors involved, indicating ongoing uncertainty and exploration of the topic.

Contextual Notes

Participants have not fully resolved the mathematical steps involved in the derivation of the equations, and there are dependencies on specific definitions and interpretations of the terms used.

jhosamelly
Messages
125
Reaction score
0
2crrgiq.jpg


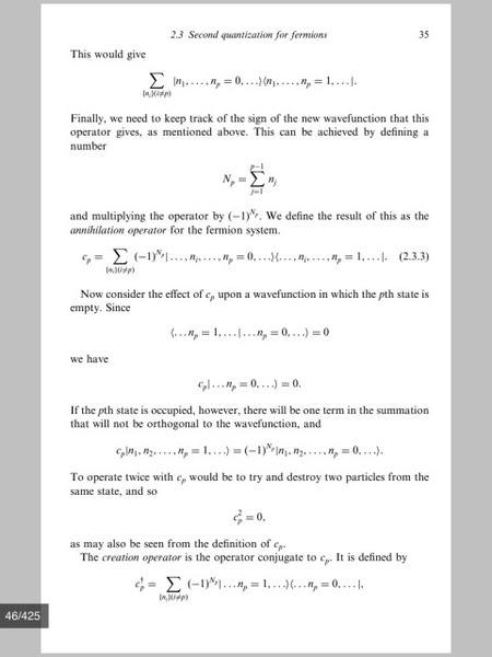
So, I'm studying Second Quantization for fermions and came across this equation. I was just wondering why there is a summation needed? And why do we do it with (i≠p).? Please can someone explain this to me?

Reply and help is much appreciated.
 
Physics news on Phys.org
jhosamelly said:
2crrgiq.jpg


So, I'm studying Second Quantization for fermions and came across this equation. I was just wondering why there is a summation needed? And why do we do it with (i≠p).? Please can someone explain this to me?

Reply and help is much appreciated.
This is basically a mathematical expression for the Pauli Exclusion Principle.
Two ways to state the Pauli exclusion principle are:
1) Two or more fermion particles can not share the same quantum state.
2) A specific quantum state can have either 0 or 1 fermion particles.
 
Ow! Yes, I've read that! But why the need for Np? And why is -1 raised to Np if we just want to keep its sign?
 
i'll post the whole page so you would have an idea about my question

30joh9w.jpg

11tmnue.jpg


So here, for those I put check on. Why is there a (-1)^Np? I know that's part of the creation and annihilation operator, but why is it there?

Second, the equation I encircled has Nq+1. How did that happen? Thanks.
 
It just arises because of the antisymmetry required,which introduces a factor of -1.
 
Hmmm.. Because wavefunction for fermions are antisymmetric? Ok. Got that! But how was the encircled eqn derived? And the last equation is also giving me a hard time. I am trying to derive everything here.
 
jhosamelly said:
Hmmm.. Because wavefunction for fermions are antisymmetric? Ok. Got that! But how was the encircled eqn derived? And the last equation is also giving me a hard time. I am trying to derive everything here.

Hy, you seem to be lost.
Perhaps, this reference will be helpful:
www.scholarpedia.org/article/Second_quantization
(please respect the recommandations at the bottom of the page)
These operators seem to be spinors and have a typical anticommutative behavior.
I cannot help you directly, sorry.
Good luck
 

Similar threads

  • · Replies 13 ·
Replies
13
Views
3K
  • · Replies 6 ·
Replies
6
Views
2K
  • · Replies 13 ·
Replies
13
Views
3K
  • · Replies 4 ·
Replies
4
Views
3K
  • · Replies 24 ·
Replies
24
Views
3K
  • · Replies 7 ·
Replies
7
Views
2K
  • · Replies 3 ·
Replies
3
Views
2K
Replies
0
Views
885
  • · Replies 78 ·
3
Replies
78
Views
7K
Replies
2
Views
2K