Series question: find 0.01^0.01

  • Thread starter Thread starter Michael_Light
  • Start date Start date
  • Tags Tags
    Series
Click For Summary
SUMMARY

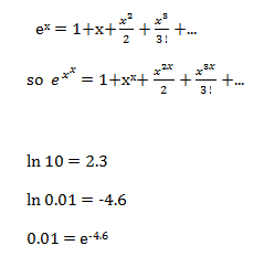
The discussion centers on calculating the value of \(0.01^{0.01}\) using the exponential series and properties of logarithms. Participants emphasize expressing \(x^x\) as \(e^{y}\), where \(y = x \ln(x)\). The specific value of \(x\) is \(0.01\), and the natural logarithm of \(10\) is approximated as \(2.30\). The goal is to compute \(0.01^{0.01}\) accurately to three decimal places.

PREREQUISITES
  • Understanding of exponential functions and their properties
  • Familiarity with natural logarithms and their calculations
  • Knowledge of the exponential series expansion
  • Basic algebraic manipulation skills
NEXT STEPS
  • Study the exponential series and its applications in calculus
  • Learn about the properties of logarithms, specifically natural logarithms
  • Practice converting expressions into exponential form
  • Explore numerical methods for approximating powers and logarithmic values
USEFUL FOR

This discussion is beneficial for students studying calculus, particularly those learning about exponential functions and logarithms, as well as educators seeking to guide students through complex mathematical concepts.

Michael_Light
Messages
112
Reaction score
0

Homework Statement



By expressing xx as a power of e and using the exponential series, or otherwise, find (without using tables) the value of xx when x=0.01, correct to three places of decimals. (ln10 = 2.30 to two decimal places).

Homework Equations





The Attempt at a Solution



I have tried to playing around with the exponential series and ln 10 = 2.3, but still can't get anything useful... can someone guide me?

mathematics 15.png
 
Physics news on Phys.org
Hi Michael! :smile:
Michael_Light said:
By expressing xx as a power of e

But you haven't done that …

you've written exx

you're being asked to find y, where ey = xx :wink:
 

Similar threads

  • · Replies 38 ·
2
Replies
38
Views
4K
  • · Replies 6 ·
Replies
6
Views
3K
  • · Replies 15 ·
Replies
15
Views
2K
  • · Replies 4 ·
Replies
4
Views
2K
  • · Replies 6 ·
Replies
6
Views
10K
  • · Replies 2 ·
Replies
2
Views
3K
  • · Replies 2 ·
Replies
2
Views
4K
  • · Replies 6 ·
Replies
6
Views
3K
  • · Replies 20 ·
Replies
20
Views
12K
  • · Replies 8 ·
Replies
8
Views
4K