Simple case of Gauss' law for gravity

Click For Summary

Discussion Overview

The discussion revolves around the application of Gauss's law for gravity, particularly in the context of a point mass M and its implications in a spherically symmetric gravitational field. Participants explore the differential form of Gauss's law, mathematical interpretations, and the behavior of gravitational fields at different distances from the mass.

Discussion Character

  • Technical explanation
  • Mathematical reasoning
  • Debate/contested

Main Points Raised

  • One participant expresses confusion about obtaining a zero divergence when applying Gauss's law for a point mass, questioning whether the divergence should indeed be zero.
  • Another participant suggests that the divergence of the gravitational field should be zero everywhere except at the origin, where the potential is undefined.
  • There is a discussion about the implications of using different formulas for gravitational force, such as one proportional to 1/r^3, which results in a non-zero divergence.
  • A participant proposes a model involving a finite mass sphere to better understand the gravitational field, suggesting that this approach allows for the application of vector calculus without singularities.
  • Another participant introduces the concept of defining the divergence of the inverse square function as a Dirac Delta function, indicating that this could reconcile the divergence theorem with the behavior at the origin.
  • Concerns are raised about the limitations of using point masses in calculations, with a suggestion to consider a more mathematically defined model for gravitational sources.

Areas of Agreement / Disagreement

Participants do not reach a consensus on the interpretation of Gauss's law for gravity in the context of point masses. Multiple competing views are presented regarding the behavior of divergence and the implications of using different models.

Contextual Notes

The discussion highlights limitations in the application of vector calculus at singular points, such as the origin in the case of point masses, and the need for generalized functions or distributions to properly define mass density in these scenarios.

snoopies622
Messages
852
Reaction score
29
TL;DR
I'm having a math problem with Gauss's law for gravity for a point mass M. Or is my interpretation of the law wrong?
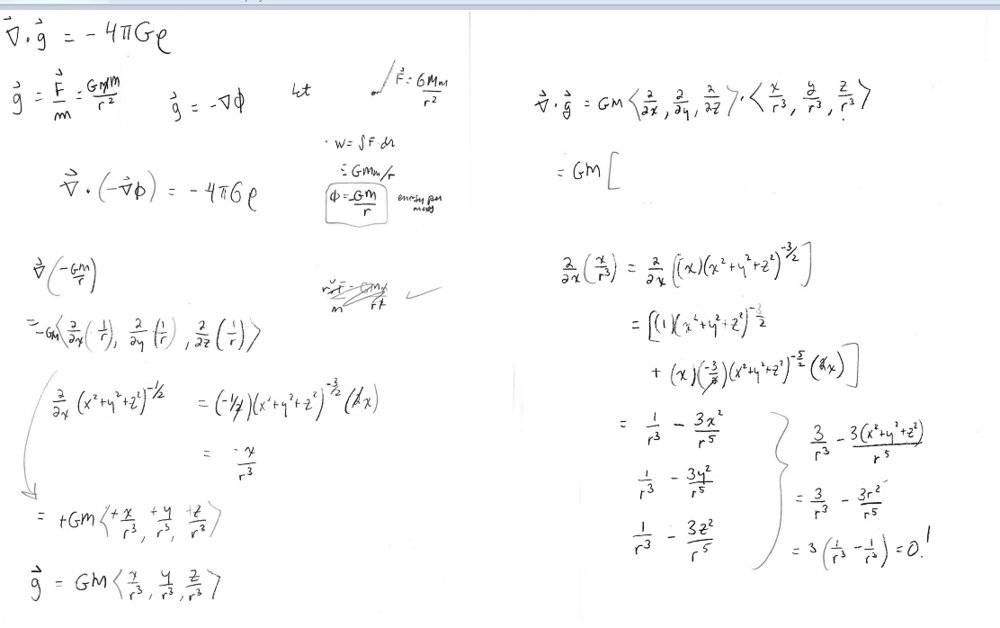
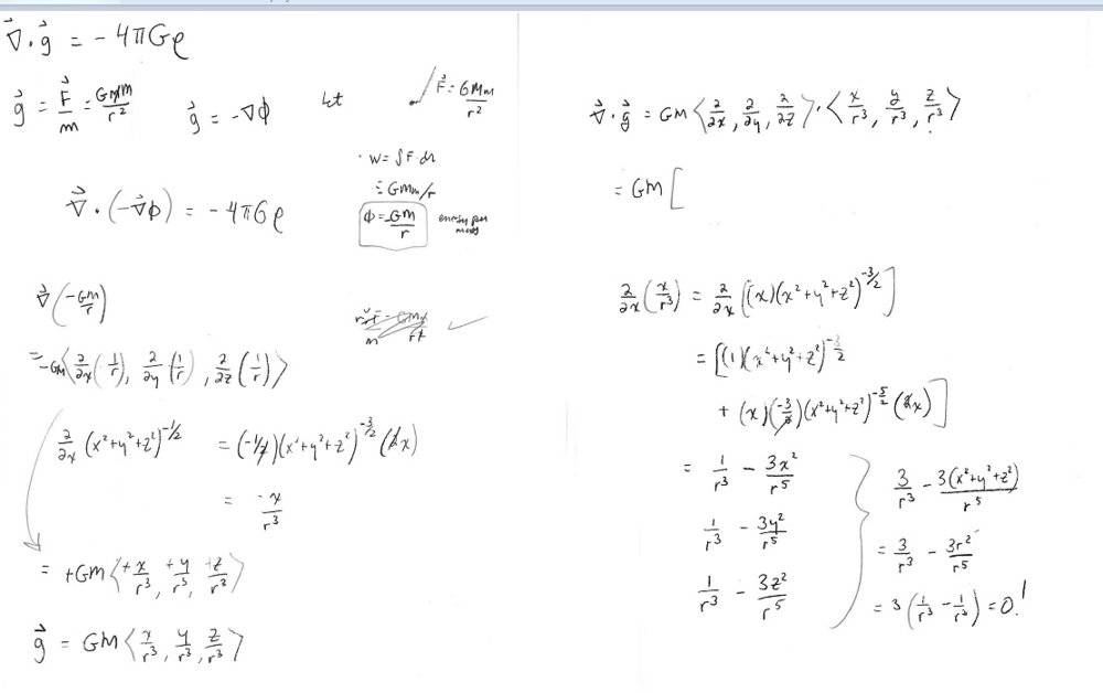
i have little experience with the differential form of Gauss's Law, and I've tried three times now to arrive at it for a point mass M (spherically symmetric classical gravitational field) but instead of getting an answer proportional to the mass density I keep getting zero. Is the divergence supposed to be zero? Intuitively I would say no since all the field lines are pointing away from the origin, but then maybe the fact that they get smaller as r increases makes a difference. Scanned and uploaded my work since LaTeX can be a bit tedious.
 

Attachments

  • grav-final-2.jpg
    grav-final-2.jpg
    36.6 KB · Views: 255
Physics news on Phys.org
snoopies622 said:
Summary:: I'm having a math problem with Gauss's law for gravity for a point mass M. Or is my interpretation of the law wrong?

i have little experience with the differential form of Gauss's Law, and I've tried three times now to arrive at it for a point mass M (spherically symmetric classical gravitational field) but instead of getting an answer proportional to the mass density I keep getting zero. Is the divergence supposed to be zero? Intuitively I would say no since all the field lines are pointing away from the origin, but then maybe the fact that they get smaller as r increases makes a difference. Scanned and uploaded my work since LaTeX can be a bit tedious.

why don't you show theGauss's law form that you used? No one can diagnose what the problem here is based on your vague description.

Zz.
 
(I hope the image is legible, I kept getting "image too large" so I had to shrink it)
 
snoopies622 said:
Summary:: I'm having a math problem with Gauss's law for gravity for a point mass M. Or is my interpretation of the law wrong?

i have little experience with the differential form of Gauss's Law, and I've tried three times now to arrive at it for a point mass M (spherically symmetric classical gravitational field) but instead of getting an answer proportional to the mass density I keep getting zero. Is the divergence supposed to be zero? Intuitively I would say no since all the field lines are pointing away from the origin, but then maybe the fact that they get smaller as r increases makes a difference. Scanned and uploaded my work since LaTeX can be a bit tedious.

Yes, interestingly ##\nabla \cdot \frac{\hat r}{r^2} = 0##.

What are you missing?
 
  • Like
Likes   Reactions: snoopies622
I used [itex]\nabla \cdot (\nabla \phi) = -4 \pi G \rho[/itex] with [itex]\phi = -GM/r[/itex] in three dimensional Cartesian coordinates. Okay, I wasn't sure if the answer should be zero or [itex]-4 \pi G \rho[/itex] with [itex]\rho = M/((4/3) \pi r^3)[/itex]. Thanks!
 
snoopies622 said:
I used [itex]\nabla \cdot (\nabla \phi) = -4 \pi G \rho[/itex] with [itex]\phi = -GM/r[/itex] in three dimensional Cartesian coordinates. Okay, I wasn't sure if the answer should be zero or [itex]-4 \pi G \rho[/itex] with [itex]\rho = M/((4/3) \pi r^3)[/itex]. Thanks!

Is it ##0## everywhere?
 
Yes, it appears to be zero everywhere except at the origin, where [itex]\phi[/itex] is undefined.

I don't have an intuitive sense of what this result means. Using a different formula for the force of gravity (pretending it's proportional to [itex]1/r^3[/itex] instead of [itex]1/r^2[/itex] for example) produces a non-zero divergence, even though in both cases the mass of the object creating the field is non-zero.
 
snoopies622 said:
Yes, it appears to be zero everywhere except at the origin, where [itex]\phi[/itex] is undefined.

I don't have an intuitive sense of what this result means. Using a different formula for the force of gravity (pretending it's proportional to [itex]1/r^3[/itex] instead of [itex]1/r^2[/itex] for example) produces a non-zero divergence, even though in both cases the mass of the object creating the field is non-zero.

Mathematically, the divergence theorem does not apply in this case because of the function at ##r=0##.

One solution is to consider a small but finite mass at the origin. In which case, all the divergence is in that small region, and zero outside it, and thew divergence theorem holds.

The other option is to define the divergence of the inverse square function as a three-dimensional Dirac Delta function. In this case, you use Gauss's law (the value of surface integral) and insist that the volume integral must have the same value, hence the divergence must be a Delta function.
 
The problem is that "point masses" are fictitions that make our lives often simpler but only as long as we don't look at the place where the "point mass" sits.

To solve your problem rather consider a mathematically better defined model for the source of your gravitational field first. The most simple you can think of is a sphere with a finite radius ##a## located at the origin of the coordinate system with a constant mass density ##\rho##, i.e.,
$$\rho(\vec{x})=\begin{cases} \rho_0 & \text{for} \quad |\vec{x}| \leq a \\0 & \text{for} \quad |\vec{x}|>a. \end{cases}.$$
Now you can apply the usual math of vector calculus. You know that the gravitational field ##\vec{g}(\vec{x})## is a conservative field, i.e., that there is a scalar potential ##\Phi## such that
$$\vec{g}=-\vec{\nabla} \phi$$
and then there's "Gauss's Law",
$$\vec{\nabla} \cdot \vec{g}=-\Delta \Phi=-4 \pi G \rho,$$
where ##G## is Newton's gravitational constant (the factor ##4 \pi## is conventional).

Now you can solve the problem very easily by first thinking about the symmetries of the problem. Obviously with our choice of a spherically symmetric mass distribution it makes sense to introduce spherical coordinates. Then ##\rho(\vec{x})=\rho(r)## and obviously the ansatz ##\Phi(\vec{x})=\Phi(r)## can be expected to work. Indeed using the known formula for the Laplace operator in spherical coordinates leads to
$$\Delta \Phi(r)=\frac{1}{r} \partial_r^2 (r \Phi)=4 \pi \rho.$$
That's easy to solve for our problem. Let's start with the region ##r>a##. Then the right-hand side vanishes, and we have
$$(r \Phi)''=0 \; \Rightarrow \; r \Phi=A +B r \; \Rightarrow \; \Phi(r)=\frac{A}{r} + B.$$
The constant ##B## is irrelevant and can be set to 0, because adding a constant to the potential doesn't change the field ##\vec{g}=-\vec{\nabla} \Phi##. We can't determine ##A## yet. For that we need to also solve the equation for ##r<a##, where
$$\frac{1}{r} (r \Phi)''=4 \pi \rho_0.$$
Now
$$(r \Phi)''=-4 \pi G \rho_0 r \; \Rightarrow \; (r \Phi)'=2 \pi G \rho_0 r^2 + B' \; \Rightarrow \; r \Phi=\frac{2}{3} \pi \rho_0 r^3 + B' r +A' \; \Rightarrow \; \Phi=-\frac{2}{3} G \pi \rho_0 r^2 + B'+\frac{A'}{r}.$$
Now since there are no singularities in ##\rho## at ##r=0##, there shouldn't be singularities there for ##\Phi## either. Thus we have to set ##A'=0##. Further the potential as well as the field
$$\vec{g}=-\vec{\nabla} \Phi=-\Phi'(r) \vec{e}_r$$
should be continuous at ##r=a##, from which
$$\frac{2}{3} \pi G \rho_0 a^2 +B'=\frac{A}{a}, \qquad (*)\\
\frac{4}{3} \pi G \rho_0 a =-\frac{A}{a^2}.$$
From the latter equation we find
$$A=-\frac{4}{3} \pi G a^3 \rho_0=-M G,$$
where ##M=\rho_0 V=4 \pi a^3 \rho/3## is the total mass of our spherical body.
Finally we get from (*)
$$\frac{M G}{2 a}+B'=-\frac{M G}{a} \; \Rightarrow \; B'=-\frac{3 M G}{2a}.$$
Now let's see what happens, when we make ##a \rightarrow 0## but keeping ##M=\text{const}##. Since ##\rho_0=M/V=3 M/(4 \pi a^3)## we have ##\rho_0 \rightarrow \infty##.

This shows, what's going on for the "point-particle limit". You get
$$\rho(\vec{x})=\begin{cases} 0 & \text{for} \quad \vec{x} \neq 0, \\ \rightarrow \infty & \text{for} \quad \vec{x} \rightarrow 0,
\end{cases}
$$
but
$$M=\int_{V} \mathrm{d}^3 x \rho(\vec{x})$$
for any volume ##V## which contains the origin. Thus the correct limit for the mass density needs an extension of our application of vector calculus to socalled "generalized functions" or "distributions". In this case we get the famous Dirac ##\delta## distribution,
$$\rho(\vec{x})=M \delta^{(3)}(\vec{x}),$$
and
$$\Phi(\vec{x})=-\frac{M G}{r},$$
which diverges for ##r \rightarrow 0##. So you cannot apply the usual notions of vector calculus, where curl, div, grad are given as derivatives with respect to the coordinates for ##r=0##, but everything gets consistent by defining
$$\Delta \Phi(\vec{x})=4 \pi G \rho(\vec{x})=4 \pi G M \delta^{(3)}(\vec{x}),$$
from which you get the extended meaning of the Laplace operator in the sense of generalized functions:
$$\Delta \frac{1}{r} = -4 \pi \delta^{(3)}(\vec{x}).$$
As you see, the apparently "simple" case of a "point mass" needs the introduction of an entire new kind of mathematics, and indeed the Dirac ##\delta## distribution, introduced in a handwaving way by Dirac to make calculations in quantum theory simpler, triggered the development of the entire new mathematical discipline of functional analysis.
 
  • Like
Likes   Reactions: PeroK
  • #10
Wow, thanks PeroK and vanhees71 ~ so much detail!

I was actually more curious about the fact that [itex]\nabla ^2 \phi =0[/itex] outside of the sphere even though the gravitational field itself is non-zero. Rather like how the Schwarzschild metric represents a non-zero gravitational field and is itself a "vacuum solution" to Einstein's equation. In fact what prompted this subject for me was the beginning of chapter 8 of Schutz's "A First Course in General Relativity" in which he arrives at Einstein's field equation using the Gauss law as a kind of analogy. If I remember correctly Einstein himself does too in his original paper.
 
  • Like
Likes   Reactions: vanhees71
  • #11
snoopies622 said:
I was actually more curious about the fact that [itex]\nabla ^2 \phi =0[/itex] outside of the sphere even though the gravitational field itself is non-zero.

Divergence identifies sources of the field. In regions where there is no matter (or electric charges in EM field theory), you have Laplace's equation: $$\nabla^2 \phi = 0$$.
 
  • Like
Likes   Reactions: vanhees71 and snoopies622

Similar threads

  • · Replies 1 ·
Replies
1
Views
2K
  • · Replies 4 ·
Replies
4
Views
2K
  • · Replies 12 ·
Replies
12
Views
1K
  • · Replies 11 ·
Replies
11
Views
6K
  • · Replies 29 ·
Replies
29
Views
2K
  • · Replies 26 ·
Replies
26
Views
3K
  • · Replies 1 ·
Replies
1
Views
4K
  • · Replies 10 ·
Replies
10
Views
2K
Replies
9
Views
2K
  • · Replies 10 ·
Replies
10
Views
2K