Sinusoidal function, find its parameters

Click For Summary
SUMMARY

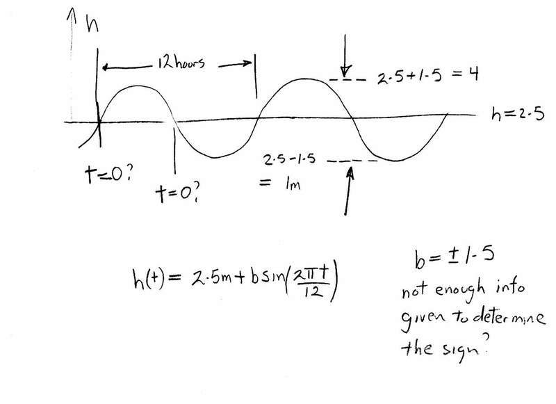
The discussion focuses on modeling the height of water in a harbor using a sinusoidal function represented by h(t) = a + b sin(kt + c). The parameters were determined as follows: a = 2.5 meters (mean level), b = 1.5 meters (amplitude), k = π/6 (derived from the period of 12 hours), and c = 0 (initial phase shift). The highest and lowest water heights were calculated to be 4 meters and 1 meter, respectively, occurring at t = 12 hours and t = 0 hours.

PREREQUISITES
  • Understanding of sinusoidal functions and their parameters
  • Knowledge of trigonometric identities and transformations
  • Ability to solve equations involving sine functions
  • Familiarity with periodic functions and their properties
NEXT STEPS
  • Study the derivation of sinusoidal functions in real-world applications
  • Learn about phase shifts in trigonometric functions
  • Explore the concept of amplitude and period in wave functions
  • Investigate the use of Fourier series for modeling periodic data
USEFUL FOR

Students in mathematics or physics, educators teaching trigonometry, and anyone involved in modeling periodic phenomena such as tides or sound waves.

voltaire101
Messages
3
Reaction score
0

Homework Statement



Measurements of the height h(t) of water in a harbor are recorded ,where h is measured in meters and t in hours.It was noted that the rise and fall of a tide is modeled by a sinusoidal function giving the height by : h(t)=a+bsin(kt+c).

(a) Obtain values of the parameters a,b,c and k if measurement started when the level is equal to the mean level of 2.5 meters and has an amplitude of 1.5 meters and a period of 12 hours.

b) Compute the rate of change of the water height.


c) Find the highest and lowest values of h and the times at which they are taken.


Homework Equations





The Attempt at a Solution



This is a very complex problem (I think). OK, I tried to solve it in many way but with no progress, finally the doctor said that he will give us a hint. So I wrote this hint and I found it was very far from my attempts to solve it.

So I will type the doctor's hints..

at t=0 the height was 2.5

every 12 hours there is an amplitude of 1.5 meters

He also wrote this: (I don't know why he chose four periods)

when t=0 h=2.5
when t=12 h=4
when t=24 h=5.5
when t=36 h=7

when t=0 2.5=a+bsin(c)

when t=12 4=a+bsin(12k+c)

when t=24 5.5=a+bsin(24kc)

when t=36 7=a+bsin(36k+c)

for the first period:
sin(c)=[itex]\frac{2.5-a}{b}[/itex]

for the second period:
sin(12k+c)=sin(12k)cos(c)+cos(12k)sin(c)

... At this point I lost reception.
 
Physics news on Phys.org
Does this get you started?
 

Attachments

  • aaaaa114.jpg
    aaaaa114.jpg
    20.3 KB · Views: 536

Similar threads

  • · Replies 1 ·
Replies
1
Views
2K
Replies
9
Views
2K
Replies
17
Views
3K
  • · Replies 3 ·
Replies
3
Views
3K
  • · Replies 4 ·
Replies
4
Views
3K
  • · Replies 1 ·
Replies
1
Views
869
  • · Replies 2 ·
Replies
2
Views
796
  • · Replies 14 ·
Replies
14
Views
4K
Replies
3
Views
2K
  • · Replies 7 ·
Replies
7
Views
30K