Solution to Differential Equation with Limit Boundary Condition

Click For Summary

Homework Help Overview

The discussion revolves around solving a second-order differential equation with specified boundary conditions. Participants are exploring the implications of these conditions on the constants involved in the solution.

Discussion Character

  • Mixed

Approaches and Questions Raised

  • Participants discuss the application of boundary conditions to a differential equation solution, with one participant expressing uncertainty about how to proceed after applying the first condition. Another suggests a transformation of the solution into a different form involving trigonometric functions. There are also considerations about how to handle undefined contributions from terms in the solution.

Discussion Status

The conversation is ongoing, with participants providing insights and suggestions for manipulating the solution. Some guidance has been offered regarding the substitution of constants and the application of limits, but no consensus has been reached on a definitive approach.

Contextual Notes

Participants are working under the constraints of the boundary conditions y(1) = 1 and the limit of y as x approaches 0 = 0. There is mention of constants C and D, which are central to the discussion but remain to be fully resolved.

a1234
Messages
78
Reaction score
6
Homework Statement
A second order differential equation was found to have a solution, y_2 (provided below). Apply the boundary conditions y(1) = 1 and lim of y as y approaches 0 = 0 to find the unique solution.
Relevant Equations
Original differential equation and obtained solution provided in the box below.
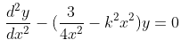
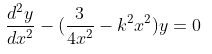
The original differential equation is:

1663934426962.png

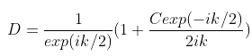
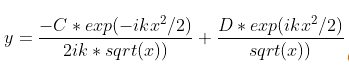
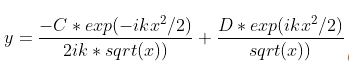
My solution is below, where C and D are constants. I have verified that it satisfies the original DE.
1663934166996.png


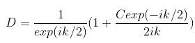
When I apply the first boundary condition, I obtain that
1663934588145.png
, but I'm unsure where to go from there to apply the second boundary condition. I know that I should try to choose C such that the undefined contributions from both terms cancel out, but haven't found anything that does this.
 
Physics news on Phys.org
I would use [tex] \exp(\pm ikx^2/2) = \cos(kx^2/2) \pm i\sin(kx^2/2)[/tex] to write the solution in the form [tex] y(x) = \frac{A\cos(kx^2/2) + B\sin(kx^2/2)}{\sqrt{x}}.[/tex]
 
  • Like
Likes   Reactions: topsquark
a1234 said:
Homework Statement:: A second order differential equation was found to have a solution, y_2 (provided below). Apply the boundary conditions y(1) = 1 and lim of y as y approaches 0 = 0 to find the unique solution.
Relevant Equations:: Original differential equation and obtained solution provided in the box below.

The original differential equation is:

View attachment 314495
My solution is below, where C and D are constants. I have verified that it satisfies the original DE.
View attachment 314494

When I apply the first boundary condition, I obtain that View attachment 314496, but I'm unsure where to go from there to apply the second boundary condition. I know that I should try to choose C such that the undefined contributions from both terms cancel out, but haven't found anything that does this.
The right side of the equation for D simplifies to $$D = e^{-ik/2}(1 + \frac C {2ik})$$
I would substitute the above for D into the solution you found, and take the limit as x approaches 0.
 
  • Like
Likes   Reactions: a1234 and topsquark
I was able to figure out this problem.
 
  • Like
Likes   Reactions: PhDeezNutz

Similar threads

Replies
3
Views
2K
Replies
7
Views
2K
  • · Replies 1 ·
Replies
1
Views
2K
Replies
6
Views
2K
  • · Replies 8 ·
Replies
8
Views
2K
Replies
0
Views
1K
  • · Replies 2 ·
Replies
2
Views
1K
  • · Replies 4 ·
Replies
4
Views
3K
Replies
4
Views
2K
  • · Replies 2 ·
Replies
2
Views
1K