Solve Echelon Matrices Homework with Row Operations & Gaussian Elimination

  • Thread starter Thread starter DiamondV
  • Start date Start date
  • Tags Tags
    Echelon Matrices
Click For Summary

Homework Help Overview

The discussion revolves around the topic of echelon matrices, specifically focusing on the process of achieving row echelon form through row operations and Gaussian elimination. Participants are exploring the properties of echelon matrices and the implications of having leading entries that are not equal to one.

Discussion Character

  • Conceptual clarification, Assumption checking, Problem interpretation

Approaches and Questions Raised

  • Participants discuss the need for a specific entry in a matrix to be 1 and question the implications of having leading entries that are not 1. There is also a consideration of whether certain properties of echelon matrices are strictly necessary for solving systems of equations.

Discussion Status

The discussion is ongoing, with participants examining the definitions and properties of echelon matrices. Some have suggested that the leading entry does not always need to be 1, while others are questioning the necessity of this condition in practical applications. There is a mix of interpretations regarding the properties of row echelon form and their relevance to the problem at hand.

Contextual Notes

Participants are grappling with the definitions and properties of echelon matrices, particularly in the context of their homework requirements. There is mention of a preference for avoiding fractions during calculations, which may influence their approach to row operations.

DiamondV
Messages
103
Reaction score
0

Homework Statement


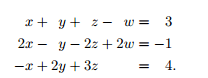
Find the general solution
69ca6177fa.png


Homework Equations


Row operations
Gaussian elimination

The Attempt at a Solution


5d39a77963.jpg


This is has happened twice now and I'm not too sure how to deal with it. The last row ends up being all zeros except in that spot. I need to make this into an echelon matrix and for that I need a 1 in the 3rd entry of row 3. Not sure how to get it like that.
 
Physics news on Phys.org
DiamondV said:

Homework Statement


Find the general solution
69ca6177fa.png


Homework Equations


Row operations
Gaussian elimination

The Attempt at a Solution


5d39a77963.jpg


This is has happened twice now and I'm not too sure how to deal with it. The last row ends up being all zeros except in that spot. I need to make this into an echelon matrix and for that I need a 1 in the 3rd entry of row 3. Not sure how to get it like that.
What is the definition of an echelon matrix or row echelon form?
 
Samy_A said:
What is the definition of an echelon matrix or row echelon form?
We say that an m × n matrix is a row echelon matrix if it has the following three properties.
1 All zero rows, if there are any, are at the bottom of the matrix.
2 The leading entry of each non-zero row equals 1.
3 If rows numbered i and i + 1 are two successive non-zero rows, the leading entry of row i + 1 is in a column strictly to the right of the column containing the leading entry of row i.
 
DiamondV said:
We say that an m × n matrix is a row echelon matrix if it has the following three properties.
1 All zero rows, if there are any, are at the bottom of the matrix.
2 The leading entry of each non-zero row equals 1.
3 If rows numbered i and i + 1 are two successive non-zero rows, the leading entry of row i + 1 is in a column strictly to the right of the column containing the leading entry of row i.
Correct, although property 2 is not always included, and easily fixed anyway.
Does your last matrix satisfy properties 1 and 3?

Do you notice that these properties do not imply what you wrote in the first post (bolding mine)?
DiamondV said:
This is has happened twice now and I'm not too sure how to deal with it. The last row ends up being all zeros except in that spot. I need to make this into an echelon matrix and for that I need a 1 in the 3rd entry of row 3.
 
Samy_A said:
Correct, although property 2 is not always included, and easily fixed anyway.
Does your last matrix satisfy properties 1 and 3?

Do you notice that these properties do not imply what you wrote in the first post (bolding mine)?

For the first condition, there are no zero rows so that satisfied.
It doesn't satisfy property 3, assuming row 2 to be row i and row 3 to be i+1, then I would still need a 1 in the third entry of the row 3 as that is the column to the right of the leading entry of row 2.
 
DiamondV said:
For the first condition, there are no zero rows so that satisfied.
It doesn't satisfy property 3, assuming row 2 to be row i and row 3 to be i+1, then I would still need a 1 in the third entry of the row 3 as that is the column to the right of the leading entry of row 2.
No, this is not a correct interpretation of property 3: "If rows numbered i and i + 1 are two successive non-zero rows, the leading entry of row i + 1 is in a column strictly to the right of the column containing the leading entry of row i."
"column strictly to the right of ..." doesn't necessarily mean "first column to the right of ...".
 
Samy_A said:
No, this is not a correct interpretation of property 3: "If rows numbered i and i + 1 are two successive non-zero rows, the leading entry of row i + 1 is in a column strictly to the right of the column containing the leading entry of row i."
"column strictly to the right of ..." doesn't necessarily mean "first column to the right of ...".
Hm. I understand what youre saying. In other parts of the notes he says:
Echelon Matrices:
All zero rows are at the bottom
Leading entry in each row is 1
Leading entries are moving to the right as we move down the rows.

So what youre saying is basically at this point in time I can solve that matrix by just make that -3 in row 2 to a 1(not even necessary)?
 
DiamondV said:
Hm. I understand what youre saying. In other parts of the notes he says:
Echelon Matrices:
All zero rows are at the bottom
Leading entry in each row is 1
Leading entries are moving to the right as we move down the rows.

So what youre saying is basically at this point in time I can solve that matrix by just make that -3 in row 2 to a 1(not even necessary)?
Yes. Your last matrix is in row echelon form (except for property 2, which you can safely ignore here).
 
Samy_A said:
Yes. Your last matrix is in row echelon form (except for property 2, which you can safely ignore here).
Are there like certain weird exceptions to this ? Also when can you not ignore the fact that the leading entry isn't 1?
 
  • #10
DiamondV said:
Are there like certain weird exceptions to this ? Also when can you not ignore the fact that the leading entry isn't 1?
I don't know. As property 2 is often included in the definition, I guess there must be a reason for that.
For solving the system of equations from the bottom up using the row echelon form I don't see what benefit we get from having specifically 1 as leading row entry.

Another take on this:
If you are required to pivot on a one, then you must sometimes use the second elementary row operation and divide a row through by the leading element to make it into a one. Division leads to fractions. While fractions are your friends, you're less likely to make a mistake if you don't use them.

What's the catch? If you don't pivot on a one, you are likely to encounter larger numbers. Most people are willing to work with the larger numbers to avoid the fractions.
 
  • #11
Samy_A said:
I don't know. As property 2 is often included in the definition, I guess there must be a reason for that.
For solving the system of equations from the bottom up using the row echelon form I don't see what benefit we get from having specifically 1 as leading row entry.

Another take on this:
I mean through the entire class, he has always told us to pivot at a 1 in order to make the values below the 1 in that column a 0, and then we move to the second column and pivot at a 1.
 
  • #12
DiamondV said:
I mean through the entire class, he has always told us to pivot at a 1 in order to make the values below the 1 in that column a 0, and then we move to the second column and pivot at a 1.
Maybe you can ask him for the reason.
 
  • #13
DiamondV said:
I mean through the entire class, he has always told us to pivot at a 1 in order to make the values below the 1 in that column a 0, and then we move to the second column and pivot at a 1.

Many discussions of echelon matrices do not require that the leading coefficients in rows are = 1; they are satisfied with having them ≠ 0 (so you can divide by them).
 
  • #14
Are you required to use matrices here? It looks to me like simple "elimination" would work better. For example, adding twice the first equation to the second equation will eliminate both z and w and give 3x+ y= 5 so y= 5- 3x. Putting that into the last equation, -x+ 10- 6x+ 3z= 10- 7x+ 3z= 4 so 3z= -6+ 7x so z= -2+ (7/3)x. Finally, putting both y= 5- 3x and z= -2+ (7/3)x into the first equation gives x+ 5- 3x- 2+ (7/3)x- w= (1/3)x+ 3- w= 4 so w= 1- (1/3)x. Since you have only three equations in four unknowns, the "general solution" will be three of the unknowns in terms of the fourth.
 

Similar threads

  • · Replies 7 ·
Replies
7
Views
2K
  • · Replies 2 ·
Replies
2
Views
3K
  • · Replies 1 ·
Replies
1
Views
2K
  • · Replies 2 ·
Replies
2
Views
2K
  • · Replies 37 ·
2
Replies
37
Views
6K
  • · Replies 21 ·
Replies
21
Views
3K
  • · Replies 3 ·
Replies
3
Views
2K
Replies
1
Views
5K
  • · Replies 5 ·
Replies
5
Views
10K
  • · Replies 8 ·
Replies
8
Views
2K