Solve for a variable inside a summation

Click For Summary
SUMMARY

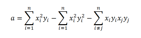
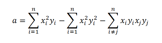
The discussion focuses on solving for variable x in a summation equation where a is a known constant and multiple variables x1 to xn are involved. The participants conclude that without additional assumptions, the equation cannot yield a unique solution; instead, it represents a quadratic surface in n-dimensional space. For a specific value of a, such as a=0.5, the solution will result in a set of x-values rather than a single solution. The last two terms of the equation represent the expansion of the squared sum of the product xy.

PREREQUISITES
  • Understanding of quadratic equations in multiple dimensions
  • Familiarity with summation notation and its implications
  • Knowledge of algebraic manipulation involving constants and variables
  • Basic concepts of n-dimensional geometry
NEXT STEPS
  • Research methods for solving quadratic equations in multiple variables
  • Learn about the geometric interpretation of quadratic surfaces
  • Explore techniques for substituting constants in algebraic equations
  • Investigate the implications of dimensionality in mathematical equations
USEFUL FOR

Mathematicians, students studying algebra and geometry, and anyone interested in solving complex equations involving multiple variables.

lilly92
Messages
8
Reaction score
0
I need to solve the equation
MWSnap042.png


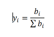
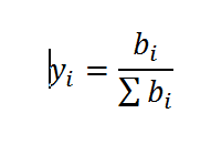
for x, where a is a known constant and
MWSnap043.png
.
The bs are known too.
What i need to do is sto find for which xs I'll have a specific value of a, eg a=0.5, i.e. solve for x and substitute the a. I believe that the result will be a group of xs and not a single x-value. Also the last two terms of the first equation are the expansion of the squared sum of the product xy
 
Physics news on Phys.org
There are n variables "x", x1 to xn, but just one equation. Without additional assumptions or other information, there is no way to solve anything. You can fix all but one to an arbitrary value and then solve the equation for the last one (gives a simple quadratic equation), but I doubt that's what you actually want.
 
lilly92 said:
I need to solve the equation
MWSnap042.png


for x, where a is a known constant and
MWSnap043.png
.
The bs are known too.
What i need to do is sto find for which xs I'll have a specific value of a, eg a=0.5, i.e. solve for x and substitute the a. I believe that the result will be a group of xs and not a single x-value. Also the last two terms of the first equation are the expansion of the squared sum of the product xy

You have variables ##x_1, x_2, \ldots, x_n## but only one equation. Essentially, you have the equation of a quadratic surface in n-dimensional space. There will not be only a single solution, just as a surface does not contain only a single point.
 

Similar threads

Replies
5
Views
4K
  • · Replies 2 ·
Replies
2
Views
1K
  • · Replies 6 ·
Replies
6
Views
3K
  • · Replies 3 ·
Replies
3
Views
2K
  • · Replies 2 ·
Replies
2
Views
2K
  • · Replies 3 ·
Replies
3
Views
3K
  • · Replies 6 ·
Replies
6
Views
7K
Replies
9
Views
3K
  • · Replies 8 ·
Replies
8
Views
2K
Replies
3
Views
3K