Solve Fourier Transform Homework: Wrong Answer?

Click For Summary

Homework Help Overview

The discussion revolves around the application of Fourier Transform properties, specifically focusing on time shifting and scaling. Participants are attempting to understand the implications of these properties on the transform results and are comparing their answers to a textbook solution.

Discussion Character

  • Exploratory, Conceptual clarification, Mathematical reasoning, Assumption checking

Approaches and Questions Raised

  • Participants discuss the inverse Fourier transform and its application to derive results. There are questions about the effects of time shifting and scaling on the exponential terms in the Fourier Transform. Some participants express uncertainty regarding the correctness of the textbook answers and the methods used to arrive at their own conclusions.

Discussion Status

The discussion is ongoing, with participants sharing their reasoning and questioning the assumptions behind their calculations. Some guidance has been offered regarding the application of properties, but there is no explicit consensus on the correct answers or methods.

Contextual Notes

Participants are working under the constraints of homework rules, which may limit the information they can share or the methods they can use. There is also mention of potential errors in the textbook answers, which adds to the uncertainty in the discussion.

jaus tail
Messages
613
Reaction score
48

Homework Statement


upload_2017-12-11_12-32-47.png


Homework Equations


if x(t) --> X(W)
then
x(-t) --> X(-W)
and
x(t+a)-->ejwX(W)

The Attempt at a Solution


upload_2017-12-11_12-33-14.png

I'm getting right answer for 1st part. For second part book says right answer is C.
Where am I wrong?[/B]
 

Attachments

  • upload_2017-12-11_12-32-47.png
    upload_2017-12-11_12-32-47.png
    6.9 KB · Views: 798
  • upload_2017-12-11_12-33-14.png
    upload_2017-12-11_12-33-14.png
    64.3 KB · Views: 796
Physics news on Phys.org
First you calculate x(t) by inverse Fourier tansform then by substituting t=-t and t=-t-1 you will get the result
 
So as per rules
if f(t)----> Fourier---> F(jw)
then f(t-to) ----> estoF(jw)
So then if there is now any more x(3(t-to)) then does the change reflect in esto also or is that a constant and only F(jw) becomes 1/|a| F(jw/a)?
 
This is what I tried for second part. But book answer is c
 
jaus tail said:
x(-t) --> X(-W)
jaus tail said:
So as per rules
if f(t)----> Fourier---> F(jw)
then f(t-to) ----> estoF(jw)
So then if there is now any more x(3(t-to)) then does the change reflect in esto also or is that a constant and only F(jw) becomes 1/|a| F(jw/a)?
jaus tail said:
So as per rules
if f(t)----> Fourier---> F(jw)
then f(t-to) ----> estoF(jw)
So then if there is now any more x(3(t-to)) then does the change reflect in esto also or is that a constant and only F(jw) becomes 1/|a| F(jw/a)?
Yes you can apply this property. i told you in previous post to recheck ur answer by that method.
 
Thanks. But I don't know how to use inverse Fourier method. What answer are you getting? B or C?
It could be book answer is wrong.

I wanted to ask a doubt on fourier?
If we have to use time shift property followed by time scaling property then does the exponential part also change?
upload_2017-12-12_15-49-6.png

I can't find any solved examples. In laplace there were a few unsolved examples but then my answer matched when I didn't consider e^(-Ts) as part of new F(S). As in the second circle drawn above.
 

Attachments

  • upload_2017-12-12_15-45-56.png
    upload_2017-12-12_15-45-56.png
    53.8 KB · Views: 500
  • upload_2017-12-12_15-49-6.png
    upload_2017-12-12_15-49-6.png
    64.5 KB · Views: 839
A
jaus tail said:
Thanks. But I don't know how to use inverse Fourier method. What answer are you getting? B or C?
It could be book answer is wrong.

I wanted to ask a doubt on fourier?
If we have to use time shift property followed by time scaling property then does the exponential part also change?
View attachment 216565
I can't find any solved examples. In laplace there were a few unsolved examples but then my answer matched when I didn't consider e^(-Ts) as part of new F(S). As in the second circle drawn above.
Just multiply by e^-jw to the answer you got in previous problem.In only time shift exponential term come you can do it by simple integration
 
That gives answer but should it be e^-jw or e^(+jw)
since x(-t-1) = x(-(t+1))
So I'm not sure how to go ahead with this. Should it be +jw or -jw?
 
jaus tail said:
That gives answer but should it be e^-jw or e^(+jw)
since x(-t-1) = x(-(t+1))
So I'm not sure how to go ahead with this. Should it be +jw or -jw?
-Jw
 
  • Like
Likes   Reactions: jaus tail
  • #10
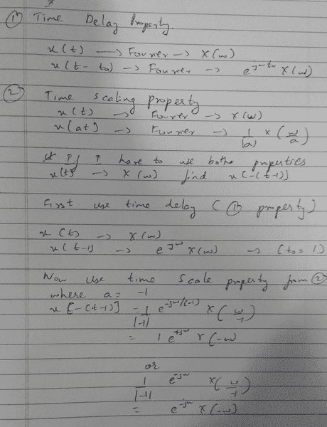
In original post I've used time shift property first and then time scaling. Can u help me as to why I'm not getting right answer there? I've pasted pic.
 
  • #12
jaus tail said:
In original post I've used time shift property first and then time scaling. Can u help me as to why I'm not getting right answer there? I've pasted pic.
You have done right but you choose option b and option b is not matching to you result may be in option c there is print mistake with minus sing in first term.
 
  • Like
Likes   Reactions: jaus tail
  • #13
Thanks.
 

Similar threads

  • · Replies 5 ·
Replies
5
Views
2K
  • · Replies 6 ·
Replies
6
Views
4K
Replies
1
Views
3K
  • · Replies 3 ·
Replies
3
Views
2K
  • · Replies 1 ·
Replies
1
Views
2K
  • · Replies 2 ·
Replies
2
Views
2K
  • · Replies 9 ·
Replies
9
Views
3K
  • · Replies 2 ·
Replies
2
Views
2K
  • · Replies 6 ·
Replies
6
Views
2K
Replies
1
Views
2K