Solve Stokes' 2 Homework with Flux Calculation

  • Thread starter Thread starter asi123
  • Start date Start date
  • Tags Tags
    Stuck
Click For Summary

Homework Help Overview

The discussion revolves around applying Stokes' theorem to evaluate an integral related to flux calculations involving a closed surface formed by the intersection of a sphere and the plane z=2. Participants are exploring the implications of their calculations and the correct interpretation of the surfaces involved.

Discussion Character

  • Exploratory, Assumption checking, Problem interpretation

Approaches and Questions Raised

  • The original poster attempts to find the curl and set up an area integral but questions whether the integral represents the flux through a specific surface. Other participants question the interpretation of the surfaces and suggest reconsidering the parametrization of the surfaces involved.

Discussion Status

Participants are actively engaging with the problem, with some offering guidance on the correct surfaces to consider and clarifying the nature of the closed curve. There is a mix of interpretations regarding the use of Stokes' theorem and the application of Gauss' law, indicating an ongoing exploration of the concepts.

Contextual Notes

There is some confusion regarding the terminology used, particularly around the description of the surfaces and the nature of the integral being evaluated. Participants are also navigating language barriers that may affect clarity in communication.

asi123
Messages
254
Reaction score
0

Homework Statement



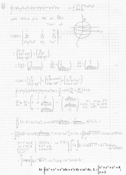
Ok, so I need to solve this integral (bottom of the pic) using Stokes' theorem.
What I did first is to find the Curl, then I used the UV surface as usual and then found the normal.
After that, I switched to an area integral of the dot product between the curl and the normal over the UV surface.
It's all in the pic.
My question is this, what this integral actually finds is the flux, right? the flux that goes through the Spiral, so if it's correct, do I also need to find the flux that goes through the plot z=2, that goes downward?

Damn, my English sucks :smile:

Homework Equations





The Attempt at a Solution

:smile:
 

Attachments

  • scan0004.jpg
    scan0004.jpg
    24.4 KB · Views: 374
Physics news on Phys.org
Any idea, guys?
 
Defennder said:
I don't see any spiral. The integral is meant to evaluate the flux through a closed surface by the divergence theorem. I go zero as well. What do you mean by the plot where z=2?

Do u mean using Gauss' law?
 
Oh shucks I just responded to the wrong thread! This is meant for the other thread.
 
Ok I still don't see what spiral you're talking about. You're evaluating the closed line integral corresponding to the closed curve interesection between the sphere and the plane z=2. So, you found curl F, but you seem to have taken the surface to be the sphere itself. While it's still possible, it makes for tedious calculation. Pick an easier surface to parametrise.
 
Defennder said:
Ok I still don't see what spiral you're talking about. You're evaluating the closed line integral corresponding to the closed curve interesection between the sphere and the plane z=2. So, you found curl F, but you seem to have taken the surface to be the sphere itself. While it's still possible, it makes for tedious calculation. Pick an easier surface to parametrise.

Sorry, I meant sphere, I said my English sucks.
Anyway, I need to find the flux that comes out of this surface between Z=2 and the sphere, and I don't think I can parametrize both of them together, should I use Gauss' law?
10x.
 
Yeah, I mean the surface is a closed surface, it's between the plot z = 2 and the sphere, so I thought maybe I can use Gauss' law somehow, no?
 
No, you're supposed to evaluate the closed line integral formed by the intersection of the plane and the sphere. That is if I interpret [tex]\oint[/tex] correctly to mean a line integral on a closed path. You should pick an easy surface bound by this closed curve to parametrise. There's only one surface to parametrise. And I still don't know what you mean by Gauss law.

EDIT: It's not a closed surface. Otherwise you can't use Stoke's theorem.
 
Defennder said:
No, you're supposed to evaluate the closed line integral formed by the intersection of the plane and the sphere. That is if I interpret [tex]\oint[/tex] correctly to mean a line integral on a closed path. You should pick an easy surface bound by this closed curve to parametrise. There's only one surface to parametrise. And I still don't know what you mean by Gauss law.

EDIT: It's not a closed surface. Otherwise you can't use Stoke's theorem.

I don't get it, the intersection of the plane and the sphere is the circle in Z=2, should I parametrize it?
 
  • #10
Oh, is it the circle?
 
  • #11
Yes the circle is the closed curve. You can evaluate the line integral directly or use stokes theorem to calculate the flux through any closed surface bound by the circle.
 
  • #12
Defennder said:
Yes the circle is the closed curve. You can evaluate the line integral directly or use stokes theorem to calculate the flux through any closed surface bound by the circle.

Oh, I was way off, I thought I need to find the flux through part of the sphere (from Z=2 up to the top) which is not even a line...:redface:
That's way I talked about guess's low.
Ok, thanks a lot.
 
  • #13
Is that right?
 

Attachments

  • scan0005.jpg
    scan0005.jpg
    23.4 KB · Views: 333

Similar threads

  • · Replies 4 ·
Replies
4
Views
2K
Replies
6
Views
3K
  • · Replies 1 ·
Replies
1
Views
1K
  • · Replies 6 ·
Replies
6
Views
3K
  • · Replies 1 ·
Replies
1
Views
2K
  • · Replies 6 ·
Replies
6
Views
2K
Replies
7
Views
3K
  • · Replies 5 ·
Replies
5
Views
2K
  • · Replies 6 ·
Replies
6
Views
3K
  • · Replies 3 ·
Replies
3
Views
2K