Solving Algebraic Expressions with Potens Rules | Quick Homework Question

  • Thread starter Thread starter christian0710
  • Start date Start date
  • Tags Tags
    Algebra
Click For Summary

Homework Help Overview

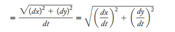
The discussion revolves around transforming algebraic expressions using what is referred to as "potens" rules, specifically in the context of manipulating expressions under a radical sign.

Discussion Character

  • Exploratory, Assumption checking, Problem interpretation

Approaches and Questions Raised

  • Participants explore various manipulations of the expressions, questioning how to correctly bring terms under the radical sign. Some express confusion about the "potens" rules and their application.

Discussion Status

There is an active exploration of different approaches to the problem, with some participants seeking clarification on the necessary steps to manipulate the expressions. A few have begun to understand the implications of taking square roots in the context of the problem.

Contextual Notes

Some participants express uncertainty about the meaning of the left-hand side of the equation and note that the identity discussed may only hold under certain conditions, such as when specific variables are positive.

christian0710
Messages
407
Reaction score
8

Homework Statement


I stated this as a small attached photo, since i still need to learn to write in latex (see photo)

Homework Equations


How do you transform the first expression into the next expression (on photo)?

The Attempt at a Solution


[/B]I tried various manipulations with potens rules, but I'm really lost here, please help me out.,
 

Attachments

  • math 1.PNG
    math 1.PNG
    2.9 KB · Views: 475
Physics news on Phys.org
I'm not sure what 'potens' rules are, but how do you bring anything under the radical sign? What must you do to it first?

Or as an alternate approach, if you add the expressions together under the radical on the RHS and simplify, what do you get?
 
SteamKing said:
I'm not sure what 'potens' rules are, but how do you bring anything under the radical sign? What must you do to it first?

Or as an alternate approach, if you add the expressions together under the radical on the RHS and simplify, what do you get?
I'm unsure of that: what must you do to bring something under the radical sign? I'm suck with respect to that trick.
 
Ohh wait now I get it, if you take the square root of dt^2 then both terms are under the radical :)
 
christian0710 said:
I'm unsure of that: what must you do to bring something under the radical sign? I'm suck with respect to that trick.

I don't have any compehension of what the LHS means. But, in terms of "algebra", the identity is only true if dt is positive.

##\frac{\sqrt{a^2 + b^2}}{c} = \pm \sqrt{\frac{a^2}{c^2} + \frac{b^2}{c^2}}##
 

Similar threads

  • · Replies 7 ·
Replies
7
Views
2K
Replies
7
Views
2K
  • · Replies 7 ·
Replies
7
Views
2K
  • · Replies 3 ·
Replies
3
Views
3K
  • · Replies 2 ·
Replies
2
Views
2K
  • · Replies 8 ·
Replies
8
Views
2K
  • · Replies 14 ·
Replies
14
Views
4K
  • · Replies 2 ·
Replies
2
Views
2K
  • · Replies 17 ·
Replies
17
Views
3K
  • · Replies 18 ·
Replies
18
Views
8K