Solving Differential Equations: Challenges & Solutions

Click For Summary

Homework Help Overview

The discussion revolves around solving a differential equation, specifically focusing on the concept of exact equations and the implications of manipulating them by multiplying through by a common denominator. Participants are exploring the challenges faced when following a professor's instructions versus their own understanding of the problem.

Discussion Character

  • Mixed

Approaches and Questions Raised

  • Participants discuss the validity of the original equation being exact and express confusion over the professor's method of multiplying by a common denominator, which seems to alter the equation's exactness. There are inquiries about simplifying partial derivatives and the necessity of doing so, as well as considerations of integrating the equation directly.

Discussion Status

The conversation is ongoing, with some participants affirming the original equation's exactness while others question the need for simplification. Guidance has been offered regarding the integration of the equation, but there is no clear consensus on the best approach to take.

Contextual Notes

Participants are working under the constraints of following specific instructions from their professor, which may conflict with their understanding of the problem. There is mention of a notation indicating the equation is "Exact," which adds to the confusion regarding the expected method of solution.

Destroxia
Messages
204
Reaction score
7

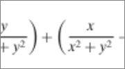
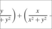
Homework Statement



Solve the Differential Equation:[/B]

question.jpg


When I take the partial derivative of each of these equations, I do indeed get that it is exact...

However, when I do it the way my professor wants me to do it, I don't get the same result.
He told us to multiply through by the common denominator. I have tried it multiple times, and the result never comes out as exact. Multiplying by the common denominator is altering the equation and making it not exact, but that's the way he wants us to do it. Am I doing something wrong?

Homework Equations



Exact equation, integrating factor using common denominator

The Attempt at a Solution



workexact.jpg
 
Physics news on Phys.org
You are right, the original equation is exact, and multiplying it with the common denominator makes it non-exact.
You can choose any path to integrate it.
 
ehild said:
You are right, the original equation is exact, and multiplying it with the common denominator makes it non-exact.
You can choose any path to integrate it.

Is there anyway I could simplify the partial derivatives, do you think? The teacher somehow got this down to having no denominator, but then he erased it. I can't see anyway to do it myself... Even if I multiply both groups in parenthesis by their own respective common denominators, instead of multiplying the entirety of it by the CD of all, it still comes out as non-exact. I've also tried using the common denominator to bring together the separate fractions, which obviously is still the correct partial derivative because I'm not altering the equation by doing so, but it doesn't make partial derivative without a denominator.
 
RyanTAsher said:
Is there anyway I could simplify the partial derivatives, do you think? The teacher somehow got this down to having no denominator, but then he erased it. I can't see anyway to do it myself... Even if I multiply both groups in parenthesis by their own respective common denominators, instead of multiplying the entirety of it by the CD of all, it still comes out as non-exact. I've also tried using the common denominator to bring together the separate fractions, which obviously is still the correct partial derivative because I'm not altering the equation by doing so, but it doesn't make partial derivative without a denominator.
Why do you want to simplify the partial derivatives?
You have a differential equation which proved to be exact as it is. The expression on the left side is total derivative of a function F(x,y).

##\left(\frac {2x}{y}-\frac{y}{x^2+y^2}\right)dx+\left(\frac{x}{x^2+y^2}-\frac{x^2}{y^2}\right)dy=dF(x,y)##

You need to find F(x,y). Integrate the equation:

##\int\left(\left(\frac {2x}{y}-\frac{y}{x^2+y^2}\right)dx+\left(\frac{x}{x^2+y^2}-\frac{x^2}{y^2}\right)dy\right)=F(x,y) + C##
 
RyanTAsher said:

Homework Statement



Solve the Differential Equation:

question.jpg


When I take the partial derivative of each of these equations, I do indeed get that it is exact. However, when I do it the way my professor wants me to do it, I don't get the same result. He told us to multiply through by the common denominator. I have tried it multiple times, and the result never comes out as exact. Multiplying by the common denominator is altering the equation and making it not exact, but that's the way he wants us to do it. Am I doing something wrong?

Homework Equations



Exact equation, integrating factor using common denominator

The Attempt at a Solution



workexact.jpg
Is there some reason you're expecting the resulting equation to be exact? It sounds like your professor doesn't want you to solve it that way.
 
ehild said:
Why do you want to simplify the partial derivatives?
You have a differential equation which proved to be exact as it is. The expression on the left side is total derivative of a function F(x,y).
You need to find F(x,y). Integrate the equation:

So I just need to integrate either M or N first, if I label them respectively as so?

vela said:
Is there some reason you're expecting the resulting equation to be exact? It sounds like your professor doesn't want you to solve it that way.

Not sure, He wrote "Exact" right next to the problem in the notes, so I guess it infers we have to solve it exactly. Unless of course, there is a more simple way to solve it, which I don't see.
 
work.jpg


Here is my conclusion of work to the problem, it works out with the books answer, so thank you for all your time helping me answer this questions!
 
Nice work! :oldsmile:
 

Similar threads

Replies
10
Views
2K
  • · Replies 7 ·
Replies
7
Views
2K
  • · Replies 5 ·
Replies
5
Views
2K
  • · Replies 2 ·
Replies
2
Views
1K
Replies
9
Views
3K
  • · Replies 4 ·
Replies
4
Views
2K
Replies
7
Views
2K
  • · Replies 12 ·
Replies
12
Views
2K
  • · Replies 2 ·
Replies
2
Views
2K
  • · Replies 1 ·
Replies
1
Views
1K