Solving Matrix Differential Equations: How to Obtain the X Matrix

Click For Summary

Homework Help Overview

The discussion revolves around solving matrix differential equations, specifically focusing on obtaining the X matrix from given solutions expressed in exponential form.

Discussion Character

  • Exploratory, Assumption checking, Problem interpretation

Approaches and Questions Raised

  • Participants discuss the representation of solutions as vectors and the formation of the X matrix. There are questions about how to derive numerical values from the exponential solutions and verify conditions like x(0) being the identity matrix and the relationship dx/dt = AX.

Discussion Status

Some participants have provided guidance on how to structure the X matrix and check calculations. There is an ongoing exploration of the implications of the matrix form and verification methods, with no explicit consensus reached on the next steps.

Contextual Notes

Participants are addressing potential arithmetic errors and the necessity of confirming the relationships between the derivatives and the matrix equation. There is a focus on ensuring the correct interpretation of the matrix setup and the implications of substituting t=0.

zack7
Messages
52
Reaction score
0

Homework Statement


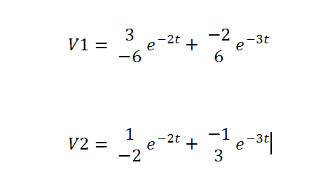
The questions are in the image

The Attempt at a Solution


My solutions are
V1=3*(1 -2)e-2t+ (-2) (1 -3)e-3t
V2=1*(1 -2)e-2t+ (-1) (1 -3)e-3t

How do I get the X matrix since my solutions are in exponential still.

Thank you for all the help
 

Attachments

  • Untitled.png
    Untitled.png
    33.9 KB · Views: 586
Last edited:
Physics news on Phys.org
According to your solution,
[tex]X=(v_1\ v_2)=\begin{pmatrix}3e^{-2t}-2e^{-3t}&-6e^{-2t}+6e^{-3t}\\<br /> e^{-2t}-e^{-3t}&-2e^{-2t}+3e^{-3t}\end{pmatrix}.[/tex]
 
Some Pig said:
According to your solution,
[tex]X=(v_1\ v_2)=\begin{pmatrix}3e^{-2t}-2e^{-3t}&-6e^{-2t}+6e^{-3t}\\<br /> e^{-2t}-e^{-3t}&-2e^{-2t}+3e^{-3t}\end{pmatrix}.[/tex]

That means I just plug in t=0 to prove that x(0)=(1 0
0 1) and also use the same method to prove that dx/dt =AX
 
Last edited:
You have the columns and rows swapped.
 
vela said:
You have the columns and rows swapped.

Even after multiplying it I get this respective solutions, what do I do next?
 

Attachments

  • Untitled.png
    Untitled.png
    1.8 KB · Views: 444
You can write v1 as a single vector:
$$\vec{v}_1 = \begin{pmatrix} 3e^{-2t} - 2e^{-3t} \\ -6e^{-2t} + 6e^{-3t}\end{pmatrix}$$Do the same for ##\vec{v}_2##.
 
vela said:
You can write v1 as a single vector:
$$\vec{v}_1 = \begin{pmatrix} 3e^{-2t} - 2e^{-3t} \\ -6e^{-2t} + 6e^{-3t}\end{pmatrix}$$Do the same for ##\vec{v}_2##.

i get that part but after that what do I do to get just numbers in my 2x2 matrix so that I can prove dx/dt =AX and x(0)= \begin{pmatrix}1 0\\ 0 1\end{pmatrix}
 
Like the problem says, the first column of X is v1. Its second column is v2. It's not going to be just numbers. I'm not sure why you think it has to be.
 
vela said:
Like the problem says, the first column of X is v1. Its second column is v2. It's not going to be just numbers. I'm not sure why you think it has to be.

Okay but then if I put t=0 into the x equation, I do not get the identity matrix and how would I verify that dx/dt=AX by just differentiating the X matrix?.

Thank you for all the help
 
  • #10
Show us how you're calculating X when t=0.
 
  • #11
vela said:
Show us how you're calculating X when t=0.

Okay I got just did a arithmetic error, but how do I verify that dx/dt=AX
 
  • #12
Calculate both sides and show they're equal to each other.
 
  • #13
Okay I will give it a try, thank you very much for all the help.
 

Similar threads

Replies
8
Views
3K
  • · Replies 6 ·
Replies
6
Views
1K
  • · Replies 2 ·
Replies
2
Views
2K
  • · Replies 4 ·
Replies
4
Views
2K
  • · Replies 10 ·
Replies
10
Views
2K
Replies
2
Views
1K
  • · Replies 5 ·
Replies
5
Views
2K
  • · Replies 7 ·
Replies
7
Views
2K
  • · Replies 2 ·
Replies
2
Views
1K
  • · Replies 3 ·
Replies
3
Views
2K