Square integrable wave functions vanishing at infinity

Click For Summary

Discussion Overview

The discussion revolves around the properties of square integrable wave functions in quantum mechanics, particularly their behavior at infinity and implications for the momentum operator. Participants explore the mathematical treatment of integrals involving these wave functions and their derivatives, referencing Gasiorowicz's Quantum Physics.

Discussion Character

  • Technical explanation
  • Mathematical reasoning
  • Debate/contested

Main Points Raised

  • One participant questions why the second term in an integral does not vanish at infinity, despite wave functions and their derivatives being stated to vanish at infinity.
  • Another participant explains that integrating a derivative leads to evaluating the function at the boundaries, which results in zero if the function approaches zero at infinity.
  • Further elaboration on Stokes' theorem is provided, emphasizing that integrals of functions that vanish at infinity yield zero over infinite domains.
  • A participant expresses realization about the mathematical properties discussed, indicating a moment of clarity regarding the integration process.
  • Another participant suggests contacting a researcher for further insights on the mathematical treatment of wave functions and their implications in quantum mechanics.

Areas of Agreement / Disagreement

Participants express uncertainty regarding the behavior of the second term in the integral, with no consensus reached on the implications of the wave functions vanishing at infinity. Multiple viewpoints on the interpretation of integrals and their limits are presented.

Contextual Notes

The discussion includes references to specific mathematical theorems and properties of integrals, but does not resolve the underlying assumptions or conditions that may affect the conclusions drawn from the integrals.

RicardoMP
Messages
48
Reaction score
2
Hi!
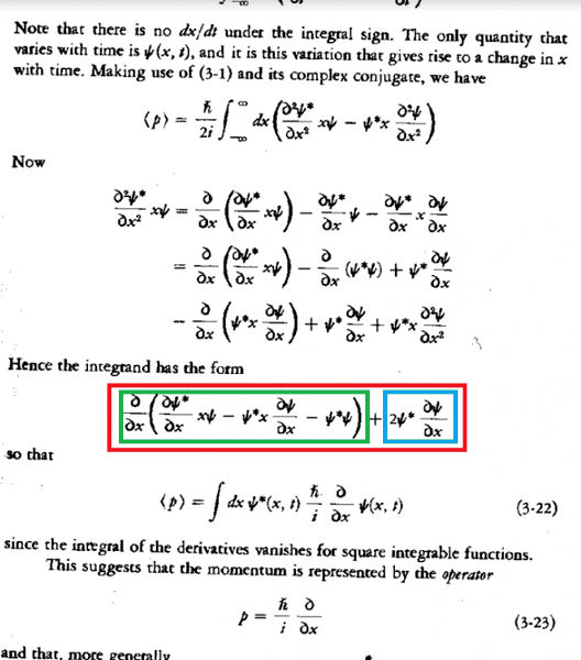
For the probability interpretation of wave functions to work, the latter have to be square integrable and therefore, they vanish at infinity. I'm reading Gasiorowicz's Quantum Physics and, as you can see in the attached image of the page, he works his way to find the momentum operator. My question is about what is inside the red box. SG says that "because the wave functions vanish at infinity, the first term (green box) does no contribute, and the integral gives..."
If the waves functions vanish at infinity (and also their derivatives), why doesn't the second term (blue box) vanish aswell?
Thank you for your time.
 

Attachments

  • Gasiorowicz.PNG
    Gasiorowicz.PNG
    69 KB · Views: 2,375
Physics news on Phys.org
Integrating the terms inside the green box you get
$$
\int_{-\infty} ^\infty d\left( \frac{d\psi^*}{dx}x\psi -x\psi^*\frac{d\psi}{dx}-|\psi|^2 \right) = \left( \frac{d\psi^*}{dx}x\psi -x\psi^*\frac{d\psi}{dx}-|\psi|^2 \right) \Big|_{-\infty} ^\infty = 0 - 0
$$
because ##\lim_{x\to \pm\infty}\psi(x) = \lim_{x\to \pm\infty}\psi^*(x) = \lim_{x\to \pm\infty}\frac{d\psi(x)}{dx} = \lim_{x\to \pm\infty}\frac{d\psi^*(x)}{dx} = 0##.
 
  • Like
Likes   Reactions: RicardoMP
RicardoMP said:
Hi!
For the probability interpretation of wave functions to work, the latter have to be square integrable and therefore, they vanish at infinity. I'm reading Gasiorowicz's Quantum Physics and, as you can see in the attached image of the page, he works his way to find the momentum operator. My question is about what is inside the red box. SG says that "because the wave functions vanish at infinity, the first term (green box) does no contribute, and the integral gives..."
If the waves functions vanish at infinity (and also their derivatives), why doesn't the second term (blue box) vanish aswell?
Thank you for your time.

If you have an integral [itex]\int_{A}^{B} (\frac{d}{dx} Q(x)) dx[/itex], since integration is in some sense anti-differentiation, you can immediately evaluate the integral: [itex]\int_{A}^{B} (\frac{d}{dx} Q(x)) dx = Q(B) - Q(A)[/itex]. In the limit as [itex]A \rightarrow \infty[/itex] and [itex]B \rightarrow -\infty[/itex], you get zero, if [itex]Q(x)[/itex] goes to zero at [itex]\pm \infty[/itex].

So if you can write the integrand (what's inside the integral) as a derivative of something, then its integral over all space will be zero.

There is a collection of related facts about integrals that is called Stokes' theorem.

[itex]\int_{A}^{B} \frac{dF}{dx} = F(B) - F(A)[/itex]: The integral of the derivative of a function over a region is equal to the difference of the value of the function on the endpoints.

[itex]\int_{\mathcal{S}} \nabla \times \vec{F} \cdot \vec{dA} = \int_{\mathcal{C}} \vec{F} \cdot \vec{d\mathcal{l}}[/itex]: The integral of the curl of a function over a surface [itex]\mathcal{S}[/itex] is equal to the integral of the function over the curve [itex]\mathcal{C}[/itex] formed by the boundary of that surface.

[itex]\int_V (\nabla \cdot \vec{F}) dV = \int_\mathcal{S} \vec{F} \cdot \vec{dA}[/itex]: The integral of the divergence of a function over a volume [itex]V[/itex] is equal to the integral of the function over the surface [itex]\mathcal{S}[/itex] formed by the boundary of [itex]V[/itex].

In all three cases, if the function [itex]F[/itex] vanishes at infinity, then you get zero for all integrals, if the integral is over all the real line, or all the 2-D plane, or all of 3-D space.
 
  • Like
Likes   Reactions: RicardoMP
stevendaryl said:
If you have an integral [itex]\int_{A}^{B} (\frac{d}{dx} Q(x)) dx[/itex], since integration is in some sense anti-differentiation, you can immediately evaluate the integral: [itex]\int_{A}^{B} (\frac{d}{dx} Q(x)) dx = Q(B) - Q(A)[/itex]. In the limit as [itex]A \rightarrow \infty[/itex] and [itex]B \rightarrow -\infty[/itex], you get zero, if [itex]Q(x)[/itex] goes to zero at [itex]\pm \infty[/itex].

So if you can write the integrand (what's inside the integral) as a derivative of something, then its integral over all space will be zero.

There is a collection of related facts about integrals that is called Stokes' theorem.

[itex]\int_{A}^{B} \frac{dF}{dx} = F(B) - F(A)[/itex]: The integral of the derivative of a function over a region is equal to the difference of the value of the function on the endpoints.

[itex]\int_{\mathcal{S}} \nabla \times \vec{F} \cdot \vec{dA} = \int_{\mathcal{C}} \vec{F} \cdot \vec{d\mathcal{l}}[/itex]: The integral of the curl of a function over a surface [itex]\mathcal{S}[/itex] is equal to the integral of the function over the curve [itex]\mathcal{C}[/itex] formed by the boundary of that surface.

[itex]\int_V (\nabla \cdot \vec{F}) dV = \int_\mathcal{S} \vec{F} \cdot \vec{dA}[/itex]: The integral of the divergence of a function over a volume [itex]V[/itex] is equal to the integral of the function over the surface [itex]\mathcal{S}[/itex] formed by the boundary of [itex]V[/itex].

In all three cases, if the function [itex]F[/itex] vanishes at infinity, then you get zero for all integrals, if the integral is over all the real line, or all the 2-D plane, or all of 3-D space.
I've just realized this and "palmed" myself on the face really hard! Thank you for your time!
 
RicardoMP said:
For the probability interpretation of wave functions to work, the latter have to be square integrable and therefore, they vanish at infinity.

Ahh grasshopper you might like to contact this guy and get a copy of his Phd theresis: R. de la Madrid
https://arxiv.org/abs/quant-ph/0502053

It's relaxation has led to many advances in applied math, especially probability theory:
http://society.math.ntu.edu.tw/~journal/tjm/V7N4/0312_2.pdf

The idea is they approximate what is physically achievable but are mathematically more tractable. For example in QM a particle with exact momentum is a wave-function to infinity. Physically impossible but an important insight nonetheless.

Thanks
Bill
 

Similar threads

  • · Replies 6 ·
Replies
6
Views
2K
  • · Replies 24 ·
Replies
24
Views
2K
  • · Replies 39 ·
2
Replies
39
Views
4K
  • · Replies 3 ·
Replies
3
Views
2K
  • · Replies 31 ·
2
Replies
31
Views
6K
  • · Replies 1 ·
Replies
1
Views
2K
  • · Replies 13 ·
Replies
13
Views
2K
  • · Replies 36 ·
2
Replies
36
Views
9K
  • · Replies 32 ·
2
Replies
32
Views
4K
  • · Replies 3 ·
Replies
3
Views
3K