Statistical Mech- basically a differentiation /integral q

Click For Summary
SUMMARY

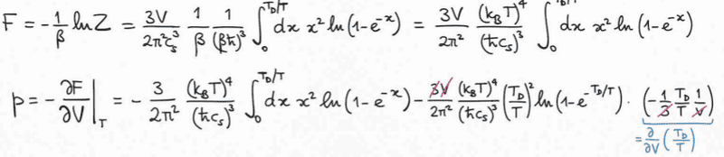
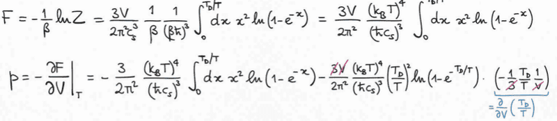
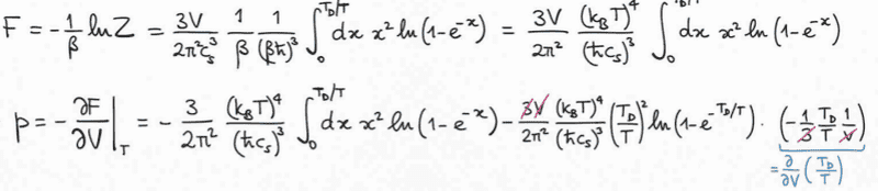
The discussion centers on the differentiation of an integral with respect to a variable, specifically focusing on the function ##F## and its dependence on the variable ##V##, while considering the upper limit ##T_{D}##. The solution involves applying the Leibniz integral rule, which allows for differentiation under the integral sign, and incorporates a product rule to account for the dependency of the upper limit on ##V##. The second term in the differentiation process is clarified as a result of the chain rule, specifically involving the partial derivative ##\frac{\partial}{\partial V}##.

PREREQUISITES
  • Understanding of differentiation and integration concepts
  • Familiarity with the Leibniz integral rule
  • Knowledge of product and chain rules in calculus
  • Basic understanding of partial derivatives
NEXT STEPS
  • Study the Leibniz integral rule in detail
  • Practice problems involving differentiation of integrals with variable limits
  • Review product and chain rule applications in calculus
  • Explore advanced topics in multivariable calculus
USEFUL FOR

Students and professionals in mathematics, physics, and engineering who are dealing with calculus, particularly those focusing on statistical mechanics and integral calculus.

binbagsss
Messages
1,291
Reaction score
12

Homework Statement



See attached.

period.png


to get ##p## I need to differentiate ##F## w.r.t ##V##, but I also have that the upper limit ##T_{D}## depends on ##V##, so I must take this into consideration when doing the differentiation.

The solution looks as though it has done this without evaluating the integral, so rather it has differentiated the integral as usual and then added a term which is evaluated at the upper limit ##\frac{T_D}{T}## and then multiplied by ##\frac{\partial}{\partial } (\frac{T}{T_D})##

So this is clearly some sort of product rule, but can somebody just explain the second term more formally to me, it isn't inegrated wr.t. ##x## so I think some sort of chain rule is at work with the ##\frac{\partial}{\partial V}## but I can't seem to get it.

Homework Equations



see above

The Attempt at a Solution



see above

Many thanks in advance [/B]
 
Physics news on Phys.org
binbagsss said:

Homework Statement



See attached.

View attachment 132769

to get ##p## I need to differentiate ##F## w.r.t ##V##, but I also have that the upper limit ##T_{D}## depends on ##V##, so I must take this into consideration when doing the differentiation.

The solution looks as though it has done this without evaluating the integral, so rather it has differentiated the integral as usual and then added a term which is evaluated at the upper limit ##\frac{T_D}{T}## and then multiplied by ##\frac{\partial}{\partial } (\frac{T}{T_D})##

So this is clearly some sort of product rule, but can somebody just explain the second term more formally to me, it isn't inegrated wr.t. ##x## so I think some sort of chain rule is at work with the ##\frac{\partial}{\partial V}## but I can't seem to get it.

Homework Equations



see above

The Attempt at a Solution



see above

Many thanks in advance [/B]

It's just this https://en.wikipedia.org/wiki/Leibniz_integral_rule, isn't it?
 

Similar threads

  • · Replies 5 ·
Replies
5
Views
2K
  • · Replies 4 ·
Replies
4
Views
2K
  • · Replies 7 ·
Replies
7
Views
3K
  • · Replies 7 ·
Replies
7
Views
2K
  • · Replies 1 ·
Replies
1
Views
1K
  • · Replies 4 ·
Replies
4
Views
2K
Replies
10
Views
3K
  • · Replies 18 ·
Replies
18
Views
3K
  • · Replies 4 ·
Replies
4
Views
2K
Replies
10
Views
2K