Statistics, Poisson processes.

  • Thread starter Thread starter dreamspace
  • Start date Start date
  • Tags Tags
    Poisson Statistics
Click For Summary
SUMMARY

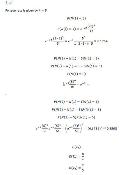
This discussion centers on the challenges faced in solving homework problems related to Poisson processes, specifically questions 1.B, 1.C, 2.B, and 2.C. A participant expresses confusion regarding the computation of the probability P[N(2)-N(1)=5|N(1)=5], which is deemed incorrect due to a misunderstanding of the fundamental properties of Poisson processes. The conversation emphasizes the importance of grasping these properties to accurately solve related problems.

PREREQUISITES
  • Understanding of Poisson processes and their properties
  • Familiarity with probability notation and conditional probabilities
  • Basic knowledge of statistical concepts and equations
  • Experience with problem-solving in statistics
NEXT STEPS
  • Study the fundamental properties of Poisson processes
  • Review conditional probability calculations in the context of Poisson processes
  • Practice solving problems involving Poisson distributions
  • Explore advanced statistical concepts related to stochastic processes
USEFUL FOR

Students studying statistics, particularly those tackling problems involving Poisson processes, as well as educators seeking to clarify these concepts for their students.

dreamspace
Messages
10
Reaction score
0

Homework Statement



statok.jpg


Homework Equations



The Attempt at a Solution



Here's what I've tried so far, not really sure how to go on with these problems. Been reading the textbook up and down on Poisson processes!

Any hints or help? Especially 1.B, 1.C and 2.B, 2.C

1a.png

2a.jpg
 
Physics news on Phys.org
dreamspace said:

Homework Statement



statok.jpg


Homework Equations



The Attempt at a Solution



Here's what I've tried so far, not really sure how to go on with these problems. Been reading the textbook up and down on Poisson processes!

Any hints or help? Especially 1.B, 1.C and 2.B, 2.C

1a.png

2a.jpg

Your computation of P[N(2)-N(1)=5|N(1)=5] makes no sense (and gives a wrong answer as well). Think about the fundamental properties of a Poisson process.

RGV
 

Similar threads

  • · Replies 10 ·
Replies
10
Views
2K
  • · Replies 8 ·
Replies
8
Views
2K
  • · Replies 1 ·
Replies
1
Views
2K
  • · Replies 30 ·
2
Replies
30
Views
5K
  • · Replies 2 ·
Replies
2
Views
2K
  • · Replies 32 ·
2
Replies
32
Views
3K
  • · Replies 21 ·
Replies
21
Views
2K
Replies
2
Views
2K
  • · Replies 11 ·
Replies
11
Views
2K
Replies
8
Views
2K