Stochastic Calculus: Conditional Expectation

Click For Summary

Homework Help Overview

The discussion revolves around conditional expectation in the context of stochastic calculus, specifically focusing on the expression E(X + 2Y | Z) where Z is defined as a function of two random variables X and Y, derived from rolling two dice. Participants are exploring the implications of this notation and the calculations involved in determining expected values based on different conditions of Z.

Discussion Character

  • Exploratory, Conceptual clarification, Mathematical reasoning, Assumption checking

Approaches and Questions Raised

  • Participants are examining the correct interpretation of conditional expectations and the dependencies of random variables. There are discussions about the distribution of values for W = E[Z|X] and how to compute E[X + 2Y | Z] using tables of probabilities. Some participants question the notation and whether it implies a function of Z or an expectation over all possible values of Z.

Discussion Status

The discussion is active, with participants providing insights and raising questions about the calculations and interpretations. There is a mix of attempts to clarify notation and explore the implications of different values of Z on the expected value calculations. No consensus has been reached, but several productive lines of inquiry are being pursued.

Contextual Notes

Participants are working under the constraints of homework rules, which may limit the information available for certain calculations. The discussion includes assumptions about the fairness of dice and the nature of the random variables involved.

WMDhamnekar
MHB
Messages
381
Reaction score
30
Homework Statement
. Suppose we roll two dice, a red and a green one, and let X
be the value on the red die and Y the value on the green die. Let Z = X/Y .
1)Find E[X + 2Y | Z].
2)Let W = E[Z | X]. What are the possible values for W? Give the
distribution of W.
Relevant Equations
Not applicable
1677485869430.png

1677485882966.png

1677485898774.png
 
Physics news on Phys.org
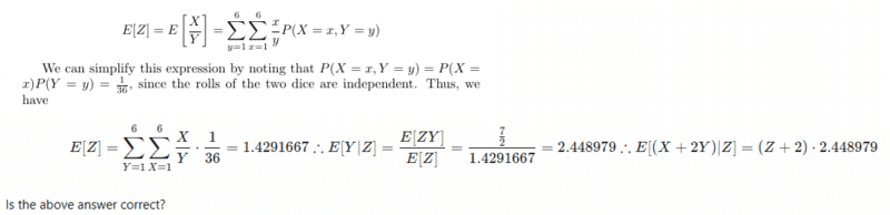
Your answer to 1 is wrong, as you can easily check using some actual values of Z, e.g. for Z = 6, E(X+2Y) = 8.

Your mistake appears to be using global averages for ZY and Z, calculated over all combinations of X and Y. But for a given Z, not all combinations are possible. for example, for Z = 6, 5 or 4, Y can only have the value 1, and X the value of Z. For Z = 1, only combinations with X = Y are possible. Thus E[Y|Z] is not a constant but depends on Z.
 
  • Like
Likes   Reactions: WMDhamnekar
To specify the distribution for a discrete-valued random variable like W you need to specify the set of unique possible values it can take, and the probability of each value.

You have identified above six possible values of W=E[Z|X], each corresponding to a different result X from the red die. Assuming that die is fair, what is the probability of each of those different values?

One thing remains: you need to check wheter any of the six values of W are the same, ie if two different values of X can give the same value of W. If any do, you need to combine them by adding their probabilities.
 
  • Informative
Likes   Reactions: WMDhamnekar
I prepared two tables. Now how to compute E[X +2Y| Z]

1677775045533.png


1677775055629.png
 
For instance, for Z=1 in the second table, you have 6 equally likely possibilities for (X,Y): (1,1), (2,2), (3,3), (4,4), (5,5), (6,6).
In your first table, that gives: P(X+2Y | Z=1) = P( X+2Y = 3,6,9,12,15,18 | Z=1) = 1/6.

Likewise, for Z=1/2 in the second table, you have 3 equally likely possibilities for (X,Y): (1,2), (2,4), (3,6).
In your first table, that gives: P(X+2Y | Z=1/2) = P( X+2Y = 5,10,15 | Z=1/2) = 1/3.
Etc.
For each value of Z, you get a distribution of X+2Y values that sum to 1.
I don't see a short-cut way to calculate the expected value. I guess you might just have to tediously calculate it.
 
I'm a bit confused on your notation. Generally, in an expression E(X|Y), Y is an event, and X,Y are events in the same sample space. Maybe you mean E(X| Z=Zo) ?
 
  • Like
Likes   Reactions: FactChecker
FactChecker said:
For instance, for Z=1 in the second table, you have 6 equally likely possibilities for (X,Y): (1,1), (2,2), (3,3), (4,4), (5,5), (6,6).
In your first table, that gives: P(X+2Y | Z=1) = P( X+2Y = 3,6,9,12,15,18 | Z=1) = 1/6.

Likewise, for Z=1/2 in the second table, you have 3 equally likely possibilities for (X,Y): (1,2), (2,4), (3,6).
In your first table, that gives: P(X+2Y | Z=1/2) = P( X+2Y = 5,10,15 | Z=1/2) = 1/3.
Etc.
For each value of Z, you get a distribution of X+2Y values that sum to 1.
I don't see a short-cut way to calculate the expected value. I guess you might just have to tediously calculate it.
E[ X + 2Y | Z] = [3 + 6 + 9 + 12 + 15+ 18 =63]* 1/6 = 10.5 + [5 +10+15]*1/12= 2.5 + [7+ 14]*1/18 =1.1667 + [9 + 11 + 13 +12 + 11+ 13+ 6 + 10 +14 + 7 +9 + 11 +13 +17 + 8 +16 =179]*1/36 = 4.9722222 +[4 +8 +12=24]*1/12=2 + [ 8 +16=24]*1/18 = 1.33333 +[5 + 10 = 15]*1/18 =0.8333333 + [7 +14=21]*1/18 = 1.1667 = 24.47223
 
I guess that's right (I haven't checked your calculations). But I do have the same question as @WWGD.
Does the notation E(X+2Y | Z) mean the function, f(z), of z, f(z) = E(X+2Y | Z=z)? Or does it mean that you take an expected value over all possible values of Z as you did?
 
  • Like
Likes   Reactions: WWGD
FactChecker said:
I guess that's right (I haven't checked your calculations). But I do have the same question as @WWGD.
Does the notation E(X+2Y | Z) mean the function, f(z), of z, f(z) = E(X+2Y | Z=z)? Or does it mean that you take an expected value over all possible values of Z as you did?
Suppose we roll two dice, one is red one and another one is green one. If we let the values on flipping the two dice be X and Y. ( X for the value on red die and Y for the value on green die). Then obviously X and Y values both lies in the same sample space and Z, the function of X and Y will take the value Z = X/Y.
 
  • #10
WMDhamnekar said:
Suppose we roll two dice, one is red one and another one is green one. If we let the values on flipping the two dice be X and Y. ( X for the value on red die and Y for the value on green die). Then obviously X and Y values both lies in the same sample space and Z, the function of X and Y will take the value Z = X/Y.
I think that your interpretation of E(X+2Y | Z) is the likely correct one. You are keeping Z as a random variable rather than defining a specific event, Z=##z_0##.
 

Similar threads

  • · Replies 6 ·
Replies
6
Views
1K
Replies
0
Views
1K
  • · Replies 29 ·
Replies
29
Views
2K
  • · Replies 5 ·
Replies
5
Views
2K
  • · Replies 0 ·
Replies
0
Views
3K
Replies
2
Views
2K
  • · Replies 5 ·
Replies
5
Views
2K
  • · Replies 1 ·
Replies
1
Views
10K
  • · Replies 10 ·
Replies
10
Views
4K
  • · Replies 710 ·
24
Replies
710
Views
49K