Surface Current and Electric Field

Click For Summary
SUMMARY

The discussion centers on the calculation of surface charge and current density for two infinite sheets of ideal conductive material aligned along the y and z axes. The user attempted to apply Gauss's law in two dimensions but encountered difficulties, particularly with the electric field being parallel to the surfaces. The conversation suggests that the electric field may be related to a propagating electromagnetic wave, indicating a deeper connection between electric fields and current density in conductive materials.

PREREQUISITES
  • Understanding of Gauss's Law in two dimensions
  • Familiarity with electric fields and current density concepts
  • Knowledge of electromagnetic wave propagation
  • Basic principles of conductive materials and their properties
NEXT STEPS
  • Study the application of Gauss's Law in two-dimensional scenarios
  • Research the relationship between electric fields and current density in conductive materials
  • Explore the characteristics of electromagnetic waves and their electric fields
  • Examine the mathematical formulation of surface charge density in conductive materials
USEFUL FOR

Physics students, electrical engineers, and anyone interested in the principles of electromagnetism and conductive materials.

BnayaMeir
Messages
1
Reaction score
0
Thread moved from the technical forums to the schoolwork forums
Hi everyone!

I'm pretty new in this forum, I found the topics here very relevant to my physics course. And here is my question:

Given the following drawing, two infinite sheets (in y and z axis) of ideal conductive material. their thickness is infinitesimal (dx->0).

Screenshot 2022-04-26 152843.png


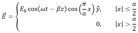
The electric field is defined:

Screenshot 2022-04-26 160051.png

I have askes to find the surface charge and current density.

well.. I tried to apply the integral gauss law
1650978402507.png
but in 2 dimensions (didn't work).
I have also tries the derivative version of the law
1650978512678.png
which gave me zero. it looks right for me, since the electric field should be perpendicular to the surface. but the only electric field is parallel to the surfaces. Then where this field is come from?? I'm very confused..

I thought to find the current density after finding the charge density by the following equation in 2-D:
1650978895539.png


I hope you will be able to help me, thanks a lot!
 
Physics news on Phys.org
Have you considered that this could be the electric field of a propagating electromagnetic wave?
 
  • Like
Likes   Reactions: PhDeezNutz

Similar threads

  • · Replies 26 ·
Replies
26
Views
3K
Replies
9
Views
2K
  • · Replies 22 ·
Replies
22
Views
3K
Replies
9
Views
2K
Replies
11
Views
4K
  • · Replies 4 ·
Replies
4
Views
2K
  • · Replies 17 ·
Replies
17
Views
2K
  • · Replies 2 ·
Replies
2
Views
2K
  • · Replies 4 ·
Replies
4
Views
2K