Symbolic integration of a Bessel function with a complex argument

Click For Summary

Discussion Overview

The discussion revolves around the symbolic integration of a Bessel function of the first kind with a complex argument using Mathematica. Participants explore the challenges associated with integrating the absolute value of the Bessel function and seek methods to obtain a symbolic result as a function of a variable, specifically for plotting purposes.

Discussion Character

  • Technical explanation
  • Exploratory
  • Homework-related

Main Points Raised

  • One participant expresses difficulty in solving the integral symbolically and seeks assistance.
  • Another participant suggests that if Mathematica cannot find a solution, it may indicate that no known solution exists.
  • A third participant proposes that plotting the real and imaginary parts of the Bessel function may reveal complexities in the integral, suggesting that restricting the parameter delta to integers could simplify the problem.
  • A later reply confirms that delta is real and inquires about how to enforce this condition in Mathematica to obtain the integral's result in terms of delta and r.
  • Another participant advises using the "Assumptions" option in Mathematica to specify that delta is real.

Areas of Agreement / Disagreement

Participants do not reach a consensus on the feasibility of the integral; instead, multiple views on the complexity and potential simplifications remain present throughout the discussion.

Contextual Notes

There are limitations regarding the assumptions about the parameters involved, particularly the nature of delta and its impact on the integration process. The discussion does not resolve the mathematical steps necessary for the integration.

Who May Find This Useful

This discussion may be useful for individuals interested in symbolic computation, specifically those working with Bessel functions and complex arguments in Mathematica.

ocmaxwell
Messages
8
Reaction score
1
Hello all

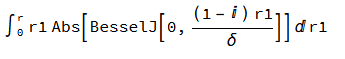
I am trying to solve the following integral with Mathematica and I'm having some issues with it.

1676210485824.png

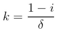
where Jo is a Bessel Function of first kind and order 0. Notice that k is a complex number given by

1676210684948.png


Where delta is a coefficient.

Due to the complex arguments I'm integrating the absolute value of the Bessel function.

I would like to solve the integral symbolically to get the result as a function or r, and not a number, so I can plot f(r) later on. See below what I did

1676211023657.png
notice that r1 is r' in the integral above
and the result

1676211136130.png


I am totally sure there should be a way in which it can be done.

Any help would be greatly appreciated

Thank you in advance
 
Physics news on Phys.org
ocmaxwell said:
I am totally sure there should be a way in which it can be done
Usually if Mathematica doesn’t know a way then there is no known way.
 
  • Like
Likes   Reactions: FactChecker
This is certainly not a proof, but if you Plot3D the Re and the Im of either your Bessel or the Abs of your Bessel, say for {delta,-5,5} and {r1,-5,5} then that blowing up to infinity in lots of odd ways strongly hints to me that finding that integral might be really challenging. If you could restrict delta to being an integer, or even a specific integer, then the graphs hint that might possibly be a simpler problem. Without giving Mathematica any information about delta it will proceed imagining that delta might even be complex
 
You are very right Mr. Simpson
For this case delta is real, how could I enforce this condition so mathematica undertands it and still gives me the result of the integral in terms of delta and r?

Thank you for your response
 
You can use the option “Assumptions” to tell it to assume that it is real.
 
Thank you Sir, I will try that out.
Thank you for taking the time to respond.
 

Similar threads

  • · Replies 13 ·
Replies
13
Views
2K
  • · Replies 3 ·
Replies
3
Views
3K
  • · Replies 2 ·
Replies
2
Views
3K
  • · Replies 2 ·
Replies
2
Views
3K
  • · Replies 2 ·
Replies
2
Views
2K
  • · Replies 13 ·
Replies
13
Views
3K
  • · Replies 1 ·
Replies
1
Views
3K
  • · Replies 4 ·
Replies
4
Views
2K
Replies
2
Views
2K
  • · Replies 4 ·
Replies
4
Views
2K