Taking the integral of vectors?

  • Context: Undergrad 
  • Thread starter Thread starter Vishera
  • Start date Start date
  • Tags Tags
    Integral Vectors
Click For Summary

Discussion Overview

The discussion revolves around the concept of integrating vectors in different coordinate systems, specifically cylindrical coordinates. Participants explore the dependency of basis vectors on angles and the implications for vector integrals, addressing both theoretical and practical aspects of the topic.

Discussion Character

  • Exploratory
  • Technical explanation
  • Debate/contested
  • Conceptual clarification

Main Points Raised

  • Some participants question whether the unit vector ##{ { \hat { a } } }_{ ρ }## can be factored out of the integral, citing its dependence on the angle ##\varphi##.
  • Others argue that while the components of the basis vector may be constant, the vector itself varies with the angle, suggesting that this dependency must be considered in the integration process.
  • A participant expresses confusion about the concept of basis vectors in relation to cylindrical coordinates and seeks clarification on whether they should consider the basis of the cylindrical coordinate space.
  • Some participants note that the basis used in curvilinear coordinates is position-dependent, which adds complexity to the integration of vectors.
  • There is a discussion about the limits of integration and whether they imply specific points in space, with some participants suggesting that the integration should consider the dependency of basis vectors on the angle ##\varphi##.
  • One participant concludes that the unit vector ##\hat{a}_{\rho}## indeed depends on ##\varphi##, clarifying its representation as ##\left( cos\phi,sin\phi,0 \right)##.

Areas of Agreement / Disagreement

Participants express differing views on the dependency of basis vectors on angles and the implications for vector integrals. There is no consensus on how to approach the integration of vectors in cylindrical coordinates, indicating ongoing debate and exploration of the topic.

Contextual Notes

The discussion highlights limitations in understanding the relationship between basis vectors and their coordinates, as well as the application of vector integrals in various contexts. Some participants indicate a lack of prior exposure to vector integrals in their coursework.

Who May Find This Useful

This discussion may be useful for students and practitioners in physics and mathematics who are exploring vector calculus, particularly in the context of different coordinate systems and integration techniques.

Vishera
Messages
72
Reaction score
1
Question:

llEOo.png

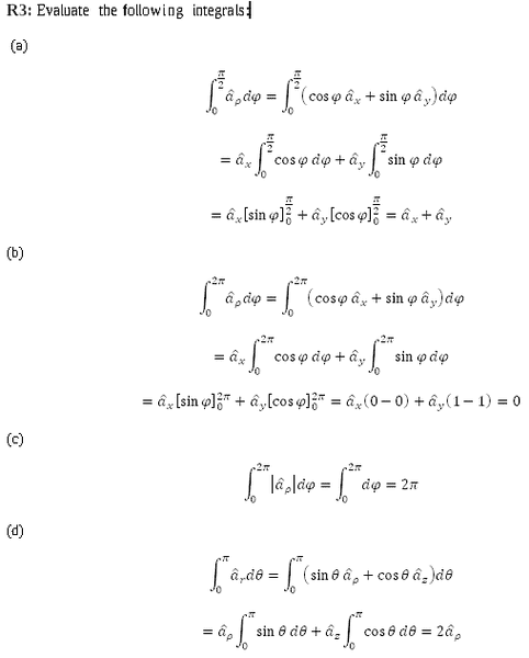
Solution:

Qqd2M.png


The notation used is: ##(x,y,z)## is for rectangular coordinates, ##(\rho,\varphi,z)## for cylindrical coordinates and ##(r,\theta,\varphi)## for spherical coordinates. ##{ { \hat { a } } }_{ ρ }## represents the unit vector for ##\rho## (same applies to ##x, y, z## and other coordinates).

In part a, can't you take out ##{ { \hat { a } } }_{ ρ }## from the integral? I'm having trouble understanding how ##{ { \hat { a } } }_{ ρ }## depends on ϕ. ##{ { \hat { a } } }_{ ρ }## is defined as ρ=1, ϕ=0 and z=0. Aren't all of these constants that do not rely on ϕ?
 
  • Like
Likes   Reactions: dsaun777
Physics news on Phys.org
Vishera said:
n part a, can't you take out ^aρa^ρ{ { \hat { a } } }_{ ρ } from the integral? I'm having trouble understanding how ^aρa^ρ{ { \hat { a } } }_{ ρ } depends on ϕ. ^aρa^ρ{ { \hat { a } } }_{ ρ } is defined as ρ=1, ϕ=0 and z=0. Aren't all of these constants that do not rely on ϕ?
No, definitely not. The components might be constant, but the basis vector itself depends on the angle! Just draw the basis vector at a few points on a piece of paper and you will see that it does.
 
Orodruin said:
No, definitely not. The components might be constant, but the basis vector itself depends on the angle! Just draw the basis vector at a few points on a piece of paper and you will see that it does.

Sorry, I'm having trouble understanding. I'm a little rusty on linear algebra. The basis is "vectors that are linearly independent and every vector in the vector space is a linear combination of this set". But you can only take the basis of a vector space. Are you saying I should take the basis of the cylindrical coordinates space?

Do you have any good resource where I can read more about integrals of vectors?
 
If you use curvilinear coordinates, the basis used depends on the point in space.
 
It seems this is going over my head. Do you know what I can read to understand vector integrals?

I already completely Calculus 3, and I did double integrals, triple integrals, line integrals, surface integrals, green's theorem, stoke's theorem, divergence theorem, etc. But I don't recall ever doing vector integrals and now we're expected to do vector integrals but the class/textbook never covered it.
 
It seems to me that your problem is in understanding that the vector basis depends on the position, not vector integrals. Vector integrals work just the same as other integrals, but you cannot move things which are not constant out if the integral.
 
Alright, thank you for mentioning that vector integrals work like scalar integrals.

You said earlier that "If you use curvilinear coordinates, the basis used depends on the point in space." I'm not sure what you're referring to when you say "the point in space" since the integral in the question doesn't seem to give any point in space. I can see from the limits of integration, we're suppose to integrate from ϕ=0 to ϕ=pi/2. Are you suggesting that we're actually integrating from ##(\rho=1,\varphi=0,z=0)## to ##(\rho=1,\varphi=\pi/2,z=0)##?
 
Vishera said:
Alright, thank you for mentioning that vector integrals work like scalar integrals.

You said earlier that "If you use curvilinear coordinates, the basis used depends on the point in space." I'm not sure what you're referring to when you say "the point in space" since the integral in the question doesn't seem to give any point in space. I can see from the limits of integration, we're suppose to integrate from ϕ=0 to ϕ=pi/2. Are you suggesting that we're actually integrating from ##(\rho=1,\varphi=0,z=0)## to ##(\rho=1,\varphi=\pi/2,z=0)##?
Yes, although not necessarily those values of rho and z, the problem does not specify this, but the basis vectors only depend on phi.
 
So to simplify things, would I be correct in saying that ##{ { \hat { a } } }_{ ρ }## depends on ##\varphi## because the cylindrical coordinate system has ##\varphi## as one of its components but ##{ { \hat { a } } }_{ x }## does not depend on ##\varphi## because the rectangular coordinate system does not have ##\varphi## as one of its components?

Thanks for the help.
 
  • #10
For anyone reading this in the future: I've figured it out.

The unit vector ##\hat{a}_{\rho}## does not mean: ##\rho=1##, ##\phi=0##, ##z=0##. ##\hat{a}_{\rho}## actually depends on ##\phi## as it's ##\left( cos\phi,sin\phi,0 \right)##.
 

Similar threads

  • · Replies 2 ·
Replies
2
Views
2K
  • · Replies 3 ·
Replies
3
Views
3K
Replies
1
Views
4K
  • · Replies 2 ·
Replies
2
Views
2K
  • · Replies 3 ·
Replies
3
Views
2K
  • · Replies 7 ·
Replies
7
Views
2K
  • · Replies 3 ·
Replies
3
Views
3K
  • · Replies 2 ·
Replies
2
Views
3K
  • · Replies 11 ·
Replies
11
Views
4K
  • · Replies 3 ·
Replies
3
Views
2K