Testing a sequence for converge or divergence

Click For Summary

Homework Help Overview

The discussion revolves around testing sequences for convergence or divergence, specifically focusing on several problems that involve limits and properties of sequences. Participants are exploring concepts related to absolute convergence, the behavior of functions as they approach infinity, and the application of various mathematical tests.

Discussion Character

  • Exploratory, Conceptual clarification, Mathematical reasoning, Assumption checking

Approaches and Questions Raised

  • Participants discuss the limits of sequences, questioning how to handle expressions like (-1)^\infty and cos(\infty). There are suggestions to consider absolute convergence and to analyze the behavior of specific functions graphically. Some participants propose using logarithmic properties and comparison tests for certain sequences.

Discussion Status

The discussion is active with various approaches being explored. Participants are questioning assumptions about convergence and divergence, and there is a mix of suggestions regarding methods to analyze the sequences. Some guidance has been offered, particularly around the use of limits and properties of logarithms, but no consensus has been reached on the best approach for each problem.

Contextual Notes

Participants are working under the constraints of homework problems that require testing for convergence or divergence without providing complete solutions. There is an emphasis on understanding the underlying concepts rather than simply arriving at answers.

shemer77
Messages
96
Reaction score
0
I have 4 problems left and the questions says I have to test them for converge or divergence.
Here are the problems
http://gyazo.com/f0fa5a38c5968ecb7e74103486a181bd.png
http://gyazo.com/4689f9d02d0b264c2c2b64ff4907ba77.png
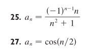
for 25, I want to take the limit as n goes to infinity however I get (-1)^[itex]\infty[/itex] and stuck there

for 27, similar problem how do i take the limit of cos([itex]\infty[/itex])

for 43 i have no idea

for 45, I feel like i should use lhr, but i can't take the derivative of n!

Please try and explain it to me, as I already have the answers I just want to learn
 
Physics news on Phys.org
25 - Have you done absolute convergence?
26 - Do you see what the graph of this function looks like?
45- Maybe you could try expanding out and then comparing it with some other sequence?
 
Oster said:
25 - Have you done absolute convergence?
26 - Do you see what the graph of this function looks like?
45- Maybe you could try expanding out and then comparing it with some other sequence?

For 25, I think the question is about convergence of the sequence, not convergence of the series. Ignore the (-1)^n for the moment and tell us whether the n/(n^2+1) part converges and to what.
 
shemer77 said:
I have 4 problems left and the questions says I have to test them for converge or divergence.
Here are the problems
f0fa5a38c5968ecb7e74103486a181bd.png

http://gyazo.com/f0fa5a38c5968ecb7e74103486a181bd.png
4689f9d02d0b264c2c2b64ff4907ba77.png

for 25, I want to take the limit as n goes to infinity however I get (-1)^[itex]\infty[/itex] and stuck there

for 27, similar problem how do i take the limit of cos([itex]\infty[/itex])

for 43 i have no idea

for 45, I feel like i should use lhr, but i can't take the derivative of n!

Please try and explain it to me, as I already have the answers I just want to learn
What methods do you know? What does it mean for a sequence to converge? ... diverge?

How did you get (-1) for 25 ? Show us your work, so we can help you.

Write out the first several terms for 27.

For 45, use logarithms.
 
Oops my bad. Will think before I post next time hahah. =D
 
Oster said:
25 - Have you done absolute convergence?
26 - Do you see what the graph of this function looks like?
45- Maybe you could try expanding out and then comparing it with some other sequence?

yes, but this is a sequence I thought you can't use tests on it...?
27- i looked at the graph and it seems its going to 0 but is a graph an accurate way of knowing
45- i feel like there's a better way


For 25, I think the question is about convergence of the sequence, not convergence of the series. Ignore the (-1)^n for the moment and tell us whether the n/(n^2+1) part converges and to what.

thats going to 0

SammyS said:
What methods do you know? What does it mean for a sequence to converge? ... diverge?

How did you get (-1) for 25 ? Show us your work, so we can help you.

Write out the first several terms for 27.

For 45, use logarithms.
I think i know almost all the methods, but these are sequences so i thought you really can't use them..
A sequence to converge means as it expands it eventually reaches a limit of a rational number, for it diverges means it goes to infinity or negative infinty

for 25 well i got the limit as n goes to infinity of that function, but if i try to take the limit it becomes
(-1)^[itex]\infty[/itex] *[itex]\infty[/itex]/[itex]\infty[/itex]

27 - seems like its going to 0

45- I would have the ln(n!) - ln(2^n) that's infinity - infinity, how can I rewrite that?
 
shemer77 said:
yes, but this is a sequence I thought you can't use tests on it...?
27- i looked at the graph and it seems its going to 0 but is a graph an accurate way of knowing
45- i feel like there's a better way

thats going to 0I think i know almost all the methods, but these are sequences so i thought you really can't use them..
A sequence to converge means as it expands it eventually reaches a limit of a rational number, for it diverges means it goes to infinity or negative infinty

for 25 well i got the limit as n goes to infinity of that function, but if i try to take the limit it becomes
(-1)^[itex]\infty[/itex] *[itex]\infty[/itex]/[itex]\infty[/itex]

27 - seems like its going to 0

45- I would have the ln(n!) - ln(2^n) that's infinity - infinity, how can I rewrite that?

This would be a lot less confusing if you work on the problems one at a time. I'd suggest you finish 25 first. -1<=(-1)^n<=1. Try using a squeeze argument. And I don't think the best answer for limit n/(n^2+1) is infinity/infinity. In fact, that's no answer at all. Didn't you also say it was 0? Why?
 
Last edited:
shemer77 said:
... for it diverges means it goes to infinity or negative infinty
...

No, diverges simply means that it doesn't converge.
 
shemer77 said:
...

45- I would have the ln(n!) - ln(2^n) that's infinity - infinity, how can I rewrite that?

Use the properties of logarithms to simplify ln(n!) - ln(2n) .
 
Last edited:
  • #10
SammyS said:
Use the properties of logarithms to simplify ln(n!) - ln(2n) .

I don't see how that would help? can you show me the steps? wouldn't it just be ln(n!) - n*ln(2), which would still be infinity - infinity?
 
  • #11
shemer77 said:
I don't see how that would help? can you show me the steps? wouldn't it just be ln(n!) - n*ln(2), which would still be infinity - infinity?

It's probably easier and more direct to write n!/2^n as (1/2)*(2/2)*(3/2)*(4/2)*...*(n/2). Now notice, say, that there are lots of factors that are greater than 2 if n is large. Think about a comparison test.
 
  • #12
Dick's idea is probably better, but here's what I had in mind.

n! = n(n-1)(n-2)...(4)(3)(2)(1).

Therefore, ln(n!) = ln(n)+ln(n-1)+ln(n-2)+...+ln(4)+ln(3)+ln(2) .

But then comparing this to (n)ln(2) can be a bit messy.
 
  • #13
Dick said:
It's probably easier and more direct to write n!/2^n as (1/2)*(2/2)*(3/2)*(4/2)*...*(n/2). Now notice, say, that there are lots of factors that are greater than 2 if n is large. Think about a comparison test.

Wouldn't that be enough to show that the terms clearly diverge, or at least do not converge to 0?

I myself would probably go with using the ratio test.
 
  • #14
Bohrok said:
Wouldn't that be enough to show that the terms clearly diverge, or at least do not converge to 0?

I myself would probably go with using the ratio test.

I believe these are sequences, not series, although the only place it says that is in the title.

However, doing #45 via the logarithm does change it to being equivalent evaluating the convergence of an infinite sequence.
... which gives me an idea

Group a -ln(2) with each ln(i) to give: ln(an) = (ln(n)-ln(2)) + (ln(n-1)-ln(2)) + (ln(n-2)-ln(2)) +...+ ln(4)-ln(2)) + (ln(3)-ln(2)) + (ln(2)-ln(2)) + (ln(1)-ln(2)) .
 

Similar threads

  • · Replies 3 ·
Replies
3
Views
2K
  • · Replies 2 ·
Replies
2
Views
2K
  • · Replies 6 ·
Replies
6
Views
2K
  • · Replies 4 ·
Replies
4
Views
2K
  • · Replies 1 ·
Replies
1
Views
2K
  • · Replies 4 ·
Replies
4
Views
2K
  • · Replies 2 ·
Replies
2
Views
2K
  • · Replies 7 ·
Replies
7
Views
2K
  • · Replies 34 ·
2
Replies
34
Views
4K
  • · Replies 2 ·
Replies
2
Views
1K