The change in entropy of the gas vs thermal reservoir

Click For Summary
SUMMARY

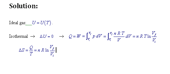
The discussion focuses on the change in entropy of a gas compared to a thermal reservoir during a thermodynamic process. It establishes that when the final volume of the gas increases, the gas absorbs heat from the reservoir, resulting in a negative change in entropy for the reservoir. The participant identifies an error in the provided solution regarding the sign of the entropy change, confirming that the correct answer to the related question is C.

PREREQUISITES
  • Understanding of thermodynamic principles, specifically entropy.
  • Familiarity with the first and second laws of thermodynamics.
  • Knowledge of heat transfer mechanisms between gases and thermal reservoirs.
  • Ability to interpret and manipulate thermodynamic equations.
NEXT STEPS
  • Study the concept of entropy in thermodynamics.
  • Learn about the first and second laws of thermodynamics in detail.
  • Research heat transfer methods between gases and thermal reservoirs.
  • Examine common mistakes in thermodynamic problem-solving, particularly regarding entropy calculations.
USEFUL FOR

Students studying thermodynamics, educators teaching physics concepts, and professionals in engineering fields focusing on heat transfer and energy systems.

cuongbui1702
Messages
31
Reaction score
0

Homework Statement


Entropy-gas-vs-thermal-reservoir_zps5b392705.png



Homework Equations


Solution-Entropy-gas-vs-thermal-reservoir_zpsbd26fdd8.png





The Attempt at a Solution


I don't know what is the difference between the change in entropy of the gas vs the thermal reservoir??
 
Physics news on Phys.org
The equation for then entropy change of the reservoir in the "solution" is incorrect. The sign should be negative. If the final volume of the gas is higher than the initial volume, then the gas absorbs heat from the reservoir, so the reservoir loses heat (and its entropy decreases). The answer to 12 is C.

Chet
 

Similar threads

  • · Replies 1 ·
Replies
1
Views
894
Replies
2
Views
2K
  • · Replies 1 ·
Replies
1
Views
2K
Replies
21
Views
3K
  • · Replies 7 ·
Replies
7
Views
1K
  • · Replies 4 ·
Replies
4
Views
5K
  • · Replies 8 ·
Replies
8
Views
2K
  • · Replies 2 ·
Replies
2
Views
4K
  • · Replies 5 ·
Replies
5
Views
2K
Replies
2
Views
2K