The Riemann Integral .... Conway, Proposition 3.1.4 ....

  • Context: MHB 
  • Thread starter Thread starter Math Amateur
  • Start date Start date
  • Tags Tags
    Integral Riemann
Click For Summary
SUMMARY

The discussion centers on John B. Conway's Proposition 3.1.4 from "A First Course in Analysis," specifically regarding the uniqueness of the number between the lower sum \(L(f, Q)\) and the upper sum \(U(f, Q)\) for every refinement of a partition. It is established that there exists a unique number that satisfies this condition, which is defined as the Riemann integral \(\int_a^b f\). The reasoning provided clarifies that if two numbers existed, a refinement could be constructed that would exclude one of them, contradicting the uniqueness required by the proposition.

PREREQUISITES
  • Understanding of Riemann sums and their definitions.
  • Familiarity with the concept of partitions in integration.
  • Knowledge of the properties of limits and epsilon-delta arguments.
  • Basic comprehension of mathematical proofs and propositions.
NEXT STEPS
  • Study the definitions and properties of Riemann sums in detail.
  • Explore the implications of Proposition 3.1.2 in relation to Proposition 3.1.4.
  • Learn about the epsilon-delta definition of limits in calculus.
  • Investigate other types of integrals, such as the Lebesgue integral, for comparative understanding.
USEFUL FOR

Students of calculus, mathematicians focusing on real analysis, and educators teaching integration concepts will benefit from this discussion.

Math Amateur
Gold Member
MHB
Messages
3,920
Reaction score
48
I am reading John B. Conway's book: A First Course in Analysis and am focused on Chapter 3: Integration ... and in particular I am focused on Section 3.1: The Riemann Integral ...

I need help with an aspect of the proof of Proposition 3.1.4 ...Proposition 3.1.4 and its proof read as follows:
View attachment 9456
View attachment 9457
In the above proof by John Conway we read the following:

" ... ... Since $$\epsilon$$ was arbitrary we have that there can be only one number between L(f, Q) and U(f, Q) for every such refinement. ... ... "My question is as follows:

Can someone please explain what Conway means by saying that there can be only one number between $$L(f, Q)$$ and $$U(f, Q)$$ for every such refinement and, further explain why this is true ... and then, further yet, why exactly this number is $$\int_a^b f $$ ... Help will be appreciated ...

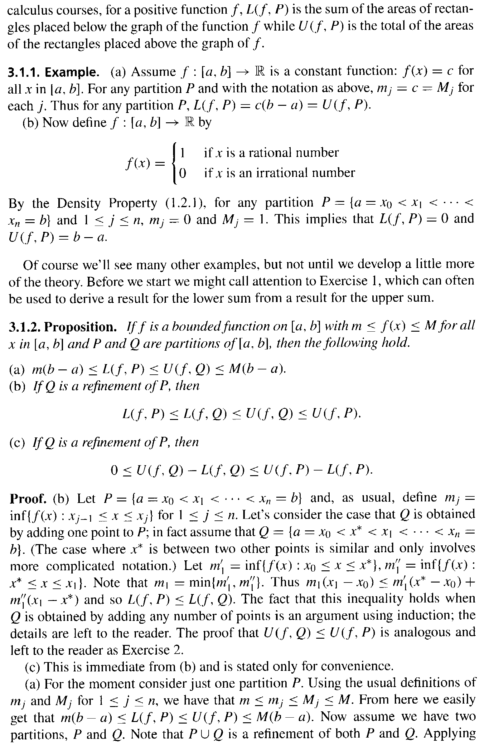
Peter==========================================================================================The above proof refers to Proposition 3.1.2 so I am making available the statement of the proposition ... as follows:View attachment 9458It may help MHB readers to have access to the start of Section 3.1 preliminary to Proposition 3.1.4 ... so I am providing the same ... as follows:View attachment 9459
View attachment 9460
View attachment 9461
Hope that helps ...

Peter
 

Attachments

  • Conway - 1 - Proposition 3.1.4  - PART 1  ... .png
    Conway - 1 - Proposition 3.1.4 - PART 1 ... .png
    8.5 KB · Views: 154
  • Conway - 2 - Proposition 3.1.4  - PART 2 ... .png
    Conway - 2 - Proposition 3.1.4 - PART 2 ... .png
    26.9 KB · Views: 184
  • Conway - Proposition 3.1.2 ... .png
    Conway - Proposition 3.1.2 ... .png
    10.3 KB · Views: 155
  • Conway - 1 - Start of Section 3.1 ... Part 1 .png
    Conway - 1 - Start of Section 3.1 ... Part 1 .png
    31.5 KB · Views: 162
  • Conway - 2 - Start of Section 3.1 ... Part 2 ... .png
    Conway - 2 - Start of Section 3.1 ... Part 2 ... .png
    60.1 KB · Views: 167
  • Conway - 3 - Start of Section 3.1 ... Part 3 ... .png
    Conway - 3 - Start of Section 3.1 ... Part 3 ... .png
    42.1 KB · Views: 166
Last edited:
Physics news on Phys.org
That's a lot to digest in one sitting but here is your basic question:

Peter said:
Can someone please explain what Conway means by saying that there can be only one number between $$L(f, Q)$$ and $$U(f, Q)$$ for every such refinement and, further explain why this is true ... and then, further yet, why exactly this number is $$\int_a^b f $$ ...
The wording is a little ambiguous. I can see how it could be interpreted as "for each refinement" and perhaps that is how you are reading it. But he intends to say that there is a unique number that works for every refinement. Suppose there were two such numbers, p and q. Then then take a refinement such that [tex]\epsilon< |p- q|[/tex]. Those two numbers cannot both be in that refinement so cannot be in every refinement.

As for "why exactly this number is [tex]\int_a^b f[/tex]". He is defining [tex]\int_a^b f[/tex] to be that number!
 
HallsofIvy said:
That's a lot to digest in one sitting but here is your basic question:


The wording is a little ambiguous. I can see how it could be interpreted as "for each refinement" and perhaps that is how you are reading it. But he intends to say that there is a unique number that works for every refinement. Suppose there were two such numbers, p and q. Then then take a refinement such that [tex]\epsilon< |p- q|[/tex]. Those two numbers cannot both be in that refinement so cannot be in every refinement.

As for "why exactly this number is [tex]\int_a^b f[/tex]". He is defining [tex]\int_a^b f[/tex] to be that number!

Thanks HallsofIvy ...

Still reflecting on what you have said ...

Thanks again ...

Peter
 

Similar threads

  • · Replies 7 ·
Replies
7
Views
2K
Replies
2
Views
2K
Replies
2
Views
2K
  • · Replies 5 ·
Replies
5
Views
2K
  • · Replies 3 ·
Replies
3
Views
2K
  • · Replies 14 ·
Replies
14
Views
3K
Replies
2
Views
2K
  • · Replies 3 ·
Replies
3
Views
2K
Replies
3
Views
2K
  • · Replies 8 ·
Replies
8
Views
2K