Thevenin's Theorem: Solving Homework Statement on Load Current

Click For Summary

Discussion Overview

The discussion revolves around solving a homework problem related to Thevenin's Theorem, focusing on determining the load current in a circuit with a 50 Ω load fed by two voltage sources and their associated reactances. Participants explore various methods including Thevenin's theorem, superposition theorem, and Norton transformations, while addressing complexities introduced by reactance and power factor.

Discussion Character

  • Homework-related
  • Technical explanation
  • Exploratory
  • Mathematical reasoning

Main Points Raised

  • One participant requests assistance in starting the problem, expressing confusion over incorporating reactance and power factor.
  • Another suggests converting the load to a complex impedance and using complex arithmetic for calculations.
  • There is a discussion about the correct use of the formula for impedance, with some participants debating the interpretation of the power factor and its impact on the impedance calculation.
  • Participants clarify the distinction between magnitude and angle in impedance representation, with one asserting that the load impedance is given in magnitude and needs to be expressed in polar form.
  • There are multiple attempts to calculate the equivalent impedance and voltage, with participants sharing their calculations and seeking validation of their methods.
  • Some participants express confusion about the steps involved in finding Thevenin equivalent voltage and resistance, particularly regarding the open-circuit terminals.
  • There is a discussion about the phase angles of the voltage sources and their implications for calculations, with suggestions to ensure consistency in the trigonometric functions used.
  • Participants inquire about converting voltages to phasor quantities and the significance of RMS values in the context of the problem.

Areas of Agreement / Disagreement

Participants generally agree on the need to apply Thevenin's theorem and other methods to solve for the load current, but there are multiple competing views on the correct approach to calculating impedance and voltage, as well as the interpretation of power factor. The discussion remains unresolved with participants expressing varying levels of understanding and confidence in their calculations.

Contextual Notes

Participants highlight limitations in their understanding of the circuit's behavior when the load is removed, the definitions of the voltage supplies, and the need for careful handling of complex arithmetic. There are also unresolved questions regarding the significance of different phase angles in the voltage sources.

  • #151
Ok thanks for the reply. I looked at an earlier post (81) where this was discussed.

If I change ##V1## to sine
##V1= \sqrt2 (415) \sin (100\pi + 90)## I add ##90## because it leads ##V2## by ##90^0##
##V2## remains the same
##V2 = \sqrt2 (415) \sin (100 \pi)##

If I then remove the ##\sqrt2## from each equation this also removes the trig function and arguments. In this case the ##\sin## function and ##100 \pi## will be removed from each equation leaving

##V1=415 \angle 90##
##V2=415 \angle 0##

Is this correct?

Do I now have to change the above to rectangular form ??
 
Physics news on Phys.org
  • #152
That looks good. Whether or not you'll need their rectangular form will depend upon the mathematical operations you want to perform. It's the usual complex number shuffle...
 
  • #153
I need to find the ##Vth## of the circuit. I have read some of the past posts and I see in some cases they have converted:

##V1=415V \angle 90^0## to ##0 +j415##
##V2=415V \angle 0^0 ## to ##415 +j0##

so ##V1 =0 +j415## and ##V2= 415 +j0##

So can I just make these voltages as follows:-

##V1 = j415V##
##V2 = 415V##

What I am trying to understand now is how to get the ##Vth## from these values. What do I have to do to proceed? I have already worked out the ##Zt## to be ##j2.4## but do I go back now and use the individual values ##j4## and ##j6## in some current calculations? I feel confident I can do the math, its just knowing exactly what math I need to do that is confusing me.

Thanks again
 
  • #154
You proceed as you would for any circuit: To find the Thevenin voltage you remove the load and find the potential across the open terminals. How you accomplish that is up to you; there are several ways to analyze the circuit. Nodal analysis appears to be a straightforward choice...
 
  • #155
Thanks again, I have no experience of Nodal analysis but I will try to find some info on this
 
  • #156
Good Morning, I started looking at Nodal analysis last night. I have no experience of this and I was wondering if you could take a look at the attachment and advise if I am on the right track or not. I think its correct but I am unsure how to proceed and was wondering if you could show me how this is done. I am not looking for the answer, I am just trying to learn how to correctly carry this out using Nodal analysis.

Thanks
 

Attachments

  • #157
Well, you've identified the sole essential node, which is good. Only one essential node means there's only one node equation to write.

For this problem you're looking for ##V_{th}##, which means removing the 50 Ω load and finding the potential across the open terminals.

upload_2016-10-16_7-37-0.png


In this circuit the node voltage happens to coincide with the voltage you're looking for, so that's very handy!

Your next step is to write the node equation. There are only two current carrying paths to the node, so it shouldn't hard to sum the currents...
 
  • #158
Thanks, I have been studying online tutorials for this and started trying to write the equation but everything I have seen has been shown with (in the case of this circuit) the ##50 \Omega## resistor "in circuit".

##I1 +I2 + I3 = 0##

##I1 = \frac {415-Vth} {4}## ##I2 = \frac {-Vth} {50}## ##I3 = \frac {415-Vth} {6}####I1 = \frac {415-Vth} {4}## ##+## ##I2 = \frac {-Vth} {50}## ##+## ##I3 = \frac {415-Vth} {6}## ##=0##

If I remove the ##50 \Omega## then this equation above is of no use
 
  • #159
First, you MUST remove the load to find the Thevenin voltage. It's the open-circuit voltage after all.

Second, your node equation will not be useless! It will give you Vth. There will be two terms, one for each "branch" that can carry current leading to the node.

Note that you must use the complex values for the component quantities when you write your node equation. Your V1, for example, is 415j. And the two inductor impedances are 4j and 6j respectively.
 
  • #160
Ok I have attempted it as shown below

##\frac {V1-VL} {j4}## ##=## ##\frac {VL-V2} {j6}##

so ##\frac {j415-VL} {j4} = \frac {VL-415} {j6}##

##(j415-VL)(j6) = (VL-415)(j4)##

##j2490-j6VL = j4VL-1660##

##j2490 + 1660 = j10VL##

##VL = \frac {j2490} {10} + \frac {1660}{10}##

so ##VL = j249 + 166##

I think this is just about correct

I need to find the current through the load so I used ## iL = \frac {Vth} {Zth + ZL}##

I added ##j249## and ##166## and converted to polar and this gave me ##299.26 \angle56.310##

I added ##Zth = j2.4## and ##ZL = 35 +j35.7## and this gave me ##35 + j38.1## Converted to Polar this is ##51.74 \angle47.43##

I then did the calculation ##\frac{299.26\angle56.310} {51.74\angle47.43}## and this resulted in ##5.78\angle8.88##

Convert this back to rectangular i get ##5.71 + j0.892##

I feel this is the correct value of load current
 
  • #161
That looks good. Nicely done.
 
  • #162
Thanks for your advice with this, much appreciated
 
  • #163
I wonder if someone could point me in the right direction i have completed the first part and obtained
IL = (15296.9 + j2390.4) / 26761 = 5.71503 + j0.89037
I have being doing the superposition part and after doing the calculation about 6 times i have come to the conclusion i have the original equation wrong
I have used from the 2 voltage sources (V1=j415 and V2 =415) where ZL = 35+35.7j from part a
ILH = j415/ (j4 + ((j6)(ZL))
IRH = 415 / j6 + ((j4) + ZL)
the answers i obtained were
ILH = 43.61 +1.95j
IRH = 0.868 = 42.43j

I am not sure where i have gone wrong, i am not looking for the answer just a point in the right direction please
 
  • #164
Hi Davey345, Welcome to Physics Forums!

Can you show more detail for how you arrived at your expressions for ILH and IRH?

Remember, when you suppress a voltage source you replace it with a short circuit (wire), but anything in series with that source is still part of the circuit.
 
  • #165
Sorry the images ore not fantastic, i am still in the rough working out stages. I have put a short circuit across the Voltage source V1 and taken the currents from that source and repeated the exercise from V2 i believed.
 

Attachments

  • Scan0003.jpg
    Scan0003.jpg
    36.9 KB · Views: 816
  • Scan0004.jpg
    Scan0004.jpg
    42.5 KB · Views: 784
  • Scan0005.jpg
    Scan0005.jpg
    1.7 KB · Views: 657
  • Scan0006.jpg
    Scan0006.jpg
    2.1 KB · Views: 609
  • Scan0007.jpg
    Scan0007.jpg
    1.9 KB · Views: 658
  • Scan0008.jpg
    Scan0008.jpg
    36.1 KB · Views: 727
  • Scan0009.jpg
    Scan0009.jpg
    44.4 KB · Views: 765
  • #166
The equation comes from the Current division in a circuit, i have said that the current through the circuit from the source is
J6 and ZL are is series and in parallel to j4 so with current divider rule resistors and impedances in parallel are the product of the two resistors over the sum.
and then i have used ohms law to obtain an equation for the current
 
  • #167
I'm not so much interested in the mechanics of the complex number handling as the methods/steps taken.
Davey345 said:
The equation comes from the Current division in a circuit, i have said that the current through the circuit from the source is
J6 and ZL are is series and in parallel to j4 so with current divider rule resistors and impedances in parallel are the product of the two resistors over the sum.
and then i have used ohms law to obtain an equation for the current
I'm not following your description. It looks like something got lost in the editing.

Lets deal with the active V1 source first. If V2 is suppressed then ZL and j6 are in parallel, and j4 is in series with that parallel pair. You can find the total current as an intermediate step, then apply current division for the parallel pair to find the load current. Is that more or less what you've done?
 
  • #168
The currents that you gave in post #163 correspond to the source currents. I can confirm that they are good (or close enough) values for those currents.

All that would remain is to apply current division to each to pull out the load branch currents and then sum the results.
 
  • #169
Oh Thank you, I forgot that last step.
 
  • #170
I have a query as to why I have subtle different answers, I understand rounding errors but I have a different j component to my last answer, albeit it only marginal.
I used Vth as 166+249j, and RL as 35+35.7j giving Zth of the load as j2.4ohms.
I calculated the I short-circuit as 103.75-69.166j, which enabled me to calculate Zth of the norton circuit of 0.07532+2.31801j,
then using I = Vth/ (Zth+RL) I get I= 5.71413+0.90549j
my confusion is for parts a i get I = 5.71503 + 0.89037j
part b I= get 5.7152+0.89295j
is this acceptable or have I made a mistake ?
 
  • #171
Davey345 said:
I have a query as to why I have subtle different answers, I understand rounding errors but I have a different j component to my last answer, albeit it only marginal.
I used Vth as 166+249j, and RL as 35+35.7j giving Zth of the load as j2.4ohms.
I calculated the I short-circuit as 103.75-69.166j, which enabled me to calculate Zth of the norton circuit of 0.07532+2.31801j,
Not sure what "Zth of norton circuit" is. The Norton impedance should be identical to the Thevenin impedance for a given circuit.
then using I = Vth/ (Zth+RL) I get I= 5.71413+0.90549j
my confusion is for parts a i get I = 5.71503 + 0.89037j
part b I= get 5.7152+0.89295j
is this acceptable or have I made a mistake ?
This is a tough call. I know that when I solved by the individual methods I kept all intermediate values to full precision (no truncation or rounding other than by the limitations of the calculator/software) and all my results agreed to three decimal places. I didn't bother comparing more digits than that at the time.

Pulling up my spreadsheet I can confirm that all my results are identical to at least six decimal places. For the load current, to six places, I have:

##I_L = 5.714530 + 0.892446j~A##
 
  • #172
This particular problem is quite popular. People have been asking for help for at least a couple of years.
Just for reference, here's the exact result, and its 20 digit approximation: :wink:

Exact.png
 
  • #173
Hi, i have been following the forum and have a query. I have calculated my answers in peak i.e. keeping the √2 on my voltage sources V1 and V2.
Did i need to change that?
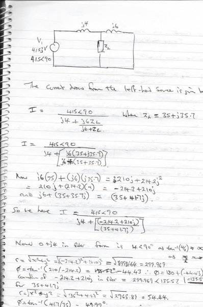
My answer for part a) IL is 5.78<9.42°

My answer for part b) is very similar, just wondered whether i have the correct method?
 
  • #174
js3 said:
Hi, i have been following the forum and have a query. I have calculated my answers in peak i.e. keeping the √2 on my voltage sources V1 and V2.
Did i need to change that?
My answer for part a) IL is 5.78<9.42°
If that's a peak value, then it doesn't look right. Should be closer to 8 amps if the rms value is about 5.8 amps (as found by others). Also, the angle should match what others find regardless of whether the result is peak or rms.

You can use peak values to do the calculations. The only place you might run into issues is if you were asked to calculate power values. Then you'd want to use rms values for the voltages and currents. You can always convert sinusoidal voltages and currents to their rms values later. It's just a scaling factor.
My answer for part b) is very similar, just wondered whether i have the correct method?
You'd need to post the details of your work.
 
  • #175
Thankyou for your response.
When i say i have left them as peak, i mean that for V1 i have used j415x√2. And for V2 i have used 415x√2.
So using nodal analysis part a) leaves me with Vt = 166√2+j249√2Did i just need to leave the √2 out is my question? Because if that's the problem, my mistake carries over to part b.
 
  • #176
js3 said:
Thankyou for your response.
When i say i have left them as peak, i mean that for V1 i have used j415x√2. And for V2 i have used 415x√2.
So using nodal analysis part a) leaves me with Vt = 166√2+j249√2Did i just need to leave the √2 out is my question? Because if that's the problem, my mistake carries over to part b.
Okay, so that would be a correct value for the Thevenin voltage expressed as a peak value. Just drop the root 2's to make it an rms value. Presumably either result (peak or rms) should be acceptable since the original problem did not specify one or the other. You can leave the √2's in or out for all calculations. It's just a scaling constant. You can always compare a peak value to an rms result that was calculated by others by dividing your peak value by √2.

Peak vs rms will never affect the phase angle. So if your phase angle doesn't match an accepted result then you're probably in trouble somewhere in your calculations. If your peak value calculations yield a result that isn't the same as what others have found when you convert them to the same scale (peak or rms) then you need to look at your workings.
 
  • #177
Hello,

I am currently working through the same problem, question 1.(a).

Can anyone explain how we get this equation from nodal analysis?

David J said:
$$\frac {V1-VL} {j4} = \frac {VL-V2} {j6}$$

Thanks.
 
  • #178
Triopas said:
Hello,

I am currently working through the same problem, question 1.(a).

Can anyone explain how we get this equation from nodal analysis?
Thanks.
Sure. First, can you describe what VL represents in your equation, and the precise circuit circumstances that you are analyzing?
 
  • #179
Okay, here goes;

I'm trying to work out the Thevenin's equivalent voltage across the load, which I am referring to as VL.

Based on the notes that I have, the nodal analysis equation I end up with is:

##\frac {V_1 - V_L} {j4} + \frac {V_2-V_L}{j6} = \frac {V_L} {Z_L}##

Which seems correct as the voltage across the load is surely the sum of both sources?

But I see that others have used the equation I mentioned previously and got the correct answer, so I'm confused!

Thanks.
 
  • #180
Triopas said:
Okay, here goes;

I'm trying to work out the Thevenin's equivalent voltage across the load, which I am referring to as VL.

Based on the notes that I have, the nodal analysis equation I end up with is:

##\frac {V_1 - V_L} {j4} + \frac {V_2-V_L}{j6} = \frac {V_L} {Z_L}##

Which seems correct as the voltage across the load is surely the sum of both sources?

But I see that others have used the equation I mentioned previously and got the correct answer, so I'm confused!

Thanks.

To solve using Thevenin equivalents, you must find the Thevenin voltage and Thevenin impedance. To find the Thevenin voltage, you remove the load ZL and find the voltage across the terminals where the load was. To do that, you solve:

##\frac { VTh-V_1} {j4} + \frac {VTh-V_2}{j6} =0##

where Vth is the voltage at the node where ZL was connected.
 
Last edited:

Similar threads

  • · Replies 28 ·
Replies
28
Views
7K
  • · Replies 7 ·
Replies
7
Views
5K
  • · Replies 11 ·
Replies
11
Views
5K
  • · Replies 17 ·
Replies
17
Views
3K
  • · Replies 10 ·
Replies
10
Views
4K
  • · Replies 59 ·
2
Replies
59
Views
22K
  • · Replies 5 ·
Replies
5
Views
2K
  • · Replies 26 ·
Replies
26
Views
3K
  • · Replies 1 ·
Replies
1
Views
2K
  • · Replies 1 ·
Replies
1
Views
2K