Thrust of a large ship's propeller accelerating the ship

Click For Summary

Homework Help Overview

The discussion revolves around calculating the thrust generated by a ship's propeller and its relation to the acceleration of the ship. Participants are exploring concepts related to thrust, force, and momentum in the context of fluid dynamics and Newton's laws.

Discussion Character

  • Exploratory, Conceptual clarification, Mathematical reasoning, Assumption checking

Approaches and Questions Raised

  • Participants discuss the relationship between thrust and net force, considering how to calculate thrust using water density and propeller velocity. Questions arise about the volume of water displaced and how it relates to force. There is exploration of momentum changes and the equations needed to quantify these relationships.

Discussion Status

Participants are actively engaging with the problem, questioning assumptions and definitions. Some have offered guidance on calculating volume and mass, while others are clarifying the relationships between force, momentum, and the dimensions involved. There is no explicit consensus yet, as various interpretations and calculations are being explored.

Contextual Notes

Participants note the importance of keeping track of units and dimensions in their calculations. There is also mention of the need for additional information, such as the height of the cylinder, to fully resolve the problem.

jisbon
Messages
475
Reaction score
30
Homework Statement
Consider a ship mass of 2000000kg with propeller blades of radius 7m and it can push backwards to a speed of 2m/s. Given that density of water is 1000kg/m^3 , find acc of ship.
Relevant Equations
F=ma
upthrust = pgv
Hello.
Not sure how to even begin with this question honestly. Didn't learn anything about thrust regarding this topic so it got me dumbfounded.
Here's how I try to interpret it:
1565761013823.png


I'm assuming that the thrust created by propellers = net force of the ship, where I can use F=ma to find acceleration. The problem is I don't really know and understand how to calculate thrust using the density of water and velocity/radius of propeller. Any help will be grateful here. Thanks
 
Last edited by a moderator:
Physics news on Phys.org
jisbon said:
Didn't learn anything about thrust
So what did you learn that might be useful here ? Some Newton laws, perhaps ? Momentum balances ?

Some help:
From the problem statement I expect the water pushed backwards is a cylinder with radius 7 m
 
Yep I did learn about the three Newton laws and momentum too.
From your statement, this means I can find the volume of water pushed per second? How does finding the volume of water pushed per second help me to find the force by any chances?
 
Water is pushed one way ##\Rightarrow## ship is pushed the other way (Newton too !)
 
Yep, but how will I be able to find out the force numerically by the speed of the water? Thanks
 
How much force does it take to push a volume V of water away with 2 m/s every second ?
 
BvU said:
How much force does it take to push a volume V of water away with 2 m/s every second ?
I'm not sure on the equation needed here, since I only know f=ma as well as f=dp/dt dealing with objects. I'm not sure what's exactly the formula to 'push' water away, any guidance on this? Thanks so much
 
Assume the ship lies still. Propeller turns and pushes back ##V## m3/s

What is the change of momentum of the water ? Sho what is the change of momentum of the ship ?
 
BvU said:
Assume the ship lies still. Propeller turns and pushes back ##V## m3/s

What is the change of momentum of the water ? Sho what is the change of momentum of the ship ?
change in momentum dp = m(final velocity- initial velocity). While I know the final and initial, is the mass found using density * volume where by volume = volume of cylinder that u stated above?
 
  • #10
Why the question mark ?
 
  • #11
BvU said:
Why the question mark ?
Just asking if it was correct haha. Thought I messed up. Assuming it is correct, I was still wondering if the height of the cylinder is 2m (not sure on this)
Without having height at the moment, I have this:

dp/dt = m(vf-vi)/t
vol = pi*r*r*h
= 49pi h
mass = density * vol
= 49pi h * 1000= 49000pi h
Hence,
F= dp/dt = 49000pi h* (2m/s)
acc of ship = 49000pi h* (2m/s) / 2000000kg
Is my equation correct?
 
  • #12
jisbon said:
F= dp/dt = 49000pi h* (2m/s)
If you were to keep track of units, as you should , you might spot that cannot be right because it is dimensionally inconsistent (always a useful check).
On the left you have force, on the right mass x velocity, i.e. momentum.
In the first line of your working in post #11 you have a final "/t". You did not know what to do with that, so you ignored it, right?
Consider a time ##\Delta t##. What length of cylinder of water passes through the propeller in that time?
 
  • Like
Likes   Reactions: BvU
  • #13
haruspex said:
If you were to keep track of units, as you should , you might spot that cannot be right because it is dimensionally inconsistent (always a useful check).
On the left you have force, on the right mass x velocity, i.e. momentum.
In the first line of your working in post #11 you have a final "/t". You did not know what to do with that, so you ignored it, right?
Consider a time ##\Delta t##. What length of cylinder of water passes through the propeller in that time?
1565942901610.png

I'm unsure of the length, but if I guess so, it can't possibly be (2/pi r*2) right?
Are my equations above correct in the first place though? I'm pretty confused
 
  • #14
jisbon said:
View attachment 248263
I'm unsure of the length, but if I guess so, it can't possibly be (2/pi r*2) right?
Are my equations above correct in the first place though? I'm pretty confused
You know the speed at which it moves, so how far in time ##\Delta t##?
 
  • #15
haruspex said:
You know the speed at which it moves, so how far in time ##\Delta t##?
2t?
 
  • #16
jisbon said:
2t?
2 times ##\Delta##t, yes.
 
  • Like
Likes   Reactions: BvU
  • #17
So 2 times the change in time will give me the volume? Not sure what that leads to
 
  • #18
jisbon said:
So 2 times the change in time will give me the volume? Not sure what that leads to
The density of water is known. If you know the volume, you know the mass.
 
  • #19
OK, so that brings the mass to be 2 * change in time *1000 = 2000 * change in t.
So change in momentum = 2000t(2-0)/1?
 
  • #20
jisbon said:
OK, so that brings the mass to be 2 * change in time *1000 = 2000 * change in t.
I seem to have misled you.

We have not included the cross-sectional area of the cylinder. In one second, you have a 2 meter cylinder length. We still need to turn that into a volume and then into a mass. And we need to keep track of units.

2 meter length is how much volume? In what units?
That much volume is how much mass? In what units?
Then we can multiply by the change in velocity to get momentum. Without forgetting units.
 
  • #21
jisbon said:
So 2 times the change in time will give me the volume?
No, it will give you the length of the cylinder.
And it is not "2 times". The 2 has units, m/s. If you insist on plugging in numeric values you must keep the units, so the length is 2Δt m/s.
But far, far better is to work symbolically: write v for the speed, so the length is vΔt. Resist plugging in numbers until the end; it has many advantages.
 
  • Like
Likes   Reactions: jbriggs444
  • #22
haruspex said:
No, it will give you the length of the cylinder.
And it is not "2 times". The 2 has units, m/s. If you insist on plugging in numeric values you must keep the units, so the length is 2Δt m/s.
But far, far better is to work symbolically: write v for the speed, so the length is vΔt. Resist plugging in numbers until the end; it has many advantages.
jbriggs444 said:
I seem to have misled you.

We have not included the cross-sectional area of the cylinder. In one second, you have a 2 meter cylinder length. We still need to turn that into a volume and then into a mass. And we need to keep track of units.

2 meter length is how much volume? In what units?
That much volume is how much mass? In what units?
Then we can multiply by the change in velocity to get momentum. Without forgetting units.
Thank you so much for your advice. After seeing them, here's what I get thus far. Will this be correct?

1566006225888.png
 
  • #23
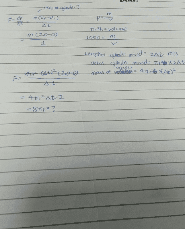
I could follow your working as far as vol of cylinder moved in time Δt is ##\pi r^2v\Delta t##. After that you lost me. You have mass =, but instead of multiplying the volume by the density you seem to have multiplied by h again.

And please take the trouble to type in your working. Posting images is for textbook extracts and diagrams.
 
  • #24
haruspex said:
I could follow your working as far as vol of cylinder moved in time Δt is ##\pi r^2v\Delta t##. After that you lost me. You have mass =, but instead of multiplying the volume by the density you seem to have multiplied by h again.

And please take the trouble to type in your working. Posting images is for textbook extracts and diagrams.
The above portion was from the previous working, what I meant was the following:

Length of cylinder moved = 2Δt m/s
Volume of cylinder moved = ##2Δt * \pi * r^2##
So mass of cylinder = ##2Δt * \pi * r^2 * 1000##
Since F= ##\frac {m(final v - inital v)}{Δt} ##
F = ##\frac {2Δt * \pi * r^2 * 1000 (2)}{Δt}##
= ## (2 * \pi * r^2 * 1000 (2))##?
 
  • #25
jisbon said:
The above portion was from the previous working, what I meant was the following:

Length of cylinder moved = 2Δt m/s
Volume of cylinder moved = ##2Δt * \pi * r^2##
So mass of cylinder = ##2Δt * \pi * r^2 * 1000##
Since F= ##\frac {m(final v - inital v)}{Δt} ##
F = ##\frac {2Δt * \pi * r^2 * 1000 (2)}{Δt}##
= ## (2 * \pi * r^2 * 1000 (2))##?
Yes, that looks right.
 
  • #26
haruspex said:
Yes, that looks right.
So with this force value, I will be able to find the acceleration of ship by taking

## a = \frac {(2 * \pi * r^2 * 1000 (2))}{2000000kg}##?

Thanks :)
 
  • #27
jisbon said:
So with this force value, I will be able to find the acceleration of ship by taking

## a = \frac {(2 * \pi * r^2 * 1000 (2))}{2000000kg}##?

Thanks :)
Yes.
 

Similar threads

  • · Replies 12 ·
Replies
12
Views
4K
  • · Replies 9 ·
Replies
9
Views
4K
Replies
2
Views
3K
  • · Replies 4 ·
Replies
4
Views
6K
  • · Replies 15 ·
Replies
15
Views
4K
  • · Replies 69 ·
3
Replies
69
Views
18K
Replies
10
Views
3K
  • · Replies 4 ·
Replies
4
Views
32K
  • · Replies 47 ·
2
Replies
47
Views
5K
  • · Replies 5 ·
Replies
5
Views
2K