Transcendental equation problem

Click For Summary

Homework Help Overview

The discussion revolves around a transcendental equation involving trigonometric functions, specifically the cotangent and tangent functions. The original poster, identifying as a hydraulic engineer, seeks assistance in resolving this equation, which includes parameters such as a constant n, exemplified with n = 0.5. The equation is presented in two forms, and the roots of the equation are denoted as xp.

Discussion Character

  • Exploratory, Assumption checking, Problem interpretation

Approaches and Questions Raised

  • Participants discuss the nature of the equation and the challenges posed by the cotangent function, particularly its behavior at certain values of x. Some suggest rewriting the equation to facilitate finding roots, while others express confusion regarding the implications of the variable n and its relation to the roots.

Discussion Status

There is an ongoing exploration of the equation's properties and potential methods for finding its roots. Some participants have offered insights into rewriting the equation for clarity, while others are questioning the implications of the variable n and how it affects the roots. The discussion reflects a mix of attempts to clarify the problem and explore various interpretations.

Contextual Notes

Participants note that the original poster lacks advanced mathematical training, which may influence their understanding of the problem. There is also mention of the complexity introduced by the index p in relation to the roots, leading to further questions about how to approach the series involved.

dji3214
Messages
4
Reaction score
0
i have a transcendental equation and i have not a mathematique superieur formation ( I'm an hydraulic engeneer) and i want to resolve it but i can't so if you can help me with it !

the equation is : 2*x*n*ctg(2x)= x2 - n2 or (same equation) : (n*ctg(x)-x)*(n*tg(x)+x) =0

n= constante ( i have this n... in example n = 0.5 )
xp = are the roots of equation above
 
Physics news on Phys.org
dji3214 said:
i have a transcendental equation and i have not a mathematique superieur formation ( I'm an hydraulic engeneer) and i want to resolve it but i can't so if you can help me with it !

the equation is : 2*x*n*ctg(2x)= x2 - n2 or (same equation) : (n*ctg(x)-x)*(n*tg(x)+x) =0

n= constante ( i have this n... in example n = 0.5 )
xp = are the roots of equation above

Welcome to the PF.

Did you mean to put this in the schoolwork forums? If it's for your work, it could be posted in the general Math forums...
 
dji3214 said:
i have a transcendental equation and i have not a mathematique superieur formation ( I'm an hydraulic engeneer) and i want to resolve it but i can't so if you can help me with it !

the equation is : 2*x*n*ctg(2x)= x2 - n2 or (same equation) : (n*ctg(x)-x)*(n*tg(x)+x) =0

n= constante ( i have this n... in example n = 0.5 )
xp = are the roots of equation above
Such equations are normally solved by iteration, also known as trial and error.
 
dji3214 said:
i have a transcendental equation and i have not a mathematique superieur formation ( I'm an hydraulic engeneer) and i want to resolve it but i can't so if you can help me with it !

the equation is : 2*x*n*ctg(2x)= x2 - n2 or (same equation) : (n*ctg(x)-x)*(n*tg(x)+x) =0

n= constante ( i have this n... in example n = 0.5 )
xp = are the roots of equation above

First: the ##\cot(2x)## function "blows up" (goes to ##\pm \infty##) at (infinitely many) finite values of ##x##, so that will give trouble in any numerical solution scheme. It is better to eliminate that problem by re-writing the equation as
[tex]2 n x \cos(2x) = (x^2 - n^2) \sin(2x)[/tex]
Now a plot of both sides will reveal the approximate positions of roots, and these can be refined by various methods to get accurate values. There are infinitely many positive and negative roots.
 
Ray Vickson said:
First: the ##\cot(2x)## function "blows up" (goes to ##\pm \infty##) at (infinitely many) finite values of ##x##, so that will give trouble in any numerical solution scheme. It is better to eliminate that problem by re-writing the equation as
[tex]2 n x \cos(2x) = (x^2 - n^2) \sin(2x)[/tex]
Now a plot of both sides will reveal the approximate positions of roots, and these can be refined by various methods to get accurate values. There are infinitely many positive and negative roots.
DEAR ,, RAY thnx for helping me,, if i understand u this infitely positive and negative roots are for this n in our example 0.5 ... AND if i tell you that xp the roots are depending to this index p like in series Σ ...because in my formula they wrote in it Xp like this ; X is h ( hn = are the roots of equation above) ,, the index p is n and n (n=0.5) in the equation is mew !
upload_2015-8-14_0-56-11.png


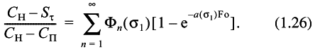
the GENERAL EQUATION is ;
upload_2015-8-14_1-0-45.png

where in the left side constant i have it

the right side this serie and THIS INDEX n batherd me a lot and complicate my equation because i don't know in which number of n i stop my serie and also stop the root of the transcendental equation
 
Last edited:
dji3214 said:
DEAR ,, RAY thnx for helping me,, if i understand u this infitely positive and negative roots are for this n in our example 0.5 ... AND if i tell you that xp the roots are depending to this index p like in series Σ ...because in my formula they wrote in it Xp like this ; X is h ( hn = are the roots of equation above) ,, the index p is n and n (n=0.5) in the equation is mew !
View attachment 87287

the GENERAL EQUATION is ;
View attachment 87288
where in the left side constant i have it

the right side this serie and THIS INDEX n batherd me a lot and complicate my equation because i don't know in which number of n i stop my serie and also stop the root of the transcendental equation

I cannot understand anything you have written.
 
Ray Vickson said:
I cannot understand anything you have written.
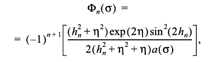
lol ,, ok ,, my general formula is : my problem is hn roots of transcendental equation
upload_2015-8-14_1-0-45-png.87288.png


in PHI n i have hn ( hn is roots of the first transcendental equation that i wrote in first time )

this is PHIn
upload_2015-8-14_0-56-11-png.87287.png

look at hn ,, now hn are roots of the transcendental equation
upload_2015-8-14_15-32-29.png
that u transform to 2nxcos(2x)=(x2−n2)sin(2x) i would tell you that the greek lettre eta (
upload_2015-8-14_15-33-54.png
) is n in first post that's all because i change variables lettre

 
Last edited:
dji3214 said:
lol ,, ok ,, my general formula is : my problem is hn roots of transcendental equation
upload_2015-8-14_1-0-45-png.87288.png


in PHI n i have hn ( hn is roots of the first transcendental equation that i wrote in first time )

this is PHIn
upload_2015-8-14_0-56-11-png.87287.png

look at hn ,, now hn are roots of the transcendental equation View attachment 87304 that u transform to 2nxcos(2x)=(x2−n2)sin(2x) i would tell you that the greek lettre mew ( View attachment 87305 ) is n in first post that's all because i change variables lettre

η is called "eta"

μ is called "mu", or "mew", as you prefer.
 
  • Like
Likes   Reactions: dji3214
SteamKing said:
η is called "eta"

μ is called "mu", or "mew", as you prefer.
lol see i forget very think lol
 

Similar threads

Replies
3
Views
2K
  • · Replies 2 ·
Replies
2
Views
2K
Replies
14
Views
3K
  • · Replies 5 ·
Replies
5
Views
2K
Replies
6
Views
1K
  • · Replies 7 ·
Replies
7
Views
2K
  • · Replies 7 ·
Replies
7
Views
2K
  • · Replies 23 ·
Replies
23
Views
3K
  • · Replies 2 ·
Replies
2
Views
2K
  • · Replies 6 ·
Replies
6
Views
2K