Understanding Energy of Particles with 'x' Degrees of Freedom

Click For Summary

Homework Help Overview

The discussion revolves around the energy of particles with varying degrees of freedom, specifically focusing on the application of the equipartition theorem and its implications for a given energy expression E = ax^6. Participants explore the relationship between degrees of freedom and average energy in the context of thermal systems.

Discussion Character

  • Exploratory, Conceptual clarification, Assumption checking

Approaches and Questions Raised

  • Participants discuss the equipartition theorem and its application to the average energy of particles with 'x' degrees of freedom. Questions arise regarding the assumptions underlying the theorem and the specific energy expression provided. There is an exploration of how the energy expression relates to the degrees of freedom and the partition function.

Discussion Status

The discussion is active, with participants questioning the assumptions of the equipartition theorem and examining the implications of the energy expression E = ax^6. Some participants have provided insights into the relationship between the energy expression and the partition function, suggesting a productive direction for further exploration.

Contextual Notes

Participants note that the equipartition theorem holds under specific assumptions, which are being questioned and clarified throughout the discussion. The expression E = ax^6 is also under scrutiny regarding its derivation and relevance to the degrees of freedom.

tanaygupta2000
Messages
208
Reaction score
14
Homework Statement
Consider a system with a large number of non interacting particles at temperature T. Each particle has energy given by E = ax^6 associated with the degree of freedom x. Evaluate the mean energy per particle associated with this degree of freedom.
Relevant Equations
E = 3/2 kT
I've learned that for a particle having 3 degrees of freedom, its average energy is 3/2 kT.
So for a particle having 'x' degrees of freedom, its energy should be xkT/2.
So what is the use of given E = ax6 here?
Please help!
 
Physics news on Phys.org
Look up what exactly the equipartition theorem says. The devil is in the details.
 
vela said:
Look up what exactly the equipartition theorem says. The devil is in the details.
According to Law of Equipartition of Energy, each degree of freedom in a system of particles contributes (1/2)kT to the thermal average energy of the system.
So for x degrees of freedom of each particle in a system of particles, the thermal average energy of the system should be xkT/2.
And it is given that each particle has energy given by E = ax6.
 
That's based on certain assumptions. What are those assumptions?
 
  • Like
  • Informative
Likes   Reactions: tanaygupta2000 and etotheipi
vela said:
That's based on certain assumptions. What are those assumptions?
Okay now I understood.
The above expression holds only when each term is proportional to either a coordinate or momentum squared.
In this case, we similarly have E = ax6 ∝ (x3)2

So we have to use for Partition function,
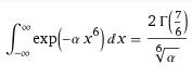
Z = ∫e-ax6/kTdx = ∫e(-a/kT)× (x6)dx

Let (a/kT) = α
=> Z = ∫e-αx6 dx

Since
Capture.PNG

So we can obtain Z and finally E using E = kT2 d[ln Z]/dT
Is this correct ?
 
Last edited:

Similar threads

Replies
2
Views
1K
Replies
2
Views
2K
  • · Replies 7 ·
Replies
7
Views
2K
  • · Replies 1 ·
Replies
1
Views
2K
  • · Replies 2 ·
Replies
2
Views
3K
Replies
3
Views
6K
  • · Replies 5 ·
Replies
5
Views
2K
Replies
2
Views
5K
  • · Replies 1 ·
Replies
1
Views
2K
Replies
11
Views
3K