Understanding Finite Element Method: Diagonal Values and Calculating K Matrix

Click For Summary

Homework Help Overview

The discussion revolves around the Finite Element Method, specifically focusing on understanding diagonal values and calculating the stiffness matrix (K matrix). Participants express confusion regarding specific values and their relationships within the matrix, as well as the representation of these values in the provided images.

Discussion Character

  • Exploratory, Assumption checking, Problem interpretation

Approaches and Questions Raised

  • The original poster attempts to clarify how to sum diagonal values and derive specific matrix entries. Some participants question the rationale behind the values presented in the images and whether the provided solution is accurate. Others express confusion about the structure of the matrix and the reasoning for its representation.

Discussion Status

The discussion is ongoing, with participants seeking clarification and assistance. There is a mix of attempts to understand the problem and expressions of frustration regarding the format of the original post. Some guidance has been offered regarding the need for clearer communication, but no consensus has been reached on the specific mathematical issues at hand.

Contextual Notes

Participants note the challenge of interpreting images instead of text, which has been a recurring issue in previous threads. There is an acknowledgment of the complexity of the question, which may contribute to the difficulty in providing assistance.

fonseh
Messages
521
Reaction score
2

Homework Statement


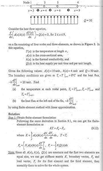
In the third picture , I don't understand the circled part , add up the values in the diagonal .. How to do that ?

I don't understand how to get k13 , k14 , k21 , k22 , k33, k41 and k42 .

Homework Equations

The Attempt at a Solution


As we see in the second picture , the k21 and k22 = -20 and 20 respectively , why in the third picture , the k1 and k22 become -20 and 40 ?
Is the solution provided wrong ?
 

Attachments

  • 651.jpg
    651.jpg
    36.7 KB · Views: 418
  • 652.jpg
    652.jpg
    30.3 KB · Views: 439
  • 653.jpg
    653.jpg
    28.9 KB · Views: 451
  • 654.jpg
    654.jpg
    24.7 KB · Views: 383
  • 655.jpg
    655.jpg
    46.9 KB · Views: 421
Physics news on Phys.org
I tried add up 20, 40, 100/3, and 40/3 , i get 230/3 , none of the number in the matrix is 230/3!
 
Can anyone help ?
 
why there's 3 boxes ? Why don't the author directly put it into the matrix as k11 , k12 , k21 , k22 , k33 , k34 , k43 and k44 only ?
 
fonseh said:
Can anyone help ?

No, I doubt that anyone is willing to help you. In many other threads you have been advised, over and over and over again, not to just post images, but you consistently ignore this advice. Now you see the consequences.
 
  • Like
Likes   Reactions: fonseh
Ray Vickson said:
No, I doubt that anyone is willing to help you. In many other threads you have been advised, over and over and over again, not to just post images, but you consistently ignore this advice. Now you see the consequences.
I already highlighted the part i don't understand . This question is rather long . It's difficult to simplify it and type it out . Sorry for the trouble caused
 
Ray Vickson said:
No, I doubt that anyone is willing to help you. In many other threads you have been advised, over and over and over again, not to just post images, but you consistently ignore this advice. Now you see the consequences.
I already highlighted the part i don't understand . This question is rather long . It's difficult to simplify it and type it out . Sorry for the trouble caused
 

Similar threads

  • · Replies 0 ·
Replies
0
Views
1K
  • · Replies 4 ·
Replies
4
Views
4K
Replies
1
Views
2K
  • · Replies 4 ·
Replies
4
Views
2K
  • · Replies 9 ·
Replies
9
Views
2K
  • · Replies 2 ·
Replies
2
Views
2K
Replies
4
Views
2K
Replies
10
Views
2K
  • · Replies 6 ·
Replies
6
Views
2K
Replies
2
Views
1K