Understanding Force and Mass in Engineering Thermodynamics

  • Thread starter Thread starter barbaadr
  • Start date Start date
  • Tags Tags
    Force Mass
Click For Summary
SUMMARY

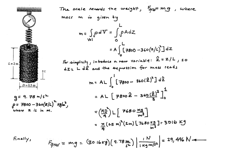
The discussion focuses on solving for the position variable (z) in the context of force (F) and mass in engineering thermodynamics, specifically using the equation F = [7800 - 360*(z/2)] * [π*(0.25^2)] * [9.78]. Participants emphasize the necessity of calculus to derive the mass of a cylinder by treating it as composed of infinitesimally thin disks. The integration of these disks is essential to calculate the total mass accurately.

PREREQUISITES
  • Understanding of basic thermodynamics principles
  • Familiarity with calculus, particularly integration
  • Knowledge of force and mass relationships in physics
  • Experience with mathematical modeling of physical systems
NEXT STEPS
  • Study the concept of integration in calculus
  • Learn how to model physical systems using differential equations
  • Explore the fundamentals of mass distribution in cylindrical objects
  • Review engineering thermodynamics principles from "Fundamentals of Engineering Thermodynamics"
USEFUL FOR

Engineering students, thermodynamics practitioners, and anyone involved in mechanical design or analysis of cylindrical structures will benefit from this discussion.

barbaadr
Messages
1
Reaction score
0
Hello All,

This problem comes from the book: Fundamentals of Engineering Thermodynamic.

I actually have the answer attached, but I am looking for some help understanding it.

From a non-calculus perspective, I can put the equation into this form with the position (z) left as a variable.

F = [ 7800 - 360*(z/2) ] * [[tex]\pi[/tex]*(0.25^2)] * [9.78]

But I am having real trouble understanding how to solve for z.

Thanks in advance.
 

Attachments

  • Problem.png
    Problem.png
    9.4 KB · Views: 439
  • Figure.png
    Figure.png
    6.6 KB · Views: 392
  • Answer.png
    Answer.png
    31.4 KB · Views: 425
Physics news on Phys.org
barbaadr said:
From a non-calculus perspective, I can put the equation into this form with the position (z) left as a variable.

F = [ 7800 - 360*(z/2) ] * [[tex]\pi[/tex]*(0.25^2)] * [9.78]

But I am having real trouble understanding how to solve for z.
What do you mean 'from a non-calculus perspective'? You need calculus to solve for the mass of the cylinder. You're not solving for z, z is the position along the cylinder.

Hint: Think of the cylinder as composed of disks of thickness dz. What's the mass of each disk? Integrate to get the total mass of the cylinder.
 

Similar threads

Replies
3
Views
2K
  • · Replies 1 ·
Replies
1
Views
2K
  • · Replies 8 ·
Replies
8
Views
2K
Replies
2
Views
3K
Replies
2
Views
2K
  • · Replies 3 ·
Replies
3
Views
2K
  • · Replies 5 ·
Replies
5
Views
2K
  • · Replies 13 ·
Replies
13
Views
3K
  • · Replies 3 ·
Replies
3
Views
2K
  • · Replies 7 ·
Replies
7
Views
2K