Understanding the Integral in a Proof: A Closer Look at the Role of Supp and Chi

  • Context: MHB 
  • Thread starter Thread starter evinda
  • Start date Start date
  • Tags Tags
    Integral
Click For Summary

Discussion Overview

The discussion revolves around understanding a specific integral identity within a proof, particularly focusing on the role of the functions involved, such as the support function and the convolution. The scope includes mathematical reasoning and technical explanation related to integrals in the context of analysis.

Discussion Character

  • Technical explanation
  • Mathematical reasoning

Main Points Raised

  • One participant questions why the integral identity $\int u_j \phi dx= \int (\psi_j \ast u) \phi dx$ holds.
  • Another participant confirms that $\chi(x/j) = 1$ for $|x| < j$ and discusses the implications of choosing $j$ sufficiently large.
  • A third participant elaborates on the conditions under which the integral holds, specifying that if $M > 0$ and $j > M$, then $\phi(x) = 0$ for $|x| \ge j$, leading to the equality of the integrals.
  • The same participant reiterates the steps leading to the conclusion of the integral identity, emphasizing the conditions on $j$ and the support of $\phi$.
  • A later reply indicates understanding of the explanation provided, suggesting clarity on the topic.

Areas of Agreement / Disagreement

Participants generally agree on the conditions under which the integral identity holds, but the initial question indicates some uncertainty regarding the reasoning behind it. No competing views are presented, and the discussion appears to be resolved in terms of understanding the integral identity.

Contextual Notes

The discussion relies on specific assumptions about the functions involved, such as the support of $\phi$ and the behavior of $\chi(x/j)$, which are not fully explored in terms of their broader implications or definitions.

evinda
Gold Member
MHB
Messages
3,741
Reaction score
0
Hello! (Wave)

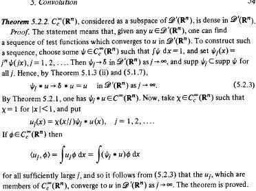
I am looking at the following proof:View attachment 5454

Why does it hold that $\int u_j \phi dx= \int (\psi_j \ast u) \phi dx$ ?
 

Attachments

  • conc.JPG
    conc.JPG
    24.5 KB · Views: 123
Physics news on Phys.org
We have that $X(\frac{x}{j})=1$ for $|x|<j$, right? And since we pick $j$ sufficiently large, it's like if we had $-\infty<j<+\infty$ and so we have $X(\frac{x}{j})=1$ for all the values of $x$, right?
 
You are correct that $\chi(x/j) = 1$ for $|x| < j$. To proceed, let $M > 0$ such that $\operatorname{supp}(\phi)\subset [-M,M]^n$; choose $j > M$. Then $\phi(x) = 0$ for all $|x| \ge j$. Thus, for all $j > M$,

$$\int u_j\phi\, dx = \int \chi\left(\frac{x}{j}\right)(\psi_j * u)\phi(x)\ dx = \int_{|x| < j} \chi\left(\frac{x}{j}\right)(\psi_j * u)\phi(x)\, dx = \int_{|x| < j} (\psi_j * u)\phi\, dx = \int (\psi_j * u)\phi\, dx$$
 
Euge said:
You are correct that $\chi(x/j) = 1$ for $|x| < j$. To proceed, let $M > 0$ such that $\operatorname{supp}(\phi)\subset [-M,M]^n$; choose $j > M$. Then $\phi(x) = 0$ for all $|x| \ge j$. Thus, for all $j > M$,

$$\int u_j\phi\, dx = \int \chi\left(\frac{x}{j}\right)(\psi_j * u)\phi(x)\ dx = \int_{|x| < j} \chi\left(\frac{x}{j}\right)(\psi_j * u)\phi(x)\, dx = \int_{|x| < j} (\psi_j * u)\phi\, dx = \int (\psi_j * u)\phi\, dx$$

I got it... Thanks a lot! (Smirk)
 

Similar threads

  • · Replies 2 ·
Replies
2
Views
3K
  • · Replies 2 ·
Replies
2
Views
2K
Replies
2
Views
2K
  • · Replies 3 ·
Replies
3
Views
2K
  • · Replies 2 ·
Replies
2
Views
2K
  • · Replies 2 ·
Replies
2
Views
2K
Replies
2
Views
2K
  • · Replies 6 ·
Replies
6
Views
3K
  • · Replies 3 ·
Replies
3
Views
2K
  • · Replies 2 ·
Replies
2
Views
3K