Using method of sections to solve for truss systems

  • Context: Engineering 
  • Thread starter Thread starter user12323567
  • Start date Start date
  • Tags Tags
    Method Systems Truss
Click For Summary

Discussion Overview

The discussion revolves around the application of the method of sections to solve for forces in a truss system, specifically focusing on the calculation of moments about points A and C. Participants explore the proper distances and components to consider when analyzing forces in the truss.

Discussion Character

  • Technical explanation
  • Debate/contested
  • Mathematical reasoning

Main Points Raised

  • One participant questions the use of a 3-meter distance for forces Fhc and Fhg when they believe it should be 1.5 meters, seeking clarification on which components are considered in the moment calculations.
  • Another participant provides a calculation indicating that the perpendicular distance from the line of action of Fhc to point A is 1.66 meters, derived from the angle of 33.69° with respect to AC.
  • There is a repeated inquiry about the rationale for using a distance of 3 meters instead of 1 meter for the vertical perpendicular distance to Fhc, emphasizing the need for clarity on this point.
  • One participant argues against breaking forces into x and y components, suggesting that the forces should be considered in alignment with the links of the truss.
  • Another participant mentions the necessity of considering the additional moment induced by the vertical component of Fhc when calculating the actual force.
  • Links to external resources are provided for further reference on the method of sections and truss analysis.

Areas of Agreement / Disagreement

Participants express differing views on the appropriate distances and components to consider in the moment calculations, indicating that multiple competing perspectives remain unresolved.

Contextual Notes

There are unresolved assumptions regarding the definitions of distances and angles used in the calculations, as well as the appropriateness of considering force components in the analysis.

user12323567
Messages
20
Reaction score
1
Homework Statement
Determine the force in members BC, HC, and HG. State if these members are in tension or compression.
Relevant Equations
Rigid-body assumption
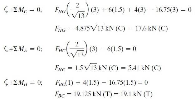
Taking the moments about points A and C, why is a distance of 3 meters used in Fhc and Fhg? Isn’t it supposed to be 1.5 meters for both?
I acknowledge that Fhc and Fhg have x and y components, but were we considering the horizontal or vertical component (or both components) of either Fhc and Fhg in taking moments about points A and C respectively?
6-42.jpg
photo_2022-04-07_16-06-31.jpg
SOLUTIONS.jpg
 
Physics news on Phys.org
The perpendicular distance between the extended line of action of Fhc and the pivot A is 1.66 m.
That line of action is at an angle of 33.69° respect to AC.
The summation of moments about A in the provided response shows the equivalent to 1.66 multiplied by Fhc, as well as the load of 6 KN properly multiplying its perpendicular distance to A of 1.5 m.
 
Lnewqban said:
The perpendicular distance between the extended line of action of Fhc and the pivot A is 1.66 m.
That line of action is at an angle of 33.69° respect to AC.
The summation of moments about A in the provided response shows the equivalent to 1.66 multiplied by Fhc, as well as the load of 6 KN properly multiplying its perpendicular distance to A of 1.5 m.
Yes, you take 2/sqrt(13) and multiply it by 3 to get said 1.66 m, I am asking why you are multiplying by 3 instead of 1 (the vertical perpendicular distance between A and Fhc)
 
user12323567 said:
Yes, you take 2/sqrt(13) and multiply it by 3 to get said 1.66 m, I am asking why you are multiplying by 3 instead of 1 (the vertical perpendicular distance between A and Fhc)
Since Fhc is at an angle, do we consider both its components when we are looking at the moment about point A? i.e. Fhc(1.5)sin(gamma) - Fhc(1)cos(gamma)? Gamma is the angle of Fhc
 
How is that vertical distance perpendicular to Fhc?
Please, take a step back and see how the forces aligned with the links try to rotate the armature about pivot A.
There is no need to break any of those forces into its x and y components.

You have two equivalent triangles to work with: ACH and ABH.
Because each node in the structure is a pivot, those internal forces of the links can only exist in alignment with them.
 
Last edited:
Lnewqban said:
How is that vertical distance perpendicular to Fhc?
Please, take a step back and see how the forces aligned with the links try to rotate the armature about pivot A.
There is no need to break any of those forces into its x and y components.

You have two equivalent triangles to work with: ACH and ABH.
Because each node in the structure is a pivot, those internal forces of the links can only exist in alignment with them.
If you consider the horizontal component of Fhc, you have a vertical perpendicular distance of 1. This would be much easier for me to understand if you explained why we have to use a distance of 3 meters when Fhc is not 3 metres away from A, please explain this.
 
Yes, give me some time, please, and I will get back to you.
Note that, in that case, you also have to consider the additional moment that the vertical component of Fhc induces on A.
Then, the problem asks for the actual Fhc; therefore, you still have to use trigonometry to calculate that value.
 

Similar threads

  • · Replies 7 ·
Replies
7
Views
4K
  • · Replies 2 ·
Replies
2
Views
3K
  • · Replies 1 ·
Replies
1
Views
2K
  • · Replies 1 ·
Replies
1
Views
3K
  • · Replies 2 ·
Replies
2
Views
2K
  • · Replies 3 ·
Replies
3
Views
3K
  • · Replies 2 ·
Replies
2
Views
3K
  • · Replies 4 ·
Replies
4
Views
3K
Replies
3
Views
5K
  • · Replies 1 ·
Replies
1
Views
9K