Using the Frobenius method on a 2D Laplace

Click For Summary

Homework Help Overview

The discussion revolves around applying the Frobenius method to solve a 2D Laplace equation. Participants are addressing issues related to notation and the proper setup of the differential equation.

Discussion Character

  • Mixed

Approaches and Questions Raised

  • Participants discuss the confusion arising from using the symbol ##\ell## in multiple contexts and suggest using a different summation variable. There are hints provided to simplify the equation and guidance on plugging in the Frobenius ansatz into the ordinary differential equation (ODE) to compare coefficients.

Discussion Status

Some participants have provided hints and suggestions for clarifying the problem setup. There is acknowledgment of confusion regarding notation, and one participant reports successfully resolving their issues after revisiting the problem.

Contextual Notes

There is mention of imposed constraints on notation and the need for clarity in variable representation, which may affect the understanding of the problem.

jkthejetplane
Messages
29
Reaction score
4
Homework Statement
I have some supplemental hmwk that I need to use a method I am not familiar with and I am not sure I have applied it correctly bc if i solve for the missing variable i will not achieve the right answer.
Relevant Equations
Frobenius method of solving ode
1631943519904.png

1631943583784.png
 

Attachments

Physics news on Phys.org
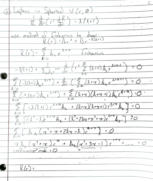
The problem is you're using the symbol ##\ell## in two different ways: (1) as part of the constant that appears on the righthand side of the differential equation and (2) as the index of the summation.
 
  • Haha
Likes   Reactions: docnet
Hint:
$$\frac{\mathrm{d}}{\mathrm{d} r} \left (r^2 \frac{\mathrm{d} R}{\mathrm{d} r} \right)=r \frac{\mathrm{d}^2}{\mathrm{d} r^2} (r R)$$
helps to make the equation simpler.

Then you have to choose another summation variable in your Frobenius ansatz than ##l##, e.g.,
$$R(r)=\sum_{j=0}^{\infty} a_j r^{j+\lambda},$$
and you can assume ##a_0 \neq 0## for uniqueness. Then plug this ansatz into your ODE and determine first ##\lambda## and then the ##a_j## by comparing the coefficients in the generalized power series on both sides of your equation.
 
  • Like
Likes   Reactions: sysprog and Delta2
vanhees71 said:
Hint:
$$\frac{\mathrm{d}}{\mathrm{d} r} \left (r^2 \frac{\mathrm{d} R}{\mathrm{d} r} \right)=r \frac{\mathrm{d}^2}{\mathrm{d} r^2} (r R)$$
helps to make the equation simpler.

Then you have to choose another summation variable in your Frobenius ansatz than ##l##, e.g.,
$$R(r)=\sum_{j=0}^{\infty} a_j r^{j+\lambda},$$
and you can assume ##a_0 \neq 0## for uniqueness. Then plug this ansatz into your ODE and determine first ##\lambda## and then the ##a_j## by comparing the coefficients in the generalized power series on both sides of your equation.
Ok so as far as your hint goes, I should be using that whole expression by getting it equal to zero so I have a y" term or that I should only use the right side equal to 0?
 
vela said:
The problem is you're using the symbol ##\ell## in two different ways: (1) as part of the constant that appears on the righthand side of the differential equation and (2) as the index of the summation.
Oh yeah i see that now. I got caught up in our notation and other notation when looking up the method. I'll try again using the standard n
 
jkthejetplane said:
Ok so as far as your hint goes, I should be using that whole expression by getting it equal to zero so I have a y" term or that I should only use the right side equal to 0?
Just plug in the ansatz into the equation and compare the coefficients of the series. You'll get an equation for ##\lambda## and then a recursion relation for the ##a_j##.
 
  • Like
Likes   Reactions: sysprog
Update: I got it all correct after just trying again without the confusion of l terms. Did it a couple ways to make sure. Thank you
 
  • Like
Likes   Reactions: vanhees71

Similar threads

Replies
1
Views
2K
  • · Replies 5 ·
Replies
5
Views
2K
Replies
11
Views
3K
  • · Replies 4 ·
Replies
4
Views
1K
  • · Replies 7 ·
Replies
7
Views
2K
  • · Replies 4 ·
Replies
4
Views
2K
  • · Replies 6 ·
Replies
6
Views
4K
  • · Replies 19 ·
Replies
19
Views
4K
Replies
1
Views
2K
Replies
10
Views
4K