Vector field equation - Find work of the field

Click For Summary

Homework Help Overview

The discussion revolves around a vector field equation, specifically focusing on finding the potential equation and calculating the work done by the field along a specified path.

Discussion Character

  • Exploratory, Assumption checking

Approaches and Questions Raised

  • The original poster attempts to relate the parameterization of the path to the components of the vector field, questioning if substituting \( t \) into the position vector \( r \) will yield the correct start and end points for the work calculation.

Discussion Status

Some participants affirm the original poster's approach, indicating that they believe the method is correct. However, there is a sense of uncertainty expressed by the original poster regarding the simplicity of the problem and the scoring associated with it.

Contextual Notes

The problem is part of a test, which may impose specific constraints or expectations on the solution process. The original poster expresses confusion about the perceived simplicity of the question and the points awarded for it.

asi123
Messages
254
Reaction score
0

Homework Statement



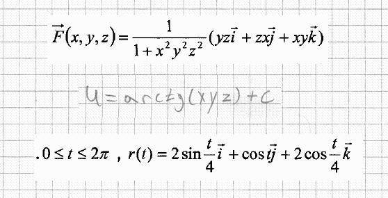
I have this vector field equation, the first part of the question is to find the potential equation for it, I found it.
The second part of the question is to find the work of the field through this path.
My idea is to plug t in the r equation, because I'm not sure but I think (x,y,z)=(component of r), is that right? and that way I find the start point of the path and the end point, plug it into the potential equation and that's it, is that right?

Homework Equations





The Attempt at a Solution

 

Attachments

  • scan0001.jpg
    scan0001.jpg
    28.2 KB · Views: 407
Physics news on Phys.org


Sure, that's it.
 


Dick said:
Sure, that's it.

10x, it seemed so easy, and they gave 10 points for it (it's a question from a test), so I got confuse...
 


Well done! I didn't have to help much, did I? I like that.
 

Similar threads

  • · Replies 2 ·
Replies
2
Views
4K
  • · Replies 5 ·
Replies
5
Views
2K
  • · Replies 23 ·
Replies
23
Views
3K
  • · Replies 21 ·
Replies
21
Views
4K
  • · Replies 5 ·
Replies
5
Views
2K
  • · Replies 8 ·
Replies
8
Views
2K
  • · Replies 2 ·
Replies
2
Views
2K
  • · Replies 3 ·
Replies
3
Views
2K
  • · Replies 2 ·
Replies
2
Views
2K
  • · Replies 4 ·
Replies
4
Views
2K