Volume of Solid Revolving Region About Line: 32pi/5

  • Context: MHB 
  • Thread starter Thread starter windowsXLC
  • Start date Start date
  • Tags Tags
    Line Solid Volume
Click For Summary
SUMMARY

The volume of the solid revolving region bounded above by the line y = 4, below by the curve y = 4 - x², and on the right by the line x = 2, when revolved about the line y = 4, is definitively calculated as 32π/5. The correct integration method involves integrating from 0 to 2 using the formula π[(4)² - (4 - x²)²]. An incorrect approach that revolved the area about the x-axis yielded an erroneous result of 224π/15.

PREREQUISITES
  • Understanding of solid of revolution concepts
  • Familiarity with integration techniques
  • Knowledge of the area between curves
  • Proficiency in using π in volume calculations
NEXT STEPS
  • Study the method of calculating volumes of solids of revolution
  • Learn about the washer method in integration
  • Explore applications of integration in finding areas between curves
  • Review examples of revolving regions about different axes
USEFUL FOR

Mathematics students, educators, and anyone involved in calculus, particularly those focusing on volume calculations and solid geometry.

windowsXLC
Messages
1
Reaction score
0
View attachment 8887

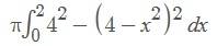
Find the region bounded above by the line y = 4, below by the curve y = 4 - x², and on the right by the line x = 2, about the line y = 4.

The Correct answer was: 32pi/5

I integrated from 0 to 2 of pi [(4)² - (4 - x²)²]

View attachment 8889

and got the answer of 224pi/15.

I tried every other possible ways and still didn't get the answer of 32pi/5.
 

Attachments

  • 1.jpg
    1.jpg
    14.9 KB · Views: 139
  • 11.jpg
    11.jpg
    1.9 KB · Views: 139
  • 11.jpg
    11.jpg
    2 KB · Views: 176
Physics news on Phys.org
Your result would indeed be correct if you were revolving the bounded area about the \(x\)-axis, but you are to revolve the area about the line \(y=4\). Try that, and you'll get the required result. :)
 

Similar threads

  • · Replies 6 ·
Replies
6
Views
2K
  • · Replies 2 ·
Replies
2
Views
2K
  • · Replies 20 ·
Replies
20
Views
4K
Replies
4
Views
2K
  • · Replies 5 ·
Replies
5
Views
3K
  • · Replies 2 ·
Replies
2
Views
2K
Replies
5
Views
3K
  • · Replies 1 ·
Replies
1
Views
2K
  • · Replies 2 ·
Replies
2
Views
2K
  • · Replies 9 ·
Replies
9
Views
2K