Volumetric Flow Rate through a Venturi Meter

Click For Summary
SUMMARY

The discussion centers on calculating the volumetric flow rate through a Venturi meter using the Bernoulli Equation. The user measures a pressure differential of 222.2 Pa with an MPX5010 DP Sensor and calculates the cross-sectional areas of the tube sections as A1 = 0.000415 m² and A2 = 0.0000283 m². The resulting volumetric flow rate is computed to be 0.539783 L/s. The user identifies potential issues with achieving laminar flow, suggesting a redesign of the tube to improve measurement accuracy.

PREREQUISITES
  • Understanding of the Bernoulli Equation and its application in fluid dynamics
  • Familiarity with Venturi meter design and operation
  • Knowledge of pressure differential measurement using sensors like the MPX5010 DP Sensor
  • Basic principles of fluid flow, including laminar and turbulent flow characteristics
NEXT STEPS
  • Research the impact of laminar flow on Venturi meter accuracy
  • Explore advanced fluid dynamics concepts related to pressure differential measurement
  • Investigate alternative designs for Venturi meters to optimize flow measurement
  • Learn about calibration techniques for pressure sensors in fluid measurement applications
USEFUL FOR

Engineers, fluid dynamics researchers, and anyone involved in the design and optimization of flow measurement devices, particularly those using Venturi meters.

Teeg
Messages
2
Reaction score
0
TL;DR
TL DR: Am I using correct formula for calculating Volumetric Flow rate through Venturi Tube
Hi, I have designed a simple Venturi meter to measure pressure differential across to section of the pipe as pictured. However in calculations I am not sure if I am doing something wrong. I am trying to calculate Volumetric flow rate in L/s.
vjat1hca8iu51.png

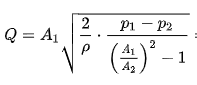
I am using Bernoulli Equation of the Venturi meter as above

From my MPX5010 DP Sensor I am getting a pressure differential of 222.2 pa.

A1 is cross sectional area of first part of the tube = Pi * R^2 = 0.000415 M^2

A2 = Pi* R^2 = 0.0000283 M^2

P = Density of air = 1.225

P1-P2 = DeltaP = 222.2 Pa

Plugging all into the equation above I am getting a volumetric flowrate = 0.000539783 M^3/s

Multiply by 1000 = 0.539783 L/s
Is this correct, is the formula correct ? I have seen multiple different formulas stipulated online.
Thank you

2rp2qi789iu51.png
 
Engineering news on Phys.org
Formula is as it is shown here . What others did you find ?
When I do the calculation I get your result -- but with less digits.
 
  • Like
Likes   Reactions: Teeg and Lnewqban
Thanks for your response. Looking further into the topic I think I am not achieving laminar flow and this is my problem, I am going to re design the tube to attempt to achieve laminar flow through the device.
 

Similar threads

  • · Replies 19 ·
Replies
19
Views
4K
  • · Replies 8 ·
Replies
8
Views
4K
Replies
3
Views
3K
Replies
1
Views
2K
  • · Replies 12 ·
Replies
12
Views
3K
  • · Replies 4 ·
Replies
4
Views
738
  • · Replies 4 ·
Replies
4
Views
2K
  • · Replies 10 ·
Replies
10
Views
3K
Replies
8
Views
2K
Replies
11
Views
2K