Wave-function solution of a rectangular-well potential

  • Context: Graduate 
  • Thread starter Thread starter Happiness
  • Start date Start date
  • Tags Tags
    Potential
Click For Summary

Discussion Overview

The discussion revolves around the interpretation of a solution related to a rectangular-well potential in quantum mechanics, specifically focusing on the notation used in the equations presented.

Discussion Character

  • Debate/contested

Main Points Raised

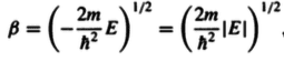
  • One participant questions the correctness of the notation in the solution, suggesting that ##x## should be replaced by a constant like ##\beta## since ##E## is constant and not dependent on ##x##.
  • Multiple participants clarify that the symbol in question is not an x but the Greek letter kappa.
  • One participant expresses difficulty in distinguishing between the symbols due to the typeface used.
  • Another participant comments on the poor quality of the typeface, noting that it makes the kappa difficult to recognize.
  • One participant humorously suggests that the symbol resembles the Hebrew letter aleph instead of kappa.

Areas of Agreement / Disagreement

Participants generally agree that the symbol is not an x, but there is disagreement regarding its clarity and the appropriateness of the typeface used.

Contextual Notes

The discussion highlights potential issues with notation clarity and the impact of typeface on symbol recognition, but does not resolve the correctness of the initial claim regarding the solution.

Happiness
Messages
686
Reaction score
30
Is the solution given below wrong?
Screen Shot 2015-12-13 at 8.29.04 am.png

Screen Shot 2015-12-13 at 8.29.15 am.png


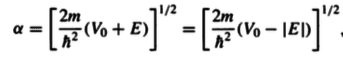
I believe the ##x## in (25.2) is wrong; it should be replaced by a constant, such as ##\beta##, because ##E## is a constant and not dependent on ##x##.

Should the correct answer be
even solution:
Screen Shot 2015-12-13 at 8.17.51 am.png

odd solution:
Screen Shot 2015-12-13 at 8.18.02 am.png

where
Screen Shot 2015-12-13 at 8.18.24 am.png

Screen Shot 2015-12-13 at 8.18.43 am.png
 
Physics news on Phys.org
That is not an x but the greek letter kappa.
 
  • Like
Likes   Reactions: Happiness
PietKuip said:
That is not an x but the greek letter kappa.

I could hardly tell the difference!
 
That is a terrible typeface. I've never seen a kappa that looks like that! ?:)
 
PietKuip said:
That is not an x but the greek letter kappa.
To me it looks much more like the Hebrew letter aleph...
 

Similar threads

Replies
3
Views
3K
  • · Replies 10 ·
Replies
10
Views
3K
  • · Replies 3 ·
Replies
3
Views
1K
  • · Replies 9 ·
Replies
9
Views
2K
  • · Replies 9 ·
Replies
9
Views
2K
  • · Replies 12 ·
Replies
12
Views
4K
  • · Replies 5 ·
Replies
5
Views
1K
  • · Replies 10 ·
Replies
10
Views
2K
  • · Replies 1 ·
Replies
1
Views
1K
  • · Replies 1 ·
Replies
1
Views
1K