What are the global symmetries before and after symmetry breaking?

Click For Summary
SUMMARY

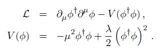
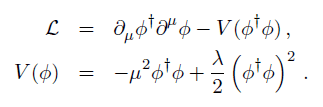
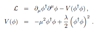
The global symmetries of a Lagrangian remain unchanged before and after spontaneous symmetry breaking, specifically for a doublet of scalar fields. The Lagrangian is invariant under the global U(1) transformation, represented as \(\phi \to e^{i \theta} \phi\), and under the global SU(2) transformation, expressed as \(\phi \to e^{i \theta^{a} T_{a}}\phi\). Therefore, the global symmetry group of the Lagrangian \(\mathcal{L}\) is consistently SU(2) × U(1) throughout the process of symmetry breaking.

PREREQUISITES
  • Understanding of Lagrangian mechanics
  • Familiarity with group theory, specifically SU(2) and U(1) transformations
  • Knowledge of spontaneous symmetry breaking in quantum field theory
  • Basic concepts of scalar fields in particle physics
NEXT STEPS
  • Research the implications of spontaneous symmetry breaking in quantum field theory
  • Study the role of global symmetries in particle physics models
  • Explore the mathematical framework of group theory as it applies to physics
  • Investigate the physical consequences of the SU(2) × U(1) symmetry in the Standard Model
USEFUL FOR

This discussion is beneficial for theoretical physicists, graduate students in particle physics, and researchers focusing on quantum field theory and symmetry principles.

wormwoodsilver101
Messages
3
Reaction score
0
TL;DR
What are the continuous global symmetries before and after the spontaneous symmetry breaking of doublet of scalar fields? And what is the proof for the symmetry?
1574926947053.png

1574926954900.png
 
Physics news on Phys.org
wormwoodsilver101 said:
Summary:: What are the continuous global symmetries before and after the spontaneous symmetry breaking of doublet of scalar fields? And what is the proof for the symmetry?

View attachment 253399
View attachment 253400
The global symmetries of a Lagrangian DON’T change “after the spontaneous symmetry breaking”. The Lagrangian you wrote is invariant under the global U(1) transformation [itex]\phi \to e^{i \theta} \phi[/itex]. It is also invartiant under the global SU(2) transformation [itex]\phi \to e^{i \theta^{a} T_{a}}\phi[/itex]. So, “before and after the spontaneous symmetry breaking” the global symmetry group of [itex]\mathcal{L}[/itex] is always [itex]SU(2) \times U(1)[/itex].
 
  • Like
Likes   Reactions: vanhees71 and wormwoodsilver101

Similar threads

Replies
4
Views
4K
  • · Replies 34 ·
2
Replies
34
Views
5K
  • · Replies 2 ·
Replies
2
Views
2K
  • · Replies 4 ·
Replies
4
Views
3K
  • · Replies 1 ·
Replies
1
Views
3K
  • · Replies 3 ·
Replies
3
Views
2K
  • · Replies 16 ·
Replies
16
Views
4K
  • · Replies 9 ·
Replies
9
Views
4K
Replies
2
Views
2K
  • · Replies 11 ·
Replies
11
Views
3K