What exactly does the Work-Energy theorem say?

Click For Summary

Homework Help Overview

The discussion revolves around the Work-Energy theorem in physics, with participants exploring its definitions, equations, and implications. The original poster presents two equations related to the theorem and questions the correct terminology regarding external work. The conversation touches on the distinctions between conservative and non-conservative forces and their roles in the theorem.

Discussion Character

  • Exploratory, Conceptual clarification, Assumption checking

Approaches and Questions Raised

  • Participants discuss the definitions of variables in the equations, the context of external versus internal forces, and the conditions under which the Work-Energy theorem applies. There are inquiries about the nature of forces involved and the interpretation of work done in specific scenarios.

Discussion Status

The discussion is active, with various interpretations and clarifications being offered. Some participants provide insights into the equations and their applications, while others express confusion and seek further clarification on the concepts. There is no explicit consensus, but several productive lines of inquiry are being explored.

Contextual Notes

Participants question the assumptions underlying the equations and the definitions of terms used. There is a focus on the relevance of conservative and non-conservative forces in the context of the Work-Energy theorem, as well as the implications of considering different systems.

pkc111
Messages
224
Reaction score
26
Homework Statement
State the work-energy theorem.
Relevant Equations
see below
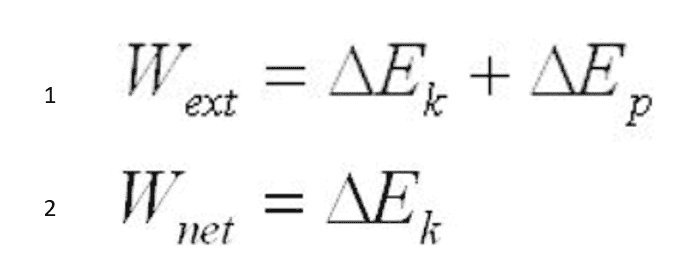
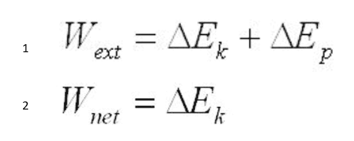
My research leads to 2 slightly different equations. See equations 1 and 2 attached.
Also, for equation 1 should Wext be Wnet ext ?
1621246460103.png
 
Physics news on Phys.org
Hi,
pkc111 said:
Homework Statement:: State the work-energy theorem.
Relevant Equations:: see below

My research leads to 2 slightly different equations. See equations 1 and 2 attached.
Also, for equation 1 should Wext be Wnet ext ?
View attachment 283156
Does your 'research' (any references ?) also have a context explaining what is meant with each of these variables ?

##\ ##
 
W ext = work done by external forces.
Ek = kinetic energy
Ep - potential energy
W net = net work

If you do not know the answer please just say so..thanks.
 
pkc111 said:
If you do not know the answer please just say so..thanks
Point taken :smile:
Remarkable that one can achieve a PhD in physics without knowing the work-energy theorem, isn't it . . . !

I do know, however, the terms and the equations (my question was an in vitation to you to think about what the symbols represent), so I still feel qualified to help.

Both your number 1 and number 2 are good candiates -- as your research shows. Since it's only a label, the homework statement would be better in place in an english class than in physics as far as I'm concerned. The physics point is that one understands what needs to be considered in a particular situation (hence my question about context: what is considered 'the system' determines what is internal and what is external. The presence or absence of of a conservative force field determines if mechanical energy conservation is expressed as nr 1 or as nr 2).

As a physicist I prefer number 1, but I see number 2 popping up quite often as well -- in the implicitly or explicitly mentioned context of the absence of a gravitational field.

The answer to your
pkc111 said:
Also, for equation 1 should Wext be Wnet ext ?
is a lot easier: yes!

##\ ##
 
  • Like
Likes   Reactions: DaveE, Delta2, Hamiltonian and 3 others
BvU said:
Remarkable that one can achieve a PhD in physics without knowing the work-energy theorem, isn't it . . . !
Guess the OP expects us to have a PhD in clairvoyance. Since when do people have to explain their formulas?
Maybe we should add to our rules, that a good counterquestion is often half the way to the answer.
 
  • Like
Likes   Reactions: BvU
it is a very frequent mistake: to take into account only the external forces in the work energy theorem. Actually the notion external\ internal is not relevant here

Perhaps it would be useful to formulate the work energy theorem here.
Assume we have a system of particles ##m_1,\ldots,m_N## with position vectors ##r_1,\ldots,r_N## relative an inertial frame. A net force that the particle ##m_i## experiences is presented as follows
$$F_i-\frac{\partial V}{\partial r_i},\quad V=V(r_1,\ldots,r_N).$$
And $$T=\frac{1}{2}\sum_{i=1}^Nm_i|\dot r_i|^2.$$
Theorem:
$$\frac{d}{dt}(T+V)= \sum_{i=1}^N (F_i,\dot r_i).$$
 
Last edited:
  • Like
Likes   Reactions: Delta2
Thanks for the answers but I am still a bit confused.

Does anybody have a good link to the definition of the work-energy theorem and the conditions under which each equation is valid eg. presence or absence of conservative forces, whether the forces are external or internal? Do all the forces acting have to be conservative for these equations to work or just one of them?

Also just so just to confirm I understand, If I were to raise an apple vertically (1N) 1m with my hand at constant speed then I have done 1J of work on the apple, gravity has done -1J of work and the net work done on the apple is 0J? and if I consider the apple/earth the system, is my hand an external force and the weight an internal force? and does my hand apply a conservative or a nonconservative force?
 
OK so here is my latest attempt, criticism is welcome :)
1621296980436.png

1621300307835.png
 
Last edited:
  • Like
Likes   Reactions: Delta2
again any criticism welcome..
1621300103925.png

1621300544740.png
 
  • #10
What you saying in post #8 and #9 seems mostly correct. Just two things:
  1. Post #8 seems to consider conservative forces as synonym for internal and non conservative as synonym for external. This is not completely correct, we can have a non conservative force that it is internal, for example take two bodies that touch. The friction in the touching area is a non conservative force and it is internal.
  2. We can derive all this by the work energy theorem (##W_{net}=\Delta E_K##) and the definition of potential energy as the work done by the internal (or conservative) forces (##W_{int}=-\Delta E_P##).
 
  • #11
Thanks Delta 2 that's very helpful :)

Just a question
1621303584143.png

So this one always for nonconservative forces or all forces? and the other equation just for conservative forces?
 
  • #12
pkc111 said:
Thanks Delta 2 that's very helpful :)

Just a question
View attachment 283194
So this one always for nonconservative forces or all forces? and the other equation just for conservative forces?
This is for the work of all forces, conservative and non conservative. The other equation is just the definition of potential energy and it is only for conservative forces.
If you wonder how we derive it , here it is:
$$W_{net}=\Delta E_K\Rightarrow W_{net,int}+W_{net,ext}=\Delta E_K\Rightarrow -\Delta E_P+W_{net,ext}=\Delta E_K\Rightarrow W_{net,ext}=\Delta E_K+\Delta E_P$$
 
  • #13
So helpful thank you!
 
  • Like
Likes   Reactions: Delta2
  • #14
pkc111 said:
OK so here is my latest attempt, criticism is welcome :)
View attachment 283180
View attachment 283188
No. Potential energy is not an attribute of a rigid body. In the apple+Earth system, it is a property of the system. This is why for a rigid body we say ##W_{net}=\Delta W_k##. It has nothing to do with whether the work is being done by conservative or non-conservative forces.
 
  • #15
Thanks haruspex :)
 

Similar threads

  • · Replies 28 ·
Replies
28
Views
2K
Replies
8
Views
2K
Replies
18
Views
2K
  • · Replies 58 ·
2
Replies
58
Views
3K
  • · Replies 9 ·
Replies
9
Views
2K
  • · Replies 2 ·
Replies
2
Views
2K
Replies
11
Views
3K
  • · Replies 9 ·
Replies
9
Views
4K
Replies
5
Views
1K
  • · Replies 23 ·
Replies
23
Views
2K