What is the correct collision formula in this scenario?

  • Context: Undergrad 
  • Thread starter Thread starter StarWarsNerd
  • Start date Start date
  • Tags Tags
    Collision Formula
Click For Summary
SUMMARY

The correct collision formula for simulating two-dimensional collisions in a space game involves calculating the final velocities of objects A and B based on their mass, speed, direction, and material properties. The discussion emphasizes the importance of breaking down the final velocities into their x and y components to achieve accurate results. Resources such as MyPhysicsLab provide additional insights into collision dynamics. Proper implementation of these calculations will prevent objects from bouncing incorrectly or getting stuck together.

PREREQUISITES
  • Understanding of basic physics principles, specifically momentum and energy conservation
  • Familiarity with vector mathematics for breaking down velocities into components
  • Knowledge of collision detection algorithms in game development
  • Experience with programming in a game development environment, such as Unity or Unreal Engine
NEXT STEPS
  • Research the physics of elastic and inelastic collisions
  • Learn how to implement collision response algorithms in Unity or Unreal Engine
  • Study the effects of material properties on collision outcomes
  • Explore advanced topics like angular momentum and rotational dynamics in collisions
USEFUL FOR

Game developers, physics simulation enthusiasts, and anyone involved in creating realistic collision mechanics in 2D or 3D environments.

StarWarsNerd
Messages
19
Reaction score
1
I am working on a simple space game, and I am having trouble figuring out how to do collisions correctly; things bounce in the wrong direction or just get stuck together. Here are the things that are given:
  • Direction of objects A + B in degrees
  • Speed of objects A + B in meters per second
  • Mass of objects A + B in kilograms
  • The material of A + B (any properties of that material)
The collision is in two dimensions, and it is not always going to be head on. What is the formula that I need to simulate the objects colliding?

On a related note: how would I calculate if the objects should spin due to the collision?
 
Physics news on Phys.org
robphy said:
Thanks! I had been looking for something like that for days. I'll post back here if I have any other problems.

UPDATE:
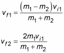
329679.image1.png

if I use this and break the final velocities into their x and y components, would I get the desired result?
 
Last edited:

Similar threads

  • · Replies 9 ·
Replies
9
Views
2K
  • · Replies 13 ·
Replies
13
Views
3K
  • · Replies 1 ·
Replies
1
Views
2K
  • · Replies 9 ·
Replies
9
Views
2K
  • · Replies 2 ·
Replies
2
Views
2K
  • · Replies 6 ·
Replies
6
Views
3K
  • · Replies 14 ·
Replies
14
Views
3K
  • · Replies 1 ·
Replies
1
Views
4K
  • · Replies 2 ·
Replies
2
Views
8K
  • · Replies 9 ·
Replies
9
Views
2K