What is the power factor in a series circuit?

Click For Summary

Homework Help Overview

The discussion revolves around calculating the power factor in a series circuit, specifically examining the relationship between resistance, impedance, and power factor calculations.

Discussion Character

  • Conceptual clarification, Mathematical reasoning, Assumption checking

Approaches and Questions Raised

  • Participants discuss the method of calculating the power factor and question the accuracy of specific values used in the calculations. There is a focus on the derivation of impedance and its relation to the power factor.

Discussion Status

Some participants have provided calculations and expressed uncertainty about the methods used. There is an acknowledgment of correct answers, but also a critique of the approaches taken. Multiple interpretations of the calculations are being explored.

Contextual Notes

Participants are questioning the precision of numerical values and the assumptions behind the calculations, particularly regarding the impedance and its components.

hidemi
Messages
206
Reaction score
36
Homework Statement
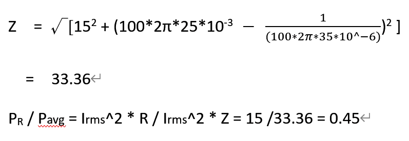
A series circuit consists of a 15-Ω resistor, a 25-mH inductor, and a 35-μF capacitor. If the frequency is 100 Hz the power factor is:

The answer is 0.45
Relevant Equations
PR / Pavg = Irms^2 * R / Irms^2*Z
I calculated in the following and got the correct answer. However, I wonder whether this way is correct or not. Thanks!

PR / Pavg = Irms^2 * R / Irms^2*Z = 15 /33.36 = 0.45
 
Physics news on Phys.org
Hi,

hidemi said:
and got the correct answer
So how did you get the 33.36 ? From 15/0.45 ? Then the answer is per se correct, but 'the way' is not :wink:

And you have me wondering why you type 33.36 and not 33.33 :cool:

##\ ##
 
  • Like
Likes   Reactions: Delta2
BvU said:
Hi,

So how did you get the 33.36 ? From 15/0.45 ? Then the answer is per se correct, but 'the way' is not :wink:(15^2

And you have me wondering why you type 33.36 and not 33.33 :cool:

##\ ##
z=√[15^2 + (100*2π*25*10^-3 - 1/(100*2π*35*10^-6))^2]
BvU said:
Hi,

So how did you get the 33.36 ? From 15/0.45 ? Then the answer is per se correct, but 'the way' is not :wink:

And you have me wondering why you type 33.36 and not 33.33 :cool:

##\ ##
My detailed calculation is as attached.
 

Attachments

  • 螢幕擷取畫面 (59).png
    螢幕擷取畫面 (59).png
    6 KB · Views: 220
  • Like
Likes   Reactions: BvU
Yes the power factor is ##\cos\phi=\frac{R}{Z}##.
 
  • Like
Likes   Reactions: hidemi
Delta2 said:
Yes the power factor is ##\cos\phi=\frac{R}{Z}##.
Ok Thank you, I understand.
 

Similar threads

  • · Replies 13 ·
Replies
13
Views
1K
Replies
10
Views
2K
Replies
13
Views
3K
  • · Replies 1 ·
Replies
1
Views
2K
  • · Replies 1 ·
Replies
1
Views
953
  • · Replies 3 ·
Replies
3
Views
2K
  • · Replies 14 ·
Replies
14
Views
2K
  • · Replies 2 ·
Replies
2
Views
3K
  • · Replies 3 ·
Replies
3
Views
1K
  • · Replies 2 ·
Replies
2
Views
1K