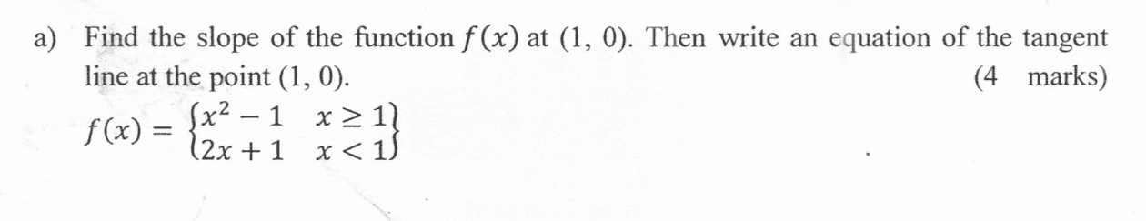
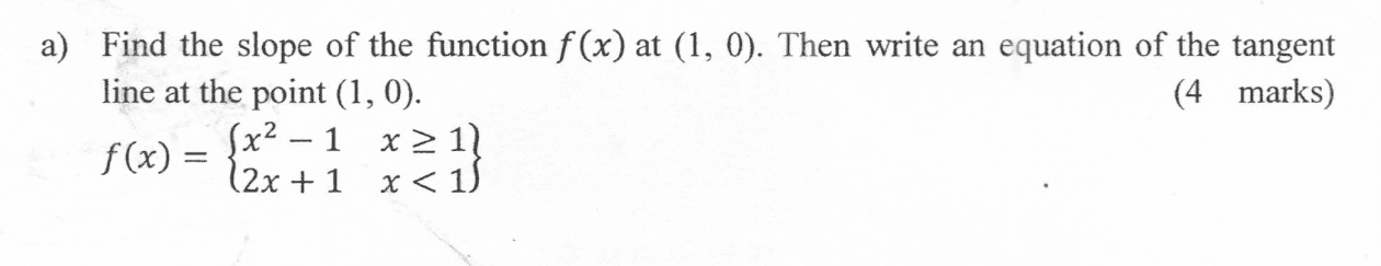
What is the slope of functions at the edge case of $x=1$?

  • Context: MHB 
  • Thread starter Thread starter Sithira
  • Start date Start date
Click For Summary
SUMMARY

The discussion focuses on determining the slope of functions at the edge case of $x=1$. For the function $f(x)=x^2-1$, the slope at $x=1$ is calculated using the derivative, yielding a slope of 2, and the graph includes the point $(1,0)$. In contrast, for the linear function $f(x)=2x+1$, the slope at $x=1$ is 2, but the graph does not include the point $(1,0)$. These examples illustrate how to analyze slopes and points of intersection for different types of functions.

PREREQUISITES
  • Understanding of calculus concepts, specifically derivatives
  • Familiarity with polynomial functions and linear functions
  • Knowledge of graphing techniques for functions
  • Ability to evaluate functions at specific points
NEXT STEPS
  • Study the rules of differentiation for various types of functions
  • Learn how to find slopes of tangent lines using derivatives
  • Explore the concept of continuity and points of intersection in functions
  • Practice graphing polynomial and linear functions to visualize slopes
USEFUL FOR

Students studying calculus, mathematics educators, and anyone interested in understanding the behavior of functions at specific points.

Sithira
Messages
1
Reaction score
0
How can you solve something like this ?

View attachment 6035
 

Attachments

  • MathsHelp.PNG
    MathsHelp.PNG
    32.9 KB · Views: 101
Physics news on Phys.org
Sithira said:
How can you solve something like this ?

Hi Sithira! Welcome to MHB! ;)

We have 2 edge cases here around the point(s) where $x=1$.

Suppose we had $f(x)=x^2-1$.
What would the slope be at $x=1$?
Does its graph include the point $(1,0)$?

As for the second edge case, suppose we had $f(x)=2x+1$.
What would the slope be at $x=1$?
Does its graph include the point $(1,0)$?
 

Similar threads

  • · Replies 53 ·
2
Replies
53
Views
7K
  • · Replies 6 ·
Replies
6
Views
3K
  • · Replies 3 ·
Replies
3
Views
2K
  • · Replies 1 ·
Replies
1
Views
3K
  • · Replies 7 ·
Replies
7
Views
2K
  • · Replies 3 ·
Replies
3
Views
1K
  • · Replies 2 ·
Replies
2
Views
2K
  • · Replies 2 ·
Replies
2
Views
2K
  • · Replies 13 ·
Replies
13
Views
3K
  • · Replies 5 ·
Replies
5
Views
4K