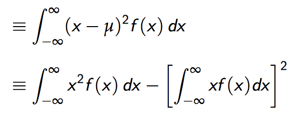
What substitution/manipulation was done here?

  • Context: Undergrad 
  • Thread starter Thread starter MathewsMD
  • Start date Start date
Click For Summary

Discussion Overview

The discussion revolves around a mathematical manipulation involving integrals and substitutions related to the mean (µ) of a probability density function (pdf). Participants are exploring the steps taken to transition between two lines in an integral expression, with a focus on understanding the underlying substitutions or transformations used.

Discussion Character

  • Technical explanation
  • Mathematical reasoning
  • Debate/contested

Main Points Raised

  • One participant expresses confusion over the manipulation from one line to another, suggesting it resembles a u-v substitution but struggles to replicate the result.
  • Another participant states that if µ is the mean and f is the pdf, then µ can be expressed as the integral of xf(x)dx.
  • A different participant suggests expanding (x-µ)² into three integrals and using the definition of µ to simplify the expression.
  • Another participant notes that the integral remains the same for each value of µ when considering limits approaching infinity, questioning whether all necessary information has been provided.
  • One participant asserts that µ is a constant, leading to specific evaluations of integrals involving µ and f(x), indicating that these integrals simplify under certain conditions.

Areas of Agreement / Disagreement

Participants do not appear to reach a consensus on the manipulation or the steps involved, with multiple competing views and approaches presented throughout the discussion.

Contextual Notes

Some participants reference the definition of the mean and the properties of integrals, but the discussion lacks clarity on specific assumptions or definitions that may be necessary for resolving the manipulation in question.

MathewsMD
Messages
430
Reaction score
7
I've attached the image with this post. It looks fairly simply to go from the first line to the second line and almost like a uv substitution, but I tried plugging it in and playing around with the integral and cannot get the exact answer. I really feel like something's just going over my head or that I'm missing a step. Regardless, any help would be great!

Note: mu is the mean.
 

Attachments

  • Screen Shot 2015-06-09 at 1.43.15 PM.png
    Screen Shot 2015-06-09 at 1.43.15 PM.png
    5.7 KB · Views: 523
Physics news on Phys.org
MathewsMD said:
I've attached the image with this post. It looks fairly simply to go from the first line to the second line and almost like a uv substitution, but I tried plugging it in and playing around with the integral and cannot get the exact answer. I really feel like something's just going over my head or that I'm missing a step. Regardless, any help would be great!

Note: mu is the mean.

If ##\mu## is the mean, and ##f## is the pdf, then isn't ##\mu = \int xf(x)dx##?
 
Expand [itex](x-\mu)^2 = x^2-2x\mu+\mu^2[/itex] to get three integrals and use the definition of [itex]\mu[/itex] to get the second term.
 
By infinity limits the integral is the same for each value of ##\mu##. Are you post all informations?
 
Last edited:
[itex]\mu[/itex] is a constant. Therefore [itex]\int_{-\infty}^{\infty}\mu^2f(x)dx=\mu^2\int_{-\infty}^{\infty}f(x)dx=\mu^2[/itex].

Also [itex]\int_{-\infty}^{\infty}\mu xf(x)dx=\mu\int_{-\infty}^{\infty}xf(x)dx=\mu^2[/itex].
 

Similar threads

  • · Replies 5 ·
Replies
5
Views
3K
  • · Replies 5 ·
Replies
5
Views
4K
  • · Replies 6 ·
Replies
6
Views
2K
  • · Replies 10 ·
Replies
10
Views
4K
  • · Replies 7 ·
Replies
7
Views
2K
  • · Replies 2 ·
Replies
2
Views
2K
  • · Replies 4 ·
Replies
4
Views
3K
  • · Replies 1 ·
Replies
1
Views
1K
  • · Replies 4 ·
Replies
4
Views
4K
  • · Replies 24 ·
Replies
24
Views
4K