Where's my mistake? Laplace Transforms

Click For Summary
SUMMARY

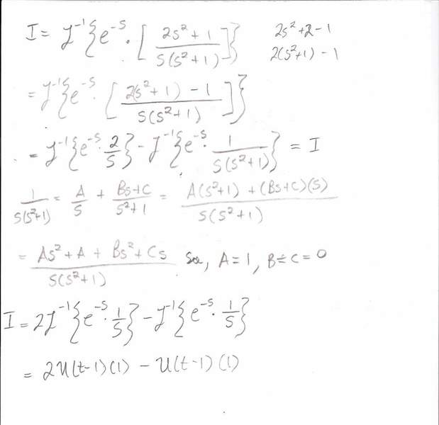
The discussion centers on finding the inverse Laplace transform and identifying errors in partial fraction decomposition. The user initially provided an incorrect decomposition, claiming A=1, B=0, and C=0, which led to an erroneous result. Upon reevaluation, the correct values were determined to be A+B=0, B=-1, and C=0, correcting the approach to the problem. This highlights the importance of accurate partial fractions in solving Laplace transform problems.

PREREQUISITES
  • Understanding of Laplace transforms and their properties
  • Familiarity with partial fraction decomposition techniques
  • Knowledge of common Laplace transform tables
  • Basic algebraic manipulation skills
NEXT STEPS
  • Study the properties of inverse Laplace transforms
  • Practice partial fraction decomposition with various functions
  • Review common Laplace transform tables for accuracy
  • Explore advanced applications of Laplace transforms in differential equations
USEFUL FOR

Students studying engineering mathematics, particularly those focusing on differential equations and control systems, as well as educators teaching Laplace transforms and their applications.

jegues
Messages
1,085
Reaction score
3

Homework Statement



Find the inverse laplace transform. (see figure attached for question as well as my attempt)

Homework Equations





The Attempt at a Solution



I came up with a different answer than the given solution, and I can't figure out where I went wrong.

We are given a table of common Laplace transforms and can refer to them without proof.

I've got a feeling I made a mistake just because of how my partial fractions decomposition came out, it just doesn't make any sense.

Thanks again!

EDIT: I found my mistake in my partial fractions decomposition. A+B = 0, B = -1, C=0
 

Attachments

  • LaplaceQ.jpg
    LaplaceQ.jpg
    20.4 KB · Views: 539
Last edited:
Physics news on Phys.org
Your partial fractions are wrong. You said [itex]A=1, B=C=0[/itex], but plugging those values in, you get,
[tex]\frac{1}{s(s^2+1)} = \frac{A}{s} + \frac{Bs+C}{s^2+1} = \frac{1}{s}[/tex],

which isn't quite true.

Edit: Sorry, I didn't see your edit :).
 

Similar threads

  • · Replies 1 ·
Replies
1
Views
1K
  • · Replies 10 ·
Replies
10
Views
3K
  • · Replies 2 ·
Replies
2
Views
2K
  • · Replies 7 ·
Replies
7
Views
2K
Replies
9
Views
3K
  • · Replies 4 ·
Replies
4
Views
3K
  • · Replies 2 ·
Replies
2
Views
1K
Replies
2
Views
2K
  • · Replies 8 ·
Replies
8
Views
3K
  • · Replies 2 ·
Replies
2
Views
3K