Why the magnetic field doesn't have to describe a circle?

Click For Summary

Homework Help Overview

The discussion revolves around the behavior of the magnetic field generated by an infinite straight wire and the implications of Ampere's Law on the path independence of the line integral of the magnetic field. Participants are exploring the conditions under which the magnetic field does not have to follow a circular path and the mathematical justification for this phenomenon.

Discussion Character

  • Conceptual clarification, Assumption checking, Mathematical reasoning

Approaches and Questions Raised

  • Participants are attempting to understand why the line integral of the magnetic field does not depend on the shape of the path taken, questioning the assumptions related to cylindrical symmetry and the application of Ampere's Law. Some are exploring the implications of the curl theorem and its relation to path independence.

Discussion Status

There is an ongoing exploration of the relationship between the magnetic field and the shape of the integration path. Some participants have suggested deriving the magnetic field from first principles using Ampere's Law, while others are questioning the necessity of this approach. The discussion includes attempts to clarify misunderstandings and explore different interpretations of the integral's behavior.

Contextual Notes

Participants are navigating the constraints of the problem, including the requirement that the chosen path does not intersect the wire and the implications of the curl of the magnetic field being zero in certain regions. There is also mention of specific examples and references to textbooks that may influence the understanding of the topic.

JD_PM
Messages
1,125
Reaction score
156

Homework Statement



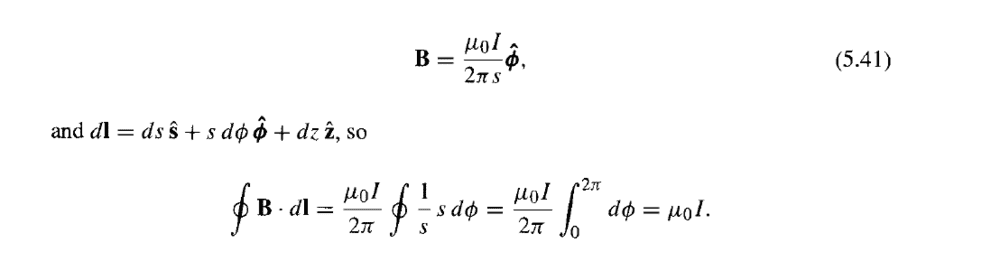
Imagine an infinite straight wire pointing at you (thus, the magnetic field curls counterclockwise from your perspective). Such a magnetic field equals to:

$$B = \frac{\mu I}{2 \pi s} \hat{\phi}$$

I want to calculate the line integral of ##B## around the circular path of radius ##s##

Homework Equations

The Attempt at a Solution



I know the solution:

Captura de pantalla (518).png


But I have been thinking on how could we prove that it does not have to be circle. The line integral over the closed path should always yield the perimeter of a circle for the answer not to change. However, this seems contradictory; I actually want to proof that it does not depend on the path.

What am I missing here?

Thanks
 

Attachments

  • Captura de pantalla (518).png
    Captura de pantalla (518).png
    13.4 KB · Views: 836
Last edited by a moderator:
Physics news on Phys.org
JD_PM said:
But I have been thinking on how could we prove that it does not have to be circle.
Thanks

Ampere's Law states [itex]\oint_{C} \vec H \cdot d \vec l = I_{enclosed}[/itex] for a given path C. This is true for any given path (e.g. circle, ellipse, random shape, etc). Therefore, we can start from this and then derive a formula for B (that way our choice of path will be incorporated into the formula)

JD_PM said:
The line integral over the closed path should always yield the perimeter of a circle for the answer not to change. However, this seems contradictory; I actually want to proof that it does not depend on the path.
Thanks

I believe this confusion arises from the fact that we have defined B using the cylindrical symmetry. We are starting with a pre-defined B with a circular path. However, if we were to start from principles and use Ampere's law, we could define B for any other shaped path and it would yield: [itex]\vec B = \frac{\mu_{0} I}{Perimeter}[/itex]

Then, we substitute it back into the integral, the perimeter in the denominator will cancel with the perimeter term formed by the loop integral.

I hope I have written in a way so as to not confuse you too much. To try and summarise:
- To prove that it does not have to be a circle: Derive a formula for B from Ampere's law, noting that any path can be chosen (as long as it doesn't pass through the wire)
- Substituting this new result into the integral again will yield the result [itex]\mu_{0}I[/itex] as before, which is independent of the path taken.
 
  • Like
Likes   Reactions: JD_PM
The integral form of Ampere’s law is related to the differential form through the curl theorem.

The curl theorem let's you deform the path of integration as long as the curl of the field you are integrating is always zero where the path is. The curl of your B field is zero everywhere except on the wire.
 
  • Like
Likes   Reactions: JD_PM
Master1022 said:
Ampere's Law states [itex]\oint_{C} \vec H \cdot d \vec l = I_{enclosed}[/itex] for a given path C. This is true for any given path (e.g. circle, ellipse, random shape, etc). Therefore, we can start from this and then derive a formula for B (that way our choice of path will be incorporated into the formula)
I believe this confusion arises from the fact that we have defined B using the cylindrical symmetry. We are starting with a pre-defined B with a circular path. However, if we were to start from principles and use Ampere's law, we could define B for any other shaped path and it would yield: [itex]\vec B = \frac{\mu_{0} I}{Perimeter}[/itex]

Then, we substitute it back into the integral, the perimeter in the denominator will cancel with the perimeter term formed by the loop integral.

OK I get what you're aiming at. However, Griffiths writes about the integral of B around a circular path before introducing the Ampere's Law (4th Edition; 3.1; Straight-Line Currents). That is why I thought I should figure out why the path the magnetic field takes around the infinite straight wire doesn't have to be a circle without using Ampere's Law.
 
Orodruin said:
The integral form of Ampere’s law is related to the differential form through the curl theorem.

The curl theorem let's you deform the path of integration as long as the curl of the field you are integrating is always zero where the path is. The curl of your B field is zero everywhere except on the wire.

Is there any other way of justifying the irrelevance of the loop's shape without using Ampere's Law?
 
JD_PM said:
Is there any other way of justifying the irrelevance of the loop's shape without using Ampere's Law?
No. The fact that you can change the integration contour is predicated on the curl of the magnetic field being zero and the differential form of Ampere's law is ##\nabla\times \vec B = \vec J## (up to some constants).

Of course you could take an arbitrary field and see if it has curl zero - but in order to compute the magnetic field at all to verify that it is the magnetic field for your particular situation you will need to apply Ampere's law. The point is that the magnetic field looks the way it does because it needs to satisfy Ampere's law.
 
Orodruin said:
No. The fact that you can change the integration contour is predicated on the curl of the magnetic field being zero and the differential form of Ampere's law is ##\nabla\times \vec B = \vec J## (up to some constants).

Of course you could take an arbitrary field and see if it has curl zero - but in order to compute the magnetic field at all to verify that it is the magnetic field for your particular situation you will need to apply Ampere's law. The point is that the magnetic field looks the way it does because it needs to satisfy Ampere's law.

It seems to me that Griffiths introduced the example of a circle; if we were to calculate the line integral of the magnetic field around a square we would get: ##\frac{2\mu I}{ \pi } ##

Right?
 
Not right. The integral would be the same. In addition, the result of the integral is not a vector.

Edit: It is also the case that ##\hat \phi## has no meaning as an integrated quantity. It is a local basis vector that varies from point to point.
 
Orodruin said:
Not right. The integral would be the same. In addition, the result of the integral is not a vector.

That’s where I get confused. My understanding is that the perimeter should change because we changed the shape...
 
  • #10
JD_PM said:
That’s where I get confused. My understanding is that the perimeter should change because we changed the shape...
The perimeter has nothing to do with it. The curl of the field is zero, therefore the integral does not change when you change the integration curve as long as you go the same number of turns around the wire. This follows directly from the curl theorem.

The point of the integration around the circle is that the integrand becomes constant and you can move everything except ##d\ell## outside of the integral. This is not the case for the square. I suggest that you try to compute the integral along one of the sides of your square manually to see what you get (the full result is 4 times that). For example, you can use the line ##x = x_0##, ##y = t## from ##t = -x_0## to ##+x_0##. Note that you will have to express ##\hat \phi## in Cartesian coordinates to do this.
 
  • Like
Likes   Reactions: JD_PM and DrClaude
  • #11
JD_PM said:
It seems to me that Griffiths introduced the example of a circle; if we were to calculate the line integral of the magnetic field around a square we would get: ##\frac{2\mu I}{ \pi } ##

Right?

For this particular field, that depends only on ##\hat{\phi}## and not on ##\hat{s}##, you can parameterise any curve in terms of ##s, \phi## and the integral reduces to the simple integral for ##d\phi##.
 
  • Like
Likes   Reactions: Orodruin
  • #12
Orodruin said:
The perimeter has nothing to do with it. The curl of the field is zero, therefore the integral does not change when you change the integration curve as long as you go the same number of turns around the wire. This follows directly from the curl theorem.

The point of the integration around the circle is that the integrand becomes constant and you can move everything except ##d\ell## outside of the integral. This is not the case for the square. I suggest that you try to compute the integral along one of the sides of your square manually to see what you get (the full result is 4 times that). For example, you can use the line ##x = x_0##, ##y = t## from ##t = -x_0## to ##+x_0##. Note that you will have to express ##\hat \phi## in Cartesian coordinates to do this.

I see where I made a mistake when talking about the integral. Surely, if we defined the path in terms of other parameters, the form of B would change, while still outputting the same field?

Thanks
 
  • #13
JD_PM said:
That’s where I get confused. My understanding is that the perimeter should change because we changed the shape...
Yes, I apologise for my first post. We can only treat the perimeter as a result if we can take the [itex]\vec B[/itex] out of the integral (which can only happen if [itex]\vec B \cdot d \vec l = 1[/itex]. If they are not parallel, will be other terms to deal with.
 
  • #14
Master1022 said:
Yes, I apologise for my first post. We can only treat the perimeter as a result if we can take the [itex]\vec B[/itex] out of the integral (which can only happen if [itex]\vec B \cdot d \vec l = 1[/itex]. If they are not parallel, will be other terms to deal with.

The field is ##\frac{1}{s} \hat{\phi}##, which is a special case, because the polar line element is ##dl = sd\phi \hat{\phi} + ds\hat{s}##, so the integrand reduces to ##d\phi##.
 
  • #15
PeroK said:
The field is ##\frac{1}{s} \hat{\phi}##, which is a special case, because the polar line element is ##dl = sd\phi \hat{\phi} + ds\hat{s}##, so the integrand reduces to ##d\phi##.

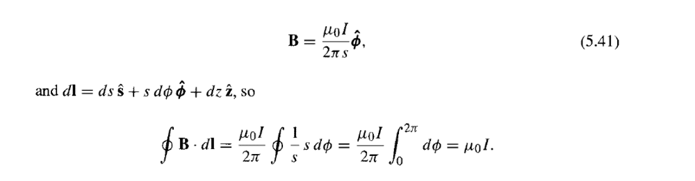
You suggest the following approach. ; using cylindrical coordinates (the current is flowing through the z axis; that is why ##B = \frac{\mu I}{2 \pi s} \hat{\phi}##):

Screenshot (240).png


I get this method.

Now I am thinking about the cartesian coordinates approach and Orodruin's #10th comment
 

Attachments

  • Screenshot (240).png
    Screenshot (240).png
    6.6 KB · Views: 824
  • #16
Master1022 said:
Yes, I apologise for my first post. We can only treat the perimeter as a result if we can take the [itex]\vec B[/itex] out of the integral (which can only happen if [itex]\vec B \cdot d \vec l = 1[/itex]. If they are not parallel, will be other terms to deal with.
We can take B out of the integral in this case; it is always equal to the magnetic field due to an infinite straight wire
 
  • #17
JD_PM said:
You suggest the following approach. ; using cylindrical coordinates (the current is flowing through the z axis; that is why ##B = \frac{\mu I}{2 \pi s} \hat{\phi}##):

View attachment 240297

I get this method.

Now I am thinking about the cartesian coordinates approach and Orodruin's #10th comment

That's it exactly. Why worry about Cartesian coordinates?
 
  • #18
PeroK said:
That's it exactly. Why worry about Cartesian coordinates?

Because I want to understand why the shape of the path doesn't matter in cartesian coordinates.

Once I get something I will post it
 
  • #19
JD_PM said:
Because I want to understand why the shape of the path doesn't matter in cartesian coordinates.
The path integral is coordinate independent. It does not matter in Cartesian coordinates because it does not matter in polar coordinates.
 
  • #20
Here is something to consider. Start from the line integral over a loop, any kind of loop.$$\oint \vec B \cdot d\vec l=\mu_0~I_{enc.}$$Now consider the tangential field averaged over the loop. This is $$\langle B_t \rangle=\frac{\oint \vec B \cdot d\vec l}{\oint d l}=\frac{\mu_0~I_{enc.}}{\oint d l}.$$This says that the averaged tangential field does not change if you distort the shape of the contour loop as long as (a) you enclose the same amount of current and (b) you don't change the length of the perimeter ##\oint dl.##
 
Last edited:
  • Like
Likes   Reactions: hutchphd and JD_PM
  • #21
Orodruin said:
The perimeter has nothing to do with it. The curl of the field is zero, therefore the integral does not change when you change the integration curve as long as you go the same number of turns around the wire. This follows directly from the curl theorem.

I understand your reasoning, which is based on the fact that ##B## is a conservative field (AKA ##\nabla## x ##B = 0## ).
 
  • #22
Orodruin said:
The perimeter has nothing to do with it.

This is still shocking me to be honest. ##\oint_0^L ds## yields the perimeter; ##L## is the length of the path.

Griffiths calculates the line integral around the circular path (as an example) and then derives Ampère's Law (though it flaws, as he says, due to the fact that is based on an infinite straight wire).

Till here everything is fine but then is when it's asserted that "the path doesn't have to be a circle".

After kuruman's comment I changed my initial thought; I am convinced that the perimeter cannot change if we want Ampère's Law to be satisfied. My intuition tells me that what's happening is that you distort the circumference of the loop but the length of the path is still ## 2\pi s##

It's like taking a straight rope of length ##L##; Although I shake it up and down, the length will remain ##L##.

This explanation seems reasonable for me, what do you all think?
 
  • #23
JD_PM said:
... I am convinced that the perimeter cannot change if we want Ampère's Law to be satisfied.
I am not sure what you mean by this. Ampere's law is a law of nature that is always true. The loop-averaged tangential field is always proportional to the enclosed current and inversely proportional to the perimeter.
 
  • #24
kuruman said:
I am not sure what you mean by this. Ampere's law is a law of nature that is always true. The loop-averaged tangential field is always proportional to the enclosed current and inversely proportional to the perimeter.

What I mean is that the perimeter of an Amperian loop doesn't change.
 
  • #25
JD_PM said:
This is still shocking me to be honest. ##\oint_0^L ds## yields the perimeter; ##L## is the length of the path.

Yes, but unless the path is a circle you cannot move everything else out of the integral to get that integral.

Griffiths calculates the line integral around the circular path (as an example) and then derives Ampère's Law (though it flaws, as he says, due to the fact that is based on an infinite straight wire).

Till here everything is fine but then is when it's asserted that "the path doesn't have to be a circle".

After kuruman's comment I changed my initial thought; I am convinced that the perimeter cannot change if we want Ampère's Law to be satisfied. My intuition tells me that what's happening is that you distort the circumference of the loop but the length of the path is still ## 2\pi s##

It's like taking a straight rope of length ##L##; Although I shake it up and down, the length will remain ##L##.

This explanation seems reasonable for me, what do you all think?

No. As has already been explained in this thread.
 
  • #26
Orodruin said:
No. As has already been explained in this thread.

Why am I wrong? If the length of the path is ##2\pi s## and we 'shake' it, the perimeter does not change (which is indeed true).
 
  • #27
JD_PM said:
Why am I wrong? If the length of the path is ##2\pi s## and we 'shake' it, the perimeter does not change (which is indeed true).
Because the perimeter has absolutely nothing to do with it. You have already seen that the perimeter has absolutely no influence on the integral for the result of the integral for the circle and you seem to argue that it will have something to do with the final result for a shape different from the circle, yet it should give you the same as the circle. You are simply wrong and the reason as has been pointed out repeatedly is that it is only for the circle that you get the integral ##\oint d\ell## at all.
 
  • Like
Likes   Reactions: JD_PM
  • #28
Orodruin said:
Because the perimeter has absolutely nothing to do with it. You have already seen that the perimeter has absolutely no influence on the integral for the result of the integral for the circle and you seem to argue that it will have something to do with the final result for a shape different from the circle, yet it should give you the same as the circle. You are simply wrong and the reason as has been pointed out repeatedly is that it is only for the circle that you get the integral ##\oint d\ell## at all.

So if I am not mistaken, if the path were to be different from a circle, the Ampère's Law'd perfectly hold:

$$\oint \vec B \cdot d\vec l=\mu_0~I_{enc.}$$

The only difference is that now ##B## is not decreasing at the same rate as the non-circular loop increases, which means that ##B## is not constant and cannot be taken out of the integral. However, if we were to compute ##\oint \vec B \cdot d\vec l## we would indeed get the same result that in circle's case!

WoW, this is impressive...

I'd like to test this, do you know about any famous example of non-circular Amperian Loop?
 
  • #29
JD_PM said:
WoW, this is impressive...
Gauss's law is just as impressive except that it involves a surface integral instead of a line integral.
JD_PM said:
I'd like to test this, do you know about any famous example of non-circular Amperian Loop?
You can test this theoretically by yourself. Consider the usual circle of radius ##R## with a current-carrying current ##I## at its center. Now consider a square Amperian loop of side ##R\sqrt{2}~##inscribed in the circle. Calculate ##\oint \vec B\cdot d\vec l## around the square loop and show that it is equal to ##\mu_0~I##. Hint: Exploit the symmetry of the problem. You only need to find ##\int \vec B\cdot d\vec l## along one side of the square and multiply the result by 4.
 
  • Like
Likes   Reactions: JD_PM
  • #30
kuruman said:
You can test this theoretically by yourself. Consider the usual circle of radius ##R## with a current-carrying current ##I## at its center. Now consider a square Amperian loop of side ##R\sqrt{2}~##inscribed in the circle. Calculate ##\oint \vec B\cdot d\vec l## around the square loop and show that it is equal to ##\mu_0~I##. Hint: Exploit the symmetry of the problem. You only need to find ##\int \vec B\cdot d\vec l## along one side of the square and multiply the result by 4.

See #10 and #11 ... :rolleyes:
 

Similar threads

  • · Replies 6 ·
Replies
6
Views
4K
Replies
4
Views
2K
  • · Replies 1 ·
Replies
1
Views
4K
Replies
5
Views
2K
  • · Replies 2 ·
Replies
2
Views
2K
  • · Replies 3 ·
Replies
3
Views
5K
  • · Replies 3 ·
Replies
3
Views
3K
  • · Replies 2 ·
Replies
2
Views
2K
  • · Replies 2 ·
Replies
2
Views
2K
  • · Replies 2 ·
Replies
2
Views
3K