Is the Work Done by a Variable Force Non-Conservative?

Click For Summary
The discussion revolves around calculating the work done by a variable force using the equations of motion defined in terms of parameters like time and angle. Participants clarify the expressions for the position vector and force, emphasizing the importance of using a dummy variable for integration. There is confusion regarding the correct parameterization of the equations, particularly the role of theta in relation to the path described by the ellipse. The conversation also touches on the necessity of correctly substituting variables and integrating over the appropriate limits. Ultimately, the participants aim to derive the work done by the force while ensuring the mathematical expressions are correctly formatted and interpreted.
  • #31
That's worrying. If you do try that be careful not to use θ for both purposes. Either take the polar coordinates to be (r,φ) or change the given parameter from θ to t, say. I say it is worrying because it makes me wonder whether your teacher has blundered.
MatinSAR said:
Thank you but what do you mean by this ?! I didn't understand.

View attachment 317261
This one should be Theta ...
No, neither of them matches the given theta. The one you circled would give ##x=r\cos(\theta), y=r\sin(\theta), y/x=\tan(\theta)##. But you are given ##y/x= \frac 12\cot(\theta)##.
If you draw a line from the origin to a point half way along the horizontal dashed blue line, the angle between that and the y-axis is the given theta.
 
Physics news on Phys.org
  • #32
Chestermiller said:
If you are going from A to C, the limits of integration are from ##\theta=0## to ##\theta = \frac{\pi}{2}##. From the equations for F and dr that I gave in post #16, what is the equation for F dotted with dr?
Is it true ?!
Untitled.png

kuruman said:
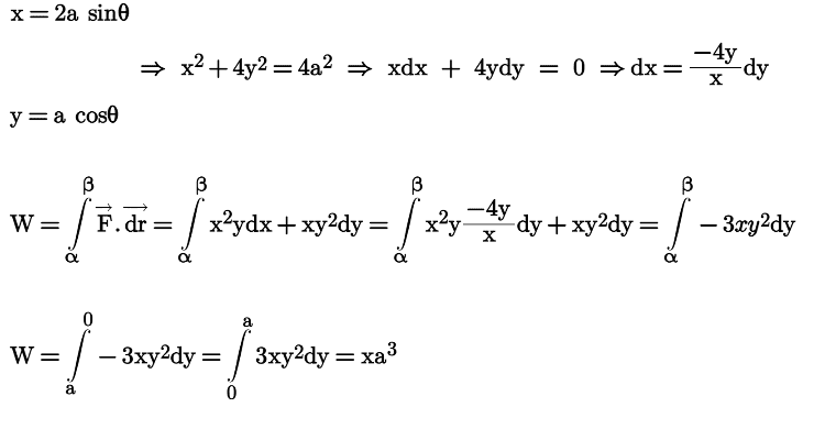
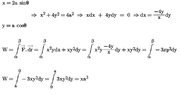
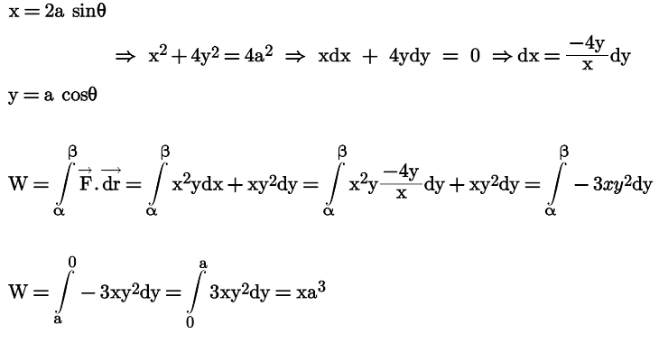
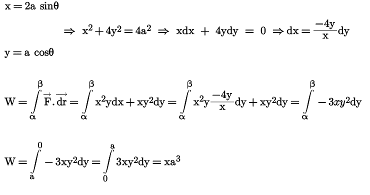
Forget ##\theta## as a variable. Try this. You have $$x=2a\sin\theta~;~~2y=2a\cos\theta.$$It follows that $$x^2+4y^2=4a^2 \implies xdx+4ydy=0 \implies dx=-\frac{4y}{x}dy$$ Now $$\mathbf{F}\cdot d\mathbf{r}=(x^2y~\mathbf{\hat x}+xy^2~\mathbf{\hat y})\cdot(dx~\mathbf{\hat x}+dy~\mathbf{\hat y})
=x^2ydx+xy^2dy.$$ Substitute the expression for ##dx## and integrate over ##y##.
Can I send a picture of my work ?! The final answer is unusual ...
 
  • #33
haruspex said:
That's worrying. If you do try that be careful not to use θ for both purposes. Either take the polar coordinates to be (r,φ) or change the given parameter from θ to t, say. I say it is worrying because it makes me wonder whether your teacher has blundered.

No, neither of them matches the given theta. The one you circled would give ##x=r\cos(\theta), y=r\sin(\theta), y/x=\tan(\theta)##. But you are given ##y/x= \frac 12\cot(\theta)##.
If you draw a line from the origin to a point half way along the horizontal dashed blue line, the angle between that and the y-axis is the given theta.
Thanks ...
Is it true ?!
1212.png
 
  • #34
MatinSAR said:
Can I send a picture of my work ?! The final answer is unusual ...
LaTeX is preferable, but if your work is too involved, you can post a picture as long as it is clearly legible and right side up. Use the "Attach files" link, lower left.
 
  • #35
MatinSAR said:
Is it true ?!
View attachment 317282
I don't get the factor as 6. Did you handle the signs correctly? The rest looks fine.
 
  • #36
kuruman said:
LaTeX is preferable, but if your work is too involved, you can post a picture as long as it is clearly legible and right side up. Use the "Attach files" link, lower left.
Thank you ... I have done it with a math editor.
 

Attachments

  • 1121212.png
    1121212.png
    8.8 KB · Views: 114
  • #37
haruspex said:
I don't get the factor as 6. Did you handle the signs correctly? The rest looks fine.
What about Theta ?! Did I specify theta correctly?
I get the factor 6 again ! Let me send a picture ...
 
  • #38
haruspex said:
I don't get the factor as 6. Did you handle the signs correctly? The rest looks fine.
 

Attachments

  • 1221.png
    1221.png
    10.9 KB · Views: 127
  • #39
I'm getting what you are getting.

$$ \int 3 x y^2 dy = \int 3 \cdot y^2 \cdot 2 \sqrt{a^2 - y^2} dy $$

Let:

##\frac{y}{a} = \sin \beta##
## \frac{ \sqrt{a^2 - y^2} }{a} = \cos \beta##

It follows that

$$ y^2 = a^2 \sin^2 \beta$$
$$\sqrt{a^2 - y^2} = a \cos \beta$$
$$ dy = a \cos \beta d \beta$$

$$ \implies \int 3 x y^2 dy = 6 a^4 \int \sin^2 \beta \cos^2 \beta d \beta $$
 
Last edited:
  • #40
haruspex said:
I don't get the factor as 6. Did you handle the signs correctly? The rest looks fine.
I also get a factor of 6, although I would never have done the math the way that he did it>
 
  • #41
Chestermiller said:
I also get a factor of 6, although I would never have done the math the way that he did it>
Was it true ?!
What was wrong with the way I have done the math :rolleyes:
erobz said:
I'm getting what you are getting.

Can you please tell me what is your final answer ?!
 
  • #42
MatinSAR said:
Was it true ?!
What was wrong with the way I have done the math :rolleyes:

Can you please tell me what is your final answer ?!
I didn't do the integral!
 
  • #43
Post your work, it will get checked by someone...
 
  • #44
MatinSAR said:
What about Theta ?! Did I specify theta correctly?
I get the factor 6 again ! Let me send a picture ...
Yes, my mistake… I should have waited until I had the time to check properly.
 
  • #45
erobz said:
Post your work, it will get checked by someone...
1668633876399.png
 
  • #46
MatinSAR said:
It is a line integral, not a double integral, so you must arrange that there is only one variable in the integrand. If you want to do it as an integral wrt y then you must first replace all the occurrences of x with what x is as a function of y.
But really, the parametric approach using theta is much easier.
 
  • Like
Likes MatinSAR and erobz
  • #47
  • #48
haruspex said:
It is a line integral, not a double integral, so you must arrange that there is only one variable in the integrand. If you want to do it as an integral wrt y then you must first replace all the occurrences of x with what x is as a function of y.
But really, the parametric approach using theta is much easier.
So my answer is wrong , isn't it ?!
Thank you ... I will try to do it using parametric approach and I will send a picture of the work ...
erobz said:
Show the work. Explain how you get the last result?
Thank you ... I will try to do it using parametrich approach and I will send a picture of the work ...
 
  • #49
MatinSAR said:
I will try to do it using parametric approach
I'm confused. Isn’t that what you already did in post #32? Except that you did not perform the integral.
 
  • #50
The integration is very simple. It just involves the use of trigonometric identities.$$(\sin{\theta}\cos{\theta})^2=\frac{\sin^2{2\theta}}{4}=\frac{1-\cos{4\theta}}{8}$$
 
Last edited:
  • #51
MatinSAR said:
Hi @MatinSAR. Can I point out a fundamental mistake you are making? I don’t think anyone has mentioned it yet (apologies if they already have).

The final expression for W can not contain x or y (or θ). These are variables which change as you move along the path. They must disappear when the definite integral is evaluated.

You made the same mistake in your Post #1 solution, where your final expression for W contained x and y.

The expression for W can contains only given constants (here only the 'a') and pure numbers like 5, π and √2 (just picking random values as examples).

For example, if you determine the formula for the circumference of a circle, x²+y²=a², it wouldn’t make sense to have x and/or y in the final formula.
 
  • #52
haruspex said:
I'm confused. Isn’t that what you already did in post #32? Except that you did not perform the integral.
Yes. It was unfinished.
Chestermiller said:
The integration is very simple. It just involves the use of trigonometric identities.$$(\sin{\theta}\cos{\theta})^2=\frac{\sin^2{2\theta}}{4}=\frac{1-\cos{4\theta}}{8}$$
Thank you.
Steve4Physics said:
Hi @MatinSAR. Can I point out a fundamental mistake you are making? I don’t think anyone has mentioned it yet (apologies if they already have).

The final expression for W can not contain x or y (or θ). These are variables which change as you move along the path. They must disappear when the definite integral is evaluated.

You made the same mistake in your Post #1 solution, where your final expression for W contained x and y.

The expression for W can contains only given constants (here only the 'a') and pure numbers like 5, π and √2 (just picking random values as examples).

For example, if you determine the formula for the circumference of a circle, x²+y²=a², it wouldn’t make sense to have x and/or y in the final formula.
Thank you ... I didn't know about this.
 
  • Like
Likes Steve4Physics
  • #53
I hope it's finally true ...
photo_2022-11-17_10-20-59.jpg
The force is conserative so If I choose another path the final answer shouldn't change, Is it true ?!
 
  • #54
MatinSAR said:
The force is conserative
Is it? What do you get if you integrate from 0 to 2π?

I agree with your answer.
 
  • #55
haruspex said:
Is it?
It was mentioned in question.
haruspex said:
I agree with your answer.
Thank you.
 
  • #56
haruspex said:
.
Steve4Physics said:
.
Chestermiller said:
.
erobz said:
.
kuruman said:
.
Mister T said:
.
I hope I haven't forgotten anyone.

Thank you for your help and time.
🙏🙏🙏
 
  • #57
MatinSAR said:
It was mentioned in question.
Try the path along the axes. Isn't F always zero there?
 
  • #58
haruspex said:
Try the path along the axes. Isn't F always zero there?
No it's not.
 

Attachments

  • 1212.jpg
    1212.jpg
    61.3 KB · Views: 116
  • #59
MatinSAR said:
No it's not.
Oh yes it is! (If you familiar with British pantomime.)

Can I expand on what @haruspex said in Post #57?

Referring to the Post #21 diagram, suppose you take the following route:
- from A(0,a), move along the y-axis to the origin (0,0);
- from the origin (0,0) move along the x-axis to C(2a,0).

##\vec F = x^2y~\hat i + xy^2 \hat~j##

While moving along the y-axis (x=0); both components of ##\vec F## are zero.
Similarly while moving along the x-axis.

The total work done along this path is therefore zero. This is different to your calculated value for the original route from A to C.

So you can see (without doing any maths) that the force is not conservative.
 
  • #60
Steve4Physics said:
Referring to the Post #21 diagram, suppose you take the following route:
- from A(0,a), move along the y-axis to the origin (0,0);
- from the origin (0,0) move along the x-axis to C(2a,0).
Great !
So it's not conserative ...
Thank you.
 

Similar threads

  • · Replies 7 ·
Replies
7
Views
3K
  • · Replies 8 ·
Replies
8
Views
924
  • · Replies 4 ·
Replies
4
Views
2K
  • · Replies 8 ·
Replies
8
Views
4K
Replies
29
Views
3K
  • · Replies 2 ·
Replies
2
Views
817
  • · Replies 19 ·
Replies
19
Views
1K
Replies
9
Views
935
Replies
4
Views
2K
  • · Replies 11 ·
Replies
11
Views
2K