Working out the accelerations in a double Atwood pulley system

  • Thread starter Thread starter hmparticle9
  • Start date Start date
  • Tags Tags
    Mechancis
Click For Summary

Homework Help Overview

The discussion revolves around analyzing the accelerations in a double Atwood pulley system. Participants are exploring different methods to derive the equations of motion for the masses involved, particularly focusing on the use of effective mass versus relative accelerations.

Discussion Character

  • Exploratory, Conceptual clarification, Mathematical reasoning, Assumption checking

Approaches and Questions Raised

  • The original poster attempts to solve the problem using effective mass but is challenged to find an alternative approach using relative accelerations. Participants raise questions about the definitions of variables and the implications of the pulleys' masslessness. There is discussion about the need for additional equations and the role of fictitious forces in different reference frames.

Discussion Status

Participants are actively engaged in questioning and clarifying concepts related to the problem. Some have suggested using free body diagrams and have pointed out the need for a consistent frame of reference. There is a recognition of the complexity involved in transitioning from effective mass to relative accelerations, with no explicit consensus reached yet.

Contextual Notes

Participants are navigating constraints such as the requirement to avoid using effective mass and the challenge of defining accelerations in different frames. The discussion includes references to external resources and the impact of the problem's setup on the equations being derived.

hmparticle9
Messages
157
Reaction score
26
Homework Statement
Find the acceleration of $m_1$.
Relevant Equations
$F = ma$
DATWOOD.webp


Above we have a diagram of the double atwood machine. There are LOADS of questions on here about the double Atwood, but none answer my question. They either go into using Lagrangian/Hamiltonian mechanics or use effective mass directly. For instance I can solve this problem in the following way (using effective mass). The equations are

$$T - m_1g = m_1a_1$$
$$T - 2T' = -\frac{4m_2m_3}{m_2 + m_3}a_1$$
$$T' - m_2g = m_2 a'$$
$$T' - m_3g = -m_3a'$$

We use the last two equations to solve for $T'$ and then put this into the first two equations to get

$$a_1 = \frac{4m_2 m_3 -m_1(m_2 + m_3)}{4m_2m_3 + m_1(m_2 + m_3)}g$$

My textbook now says, obtain the same result without using effective mass. Instead use relative accelerations. On thinking about it, these three equations hold

$$T - m_1g = m_1a_1$$
$$T' - m_2g = m_2 a'$$
$$T' - m_3g = -m_3a'$$

Also, since the pulley $p'$ is mass less I can say

$$T = 2T'$$

I am struggling to move forward. I think I am missing one equation. I don't want to just blindly apply formulas, I want to understand why. Can I have some help solving this problem using relative accelerations?. The textbook indicates that I should consider the acceleration relative to the ground. Surely the acceleration of $m_2$ relative to the ground is $a' - a_1$....
 
Physics news on Phys.org
Do the pulleys have mass? If not, what is ##T-2T'##?
How are you defining ##a'## exactly? The acceleration of what and in what frame?
 
##a'## is the acceleration of ##m_2## if we were to sit on the pulley ##p'##. The pulleys do not have mass. By ##F = ma, T = 2T'##?
 
Last edited:
hmparticle9 said:
##a'## is the acceleration of ##m_2## if we were to sit on the pulley ##p'##.
But ##T'## and ##m_2g## are the forces on ##m_2## in the rest frame, so the LHS of your equation gives its acceleration in the rest frame. If you want the equation in the frame of the pulley you need to include a virtual fictitious force to represent that frame's acceleration. Or get the same equation by working in the rest frame.
hmparticle9 said:
The pulleys do not have mass. By ##F = ma, T = 2T'##?
Right. I do not know how you got your version from the effective mass.
 
Last edited:
Thanks for your reply. I still don't have enough to go on... virtual force?
 
hmparticle9 said:
Thanks for your reply. I still don't have enough to go on... virtual force?
Sorry, wrong terminology. I mean a fictitious or pseudo force. In this case, d'Alembert's inertial force. See https://en.wikipedia.org/wiki/Fictitious_force.
But you might as well just use an inertial frame.
 
hmparticle9 said:
Can I have some help solving this problem using relative accelerations?.
The idea is simple. If B accelerates relative to A with acceleration aBA (a one-dimensional signed vector) and A accelerates relative to the Earth with acceleration aAE (also a one-dimensional signed vector), the acceleration aBE of B relative to the Earth is given by

aBE = aBA + aAE

If the Atwood machine in this problem were attached to the ceiling, the accelerations of the masses relative to the Earth and hence relative to the axle of the pulley from which they hang would be given by

a2P = (m3 - m2) g / (m3 + m2)
a3P = - (m3 - m2) g / (m3 + m2)

If the axle of the pulley is itself accelerating relative to the Earth with acceleration aPE, what would be the expressions of the acceleration of each mass relative to the Earth?

Can you find an expression for aPE? Remember that T = 2T' as you correctly surmised.

Note: I have used BBcode for equations instead of LaTeX because, according to @Greg Bernhardt, the core software was updated and that changed the editor and anything that modified the editor is now broken. He thinks that this is a serious problem and he's on it.

(Edited to fix subscript typo.)
 
Last edited:
  • Agree
  • Like
Likes   Reactions: hmparticle9 and Greg Bernhardt
Surely the accelerations of mass 2 and 3 with respect to the earth would be:

$$a_{2E} = a_{2P} + a_{PE}$$
$$a_{3E} = a_{3P} + a_{PE}$$

I just can't make the leap to find an expression for ##a_{PE}##. One thing I would also like to ask is, is my method using effective mass correct? I reaches the correct answer.

But back to this. I am really not doing great....
 
hmparticle9 said:
I just can't make the leap to find an expression for ##a_{PE}##.
How is aPE related to the acceleration (relative to the Earth) a1E of the top mass m1? What equation do you get from the free body diagram of m1?
hmparticle9 said:
One thing I would also like to ask is, is my method using effective mass correct?
It is, but you are asked not to use effective mass. Personally, I prefer using the term equivalent mass as laid out in this article, https://www.physicsforums.com/insights/how-to-solve-a-multi-atwood-machine-assembly/. Nevertheless, I think that finishing the problem using relative accelerations will consolidate your understanding. Getting the correct answer in two different ways will boost your confidence that you actually understand this stuff.
 
  • Like
Likes   Reactions: Lnewqban
  • #10
The free body diagram for ##m_1## gives me:
$$T - m_1g = m_1a_1$$

##a_{PE}## must be the same as ##a_1## but in the opposite direction.
 
  • Like
Likes   Reactions: Lnewqban
  • #11
hmparticle9 said:
The free body diagram for ##m_1## gives me:
$$T - m_1g = m_1a_1$$

##a_{PE}## must be the same as ##a_1## but in the opposite direction.
So far so good. Read all of the above posts. Can you put it together?
 
  • #12
##a_1## is what we want, so I need an expression for ##a_{PE}##. The only thing I can say is

##a_{2E} - a_{2P} = a_{PE}##

I know the acceleration of ##m_2## if we are sitting on the pulley ##P'##, which is ##a_{2P}##. But we don't know ##a_{2E}##.

I'm sorry, I just don't get it.
 
  • #13
hmparticle9 said:
##a_1## is what we want, so I need an expression for ##a_{PE}##. The only thing I can say is

##a_{2E} - a_{2P} = a_{PE}##

I know the acceleration of ##m_2## if we are sitting on the pulley ##P'##, which is ##a_{2P}##. But we don't know ##a_{2E}##.

I'm sorry, I just don't get it.
It's a bit hard without seeing all your a priori equations in one place.
You should be able to write down equations relating:
##a_1, a_{PE}##
##a_{2P}, a_{3P}##
##a_{2P}, a_2, a_{PE}##
##a_{3P}, a_3, a_{PE}##
##m_2, a_2, T'##
##m_3, a_3, T'##
##m_1, a_1, T##
##T, T'##
So 8 equations, 8 unknowns.
 
  • #14
hmparticle9 said:
I'm sorry, I just don't get it.
  1. You hang mass m from the ceiling of an elevator at rest. The tension in the string will be T = mg.
  2. The elevator is accelerating up with acceleration a. The tension in the string will be T = m(g + a).
  3. The elevator is accelerating down with acceleration a. The tension in the string will be T = m(g - a).
If you are in the elevator, at rest with respect to the mass, in all three cases you see a hanging mass at rest. You add a spring scale between known mass m and the ceiling to measure the tension. You deduce that there is an effective acceleration of gravity that depends on the elevator's acceleration.

In case 1, geff. = g = 9.8 m/s2.
In case 2, geff. = 9.8 m/s2 + a.
In case 3, geff. = 9.8 m/s2 - a.

Now suppose you hang a massless pulley from the ceiling next to hanging mass m. Masses m3 and m2 are connected with a string going over the pulley to form a simple Atwood machine. If you wanted to write Newton's second law equations for the two masses in a way that takes into account the elevator's acceleration, what would you use for the acceleration of gravity that would be consistent with the spring scale reading next to the Atwood setup? Having written these equations, you can find (a) expressions for the accelerations of the two masses which will have equal magnitudes and opposite directions, a3 = - a2 and (b) an expression for the tension in the connecting string.

Mini Quiz
What are a3 and a2 relative to?
1. The Earth.
2. The axle of the pulley.
3. I don't know.

Now imagine that the ceiling of the accelerating elevator becomes magically transparent. You look up and you see that the (massless) cable attached to the elevator goes over a pulley with mass m1 attached to the other side of the cable.

How is the acceleration (relative to the Earth) of the elevator related to the acceleration of m1?
How is the acceleration (relative to the Earth) of the pulley's axle inside the elevator related to the acceleration of m1?

At this point, you can write another Newton's second law equation for m1 noting that you know the tension in the upper cable connected to the elevator. What is it? What would you use for the acceleration of gravity in this equation, 9.8 m/s2 or geff.?

I hope you get it after reading all this.
 
  • #15
Here are my 8 equations:
$$a_1 = -a_{PE}$$
$$a_2 = -a_3$$
$$a_{2E} = a_2 + a_{PE}$$
$$a_{3E} = a_3 + a_{PE}$$
$$T' - m_2g = m_2a_2$$
$$T' - m_3g = m_3a_3$$
$$T - m_1g = m_1a_1$$
$$2T' = T$$

I need to find ##a_1##. So I am trying to get an expression for ##a_{PE}##. Since I know neither ##a_{2E}## nor ##a_{3E}## there is no way for me to get an expression for ##a_{PE}##

What is strange is that I can get an expression for ##T'##. Then using ##2T' = T## I can put that into this equation

$$T - m_1g = m_1a_1$$

to get an expression for ##a_1##, but it is incorrect. Why is it incorrect?
 
Last edited:
  • #16
hmparticle9 said:
Why is it incorrect?
Good question. My guess is that you made an algebraic mistake somewhere. Since you don't show your work, we cannot help you answer this question beyond guessing.
 
  • #17
But my 8 equations are correct?
 
  • #18
hmparticle9 said:
But my 8 equations are correct?
Yes.
 
  • #19
Here are my workings:
Quick sheets - page 1.webp
 
  • #20
hmparticle9 said:
Here are my workings:
View attachment 361256
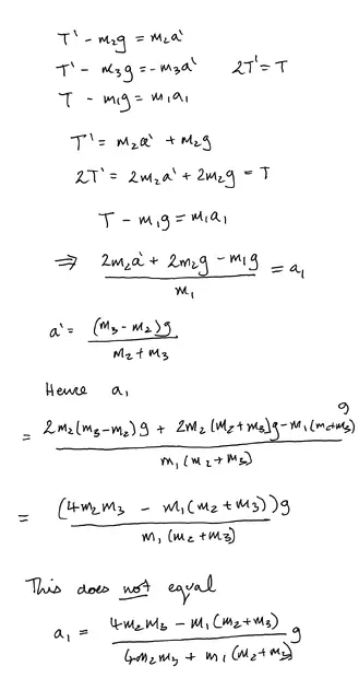
You went wrong straight away. You took these two equations:
hmparticle9 said:
$$T' - m_2g = m_2a_2$$
$$T' - m_3g = m_3a_3$$
and replaced both lab frame accelerations by ##\pm a'##, when clearly they are not simply equal and opposite (as they are in the frame of the pulley).
 
  • #21
edit - either works:
T1 - m1 g = m1 a1,
T2 - m2 g = m2 a2,
T2 - m3 g = m3 a3,
T1 - (m2 + m3) g = m2 a2 + m3 a3,
a2 + a3 = - 2 a1

or use
T1 - m1 g = m1 a1,
T2 - m2 g = m2 a2,
T2 - m3 g = m3 a3,
T1 = 2 T2,
a2 + a3 = -2 a1

5 equations 5 unknowns: T1, T2, a1, a2, a3
test answer by plugging in different m's, make sure m1 accelerates up if it is smaller than the other two etc.

relative accelerations from lengths
a2+a3=-2a1
measured from ceiling (y2-Yp')+(y3-Yp') = Length of string connecting m2 and m3, take derivatives and you get the relative accelerations.

Plug in different m's
{m1,m2,m3}={50,25,25} = should get a=0
{m1,m2,m3}={50,0,50} = should get both 50's falling etc.

Challenge: what if the pulley does have some mass? T1 - 2 T2 = -mp a1 - can you get it to work if masses of pulley are accounted for?
 
Last edited:
  • #22
JLT said:
Challenge: what if the pulley does have some mass? T1 - 2 T2 = -mp a1 - can you get it to work if masses of pulley are accounted for?
If the pulley has mass, an additional equation is needed for the rotational acceleration of the pulley. It is unrealistic to say that the pulley has non-zero mass and then pretend that it has zero moment of inertia.
 
  • #23
sol.webp


For me, it was a problem with notation! I got it straight away when you told me I was wrong from the start.

Thanks :D
 
  • Like
Likes   Reactions: haruspex and PeroK
  • #24
Is it possible to do if we use m2 as frame of reference?
 
  • #25
michelp said:
Is it possible to do if we use m2 as frame of reference?
You can use any frame of reference you like as long as you are consistent and include "fictitious" forces as appropriate.
 
  • #26
hmparticle9 said:
Homework Statement: Find the acceleration of $m_1$.
Relevant Equations: $F = ma$

They either go into using Lagrangian/Hamiltonian mechanics
and this is natural because the Lagrange equations do not contain reactions of ideal constraints: all these ##T,T'##. Two Lagrange equations describe this problem. And yes this tool goes far beyond the high-school physics. It is a big cannon.
 
  • Agree
Likes   Reactions: SammyS

Similar threads

  • · Replies 4 ·
Replies
4
Views
1K
Replies
13
Views
3K
  • · Replies 22 ·
Replies
22
Views
3K
  • · Replies 29 ·
Replies
29
Views
4K
  • · Replies 3 ·
Replies
3
Views
6K
  • · Replies 13 ·
Replies
13
Views
3K
  • · Replies 18 ·
Replies
18
Views
2K
Replies
44
Views
4K
  • · Replies 15 ·
Replies
15
Views
2K
  • · Replies 9 ·
Replies
9
Views
2K