A couple basic questions about finding a limit

  • Thread starter Thread starter opus
  • Start date Start date
  • Tags Tags
    Couple Limit
Click For Summary

Homework Help Overview

The discussion revolves around finding the limit of a function as x approaches 10, specifically the expression $$\lim_{x \rightarrow 10}\frac{x-10}{4-\sqrt{x+6}}$$. Participants explore the implications of encountering an indeterminate form of $$\frac{0}{0}$$ and the methods to resolve it.

Discussion Character

  • Exploratory, Conceptual clarification, Assumption checking

Approaches and Questions Raised

  • The original poster questions the legitimacy of multiplying the fraction by $$\frac{-1}{-1}$$ and whether it is acceptable to cancel terms in this context. They also express confusion about the concept of limits and the significance of finding an equivalent function with a hole at x=10.
  • Some participants discuss the nature of the indeterminate form and clarify that while the original function is undefined at x=10, an equivalent function can provide insight into the limit as x approaches that value.
  • There is a debate about the definition of a "hole" in the context of functions and limits, with participants seeking to understand how cancellation affects the interpretation of the functions involved.

Discussion Status

Participants are actively engaging with the concepts of limits and the implications of indeterminate forms. Some guidance has been offered regarding the nature of the functions and the concept of holes, but there remains a lack of consensus on certain interpretations, particularly regarding the cancellation of terms and its effects on the functions' behavior at x=10.

Contextual Notes

There is mention of homework constraints and the need to understand the underlying principles of limits rather than simply applying algebraic manipulations. The discussion reflects a mix of algebraic reasoning and conceptual understanding, with participants grappling with the definitions and implications of their findings.

opus
Gold Member
Messages
717
Reaction score
131

Homework Statement



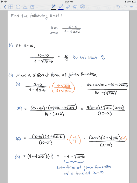
Find the following limit:

$$\lim_{x \rightarrow 10}\frac{x-10}{4-\sqrt{x+6}}$$

Homework Equations

The Attempt at a Solution


[/B]
Please see attached work. I have a few questions (other than if my solution is correct or not).

First, is at step (ii)(C):
What makes me uneasy about this step is the fact that I multiplied the fraction by ##\frac{-1}{-1}##, and only multiplied on the bottom initially. What this did was made the denominator term equal to one of the numerator terms so they could be cancelled. Is this legitimate? I feel like when I do this, I have to multiply both out at the same time. My recitation leader said that it was legitimate as the (-1) in the numerator is still there, we're just saving it to be multiplied through later. But it seems to me like this shouldn't work because the top and bottom should switch at the the same, so we shouldn't be able to get them to the same thing to cancel.

My second question is the concept behind the entire problem:
For the given function, if we evaluate at x=10, we get ##\frac{0}{0}## which I was told is not good. So to get around this, we can change the form of the function to something equivalent, which was the bulk of this entire problem. So after the given function, we found something equivalent to it, ##y=-4-\sqrt{x+6}##, which is identical to the given function except this one has a hole at x=10. I'm having a difficult understanding what we're doing here and why. I know that we want to find the value that y approaches as the x closes in on x=10 from both sides, but the ##\frac{0}{0}## thing causing us to find an equivalent function with a hole at the value we're taking the limit at is confusing me a bit.
This just seems like Algebra to me, not Calculus as we're just taking a function and evaluating it at some x. So I guess I don't see the picture of what the problem is trying to get across to me.
Thank you for your time.
 

Attachments

  • BAC0F2A6-7E83-42EA-80DB-473837E129AD.png
    BAC0F2A6-7E83-42EA-80DB-473837E129AD.png
    17.3 KB · Views: 451
  • BCF60316-115F-41DE-9014-C0B981432331.png
    BCF60316-115F-41DE-9014-C0B981432331.png
    6.8 KB · Views: 446
Physics news on Phys.org
Your solution is correct, and I think you have already extracted what wisdom there is to be gained from it. It is not so much about calculus as about understanding limits. However, you could solve it with L'Hospital's rule, and then you would be using derivatives.
 
  • Like
Likes   Reactions: opus
Forget to write something like ##\frac{a}{0}## once and for all, regardless what ##a## is. It is not only no good, it is simply not defined. ##0## has nothing to do with multiplication, with the only exception that ##a\cdot(b+c)=a\cdot b+a\cdot c## where ##a,b,c## are allowed to be zero, but this is the only possibility where ##0## can meet multiplication.
 
  • Like
Likes   Reactions: opus
opus said:

Homework Statement



Find the following limit:

$$\lim_{x \rightarrow 10}\frac{x-10}{4-\sqrt{x+6}}$$

Homework Equations

The Attempt at a Solution


[/B]
Please see attached work. I have a few questions (other than if my solution is correct or not).

First, is at step (ii)(C):
What makes me uneasy about this step is the fact that I multiplied the fraction by ##\frac{-1}{-1}##, and only multiplied on the bottom initially. What this did was made the denominator term equal to one of the numerator terms so they could be cancelled. Is this legitimate? I feel like when I do this, I have to multiply both out at the same time. My recitation leader said that it was legitimate as the (-1) in the numerator is still there, we're just saving it to be multiplied through later. But it seems to me like this shouldn't work because the top and bottom should switch at the the same, so we shouldn't be able to get them to the same thing to cancel.

My second question is the concept behind the entire problem:
For the given function, if we evaluate at x=10, we get ##\frac{0}{0}## which I was told is not good.
I doubt you were told "it is not good". You were more likely told that ##x=10## is not in the domain of the given function. So if you plot its graph there is no point to plot for ##x=10##, which is why it is proper to say the graph "has a hole".

So to get around this, we can change the form of the function to something equivalent, which was the bulk of this entire problem. So after the given function, we found something equivalent to it, ##y=-4-\sqrt{x+6}##, which is identical to the given function except this one has a hole at x=10.
No. The equivalent function you found does not have a hole at ##x=10##. When you put ##x=10## in ##y=-4-\sqrt{x+6}## you get ##-8##. Your new function equals your original function except at the point. The reason your new function doesn't equal the original function is the step where you canceled ##x-10## factors. That step is no good when ##x=10##. But the whole point of this exercise is to note that your new function and old function are exactly the same except for ##x=10##. So what your old function gets close to as ##x## nears ##10## is the same as what the new function nears, which you can calculate. Your new function gets close to ##-8##, which is also its value at ##x=10##, and the old function gets near to the same thing even though it doesn't have a value at ##x=10##. Hope that helps.
 
  • Like
Likes   Reactions: opus and tnich
tnich said:
Your solution is correct, and I think you have already extracted what wisdom there is to be gained from it. It is not so much about calculus as about understanding limits. However, you could solve it with L'Hospital's rule, and then you would be using derivatives.

Ok thank you. I think I get the idea of a limit, but originally not the idea of these exercises so much. Starting to make more sense.

fresh_42 said:
Forget to write something like a0\frac{a}{0} once and for all, regardless what aa is. It is not only no good, it is simply not defined. 00 has nothing to do with multiplication, with the only exception that a⋅(b+c)=a⋅b+a⋅ca\cdot(b+c)=a\cdot b+a\cdot c where a,b,ca,b,c are allowed to be zero, but this is the only possibility where 00 can meet multiplication.

Ok that makes sense. I knew that anything over a zero was undefined, but zero over itself seemed less intuitive as anything over itself usually equals 1. I'll remember that. Thank you.

LCKurtz said:
I doubt you were told "it is not good". You were more likely told that x=10x=10 is not in the domain of the given function. So if you plot its graph there is no point to plot for x=10x=10, which is why it is proper to say the graph "has a hole".

He actually said it word for word quite a few times, and drew a frowny face next to them. Wasn't quite sure what to make of it as one could assume that it's undefined, or that it's valid but not exactly what you want in the problem. I was under the impression that it was left wanting because there was going to be some new punchline that required Calculus to talk about it so I didn't ask. The punchline never came. :DD

LCKurtz said:
No. The equivalent function you found does not have a hole at x=10x=10. When you put x=10x=10 in y=−4−√x+6y=-4-\sqrt{x+6} you get −8-8. Your new function equals your original function except at the point. The reason your new function doesn't equal the original function is the step where you canceled x−10x-10 factors. That step is no good when x=10x=10.

It appears I misunderstood the concept of a hole. I thought that once we canceled a factor such as the (x-10), a hole forms at that value. And since in solving for the new function, the one where we did cancel the factors, that was the function that had the hole in it. So then which function has the hole? The old or the new? Or is it just that the hole is a value where the two functions do not have the same output value at that input value, and neither of them technically have a hole, but rather it's just a value where they differ in output? The latter seems the case as at x=10, once function is undefined and the other is equal to -8.

LCKurtz said:
But the whole point of this exercise is to note that your new function and old function are exactly the same except for x=10x=10. So what your old function gets close to as xx nears 1010 is the same as what the new function nears, which you can calculate. Your new function gets close to −8-8, which is also its value at x=10x=10, and the old function gets near to the same thing even though it doesn't have a value at x=10x=10. Hope that helps.

Ok that makes much more sense. So you're saying that we have two equivalent functions except at the value x=10, but even though they have different output values at x=10, they both approach the same value which is x=-8?
 
opus said:
Ok that makes much more sense. So you're saying that we have two equivalent functions except at the value x=10, but even though they have different output values at x=10, they both approach the same value which is x=-8?
They don't have different output values at ##x=10##. One has a value and the other doesn't. It's easy to tell which is which when you plug in ##x=10##. Or, as I said earlier, ##x=10## is not in the domain of the first function and is in the domain of the new function. The reason we say the first function has a hole is that there is no point to plot when ##x=10##. When you get a bit further along in your course you will see that the first function has what is called a removable discontinuity at ##x=10## and the second function is the same graph with the discontinuity removed, or informally, the hole filled.
 
  • Like
Likes   Reactions: opus
opus said:
Ok thank you. I think I get the idea of a limit, but originally not the idea of these exercises so much. Starting to make more sense.
Ok that makes sense. I knew that anything over a zero was undefined, but zero over itself seemed less intuitive as anything over itself usually equals 1. I'll remember that. Thank you.
He actually said it word for word quite a few times, and drew a frowny face next to them. Wasn't quite sure what to make of it as one could assume that it's undefined, or that it's valid but not exactly what you want in the problem. I was under the impression that it was left wanting because there was going to be some new punchline that required Calculus to talk about it so I didn't ask. The punchline never came. :DD
It appears I misunderstood the concept of a hole. I thought that once we canceled a factor such as the (x-10), a hole forms at that value. And since in solving for the new function, the one where we did cancel the factors, that was the function that had the hole in it. So then which function has the hole? The old or the new? Or is it just that the hole is a value where the two functions do not have the same output value at that input value, and neither of them technically have a hole, but rather it's just a value where they differ in output? The latter seems the case as at x=10, once function is undefined and the other is equal to -8.
The limit looks at values of ##x## near 10, and which approach as close to 10 as we wish, but without actually equalling 10. So, the modified function
$$f(x) = \begin{cases} \displaystyle \frac{x-10}{4-\sqrt{x+6}}& \text{if} \; x \neq 10\\
\\
150& \text{if} \; x = 10
\end{cases}
$$
has exactly the same ##x \to 10## limit as your original function. This new function IS defined at ##x=10##, but the value there happens to have nothing to do with the values of ##f(x)## for ##x## near 10, but that leaves the limit unaffected.
 
  • Like
Likes   Reactions: opus
I think the idea your instructor was trying to get across was that since the function
##f(x) = \frac{x-10}{4-\sqrt{x+6}}## is not defined for ##x = 10##
and the function ##g(x) = -4-\sqrt{x+6}## is defined at the point, they are not equivalent. To make them equivalent, you would have to explicitly define the domain of g(x) as ##\mathbb R - \{10\}##, i.e., that is you would have to create a hole at ##x = 10##.
 
  • Like
Likes   Reactions: opus
tnich said:
I think the idea your instructor was trying to get across was that since the function
##f(x) = \frac{x-10}{4-\sqrt{x+6}}## is not defined for ##x = 10##
and the function ##g(x) = -4-\sqrt{x+6}## is defined at the point, they are not equivalent. To make them equivalent, you would have to explicitly define the domain of g(x) as ##\mathbb R - \{10\}##, i.e., that is you would have to create a hole at ##x = 10##.
While what you say isn't incorrect, it is backwards of the usual process. The point is you can remove the hole in the original definition by adding to its definition like so:$$
f(x) = \begin{cases} \displaystyle \frac{x-10}{4-\sqrt{x+6}}& \text{if} \; x \neq 10\\
\\
-8 & \text{if} \; x = 10
\end{cases}$$so the original function is defined at ##x=10##, and is defined in such a way to make it continuous there, although continuity might be a bit early for the OP's experience.
 
  • Like
Likes   Reactions: opus
  • #10
LCKurtz said:
While what you say isn't incorrect, it is backwards of the usual process. The point is you can remove the hole in the original definition by adding to its definition like so:$$
f(x) = \begin{cases} \displaystyle \frac{x-10}{4-\sqrt{x+6}}& \text{if} \; x \neq 10\\
\\
-8 & \text{if} \; x = 10
\end{cases}$$so the original function is defined at ##x=10##, and is defined in such a way to make it continuous there, although continuity might be a bit early for the OP's experience.
I can't argue with that. I am just trying to make sense of what the instructor told OP.
 
  • Like
Likes   Reactions: opus
  • #11
LCKurtz said:
The point is you can remove the hole in the original definition by adding to its definition like so:
f(x)=⎧⎪ ⎪ ⎪⎨⎪ ⎪ ⎪⎩​
x−104−√x+6ifx≠10−8ifx=10​
f(x) = \begin{cases} \displaystyle \frac{x-10}{4-\sqrt{x+6}}& \text{if} \; x \neq 10\\ \\ -8 & \text{if} \; x = 10 \end{cases}so the original function is defined at x=10x=10, and is defined in such a way to make it continuous there

Ok I think I got it. Can you explain your piecewise function there? From what it looks like, it's saying that we use the original function if x is not equal to 10, and if x is equal to 10, then we use our "secondary" function, the one that we solved for.
As for continuity, it was mentioned briefly in College Algebra. It was said that if you can draw the graph of the function without picking up your pencil, then it is continuous but Calculus is needed for a more formal definition. I'll keep my eye open for this when it comes up.
 
  • #12
How the function looks:
upload_2018-9-2_1-46-47.png

There is a gap at ##x=10##. O.k. not a real gap as it is only a point missing. But it suffices that the function is not continuous, which very roughly means, it cannot be drawn with one line. But it is also obvious from the picture, that a single additional dot at ##(10,-8)## would fix it. Additional, because it doesn't belong to the curve alias function - it has to be added.
 

Attachments

  • upload_2018-9-2_1-46-47.png
    upload_2018-9-2_1-46-47.png
    2.2 KB · Views: 426
  • Like
Likes   Reactions: opus
  • #13
opus said:
Ok I think I got it. Can you explain your piecewise function there? From what it looks like, it's saying that we use the original function if x is not equal to 10, and if x is equal to 10, then we use our "secondary" function, the one that we solved for.

That's basically correct. What you are really doing is some algebraic steps to see what the limit is. Short of plotting a bunch of points for ##x## nearing 10, how are you going to know what the function gets close to? The algebra trick you used just rewrote the function in a more convenient form for that calculation. You could just plug in ##10## and out popped ##-8##. Much easier, no?

As for continuity, it was mentioned briefly in College Algebra. It was said that if you can draw the graph of the function without picking up your pencil, then it is continuous but Calculus is needed for a more formal definition. I'll keep my eye open for this when it comes up.

That is a common idea that many people find helpful to grasp the idea of continuity. The difficulty is when you try to put that into a mathematical statement, it leads to the so-called epsilon-delta arguments that are less intuitive for some. If I were you I wouldn't lose any sleep over this topic. You understand it pretty well and I'm guessing your class will soon be talking about continuity. And even then, many first year calculus texts don't linger over the finer points and delta-epsilon for long; that can wait for advanced calculus which may or may not be in your future. I think you are good to go.
 
  • Like
Likes   Reactions: opus
  • #14
Great thanks guys. That helped a lot. I may have been putting the cart ahead of the horse a bit on my questions. In addition to my assigned text, I've been reading through Keisler's Elementary Calculus and he goes over things like hyperreals, infinitisemals, etc right from the start and I think that makes much more sense that the way my assigned text teaches it. This text is making things very interesting.
 
  • #15
To learn calculus by hyperreals is problematic. They are not really used outside there, so you might get confused. I would prefer to learn the standard calculus and if you understood this, you can have a look how hyperreals work. I cannot imagine to do it the other way around or even worse: in parallel.
 
  • Like
Likes   Reactions: opus
  • #16
I'll keep that in mind, thanks! Maybe I'll just save it for later and the exercises.
 
  • #17
sorry I'm late to the party, but couldn't resist piping into this calculus lesson:

Calculating limits
If a function f has a limit L as x-->a, that means the values of f(x) for x different from a are getting near L when x gets near a. It is often very hard to determine this L just by looking at those values f(x) for x ≠ a, because you don’t know just how close x has to be to a before f(x) gets close enough to L for you to guess what L is, and it may be impossible to do.There are certain functions however for which we already know their limits at every a, namely for certain functions f, when x gets close to a, then f(x) gets close to f(a). For such a function f, to find the limit of f(x) as x-->a, we can just evaluate f(a). As a special case, we might try to think of functions f such that f(x) gets small when x gets small. Since multiplying small numbers together gives a small result, x^2, x^3, x^4,... are examples of functions that give a small result when x gets small. Similarly, (x-a)^n gets small when x gets close to a.By writing x^n as (x-a+a)^n and expanding, we see that every term gets small as x-->a except the constant term a^n, and hence we can conclude also that x^n gets close to a^n as x-->a. Using the fact that sums of small numbers are also small, we can conclude that all functions f formed by adding together constant multiples of powers of x are easy to find limits for as x-->a, just by evaluating f(a). Thus all polynomials are easy to find limits for this way. Also square roots, and higher roots, of small numbers are small, and we can thus extend our class of good functions to include roots, at least where defined.Now to deal with examples like yours, we need one further principle, or one further example, we need to understand the limit of the quotient f(x) = (x-a)/(x-a). This is the one example where we cannot evaluate it at x=a, and yet there is no difficulty at all in finding the limit directly from the definition. Namely if we look at points x ≠ a, the value

of f(x) is always 1, no matter how close x is to a, as long as x≠a. So the number that f(x) is getting close to as x-->a can only be 1. If you had a definition of limit you would be able to prove this is the limit, but I hope it seems believable.Now we can deal with examples like yours. Since the product of small numbers is small, it follows that the limit of a product of functions f.g equals the product of their limits (if those exist). So we are ready to evaluate the limit of a function f, by trying to rewrite f as a product of two functions whose limits we know. For example we might try to write f(x) = p(x).{(x-a)/(x-a)}, where p is made up of polynomials and root functions.Since the limit of (x-a)/(x-a) is 1, it would follow that the limit of f(x) is equal to the limit of the function p(x), as x-->a, and we know this is just p(a), the value of p at a.Now doing this is fairly easy because of a basic principle called the “factor theorem” or “root/factor” theorem. Namely whenever g is a polynomial such that g(a) = 0, i.e. such that a is a root, it follows that (x-a) is a factor of g, i.e. if g(a) = 0, then g(x) = h(x).(x-a), where h is another polynomial. Something similar is also possible even when g also involves root functions or even more complicated functions. The basic principle is that whenever a function equals zero at a, it is usually possible to factor out an (x-a). But it can be harder to find the other factor when the function is more complicated than a polynomial. For square roots it is not hard and is called in your example “rationalizing the denominator”.Hence if we have a quotient f(x) = g1(x)/g2(x) where g1 and g2 are composed of polynomials and root functions with g1(a) = g2(a) = 0, then we can often factor (x-a) out of both of them, getting g1 = h1.(x-a), and g2 = h2.(x-a). Then we have rewritten f(x) = {h1(x)/h2(x)}.{(x-a)/(x-a)}. Thus the limit of f at a equals the limit of h1/h2 at a.Now if h1/h2 is composed of polynomials and root functions, or if merely h1 and h2 are such functions separately, and if h2(a) ≠ 0, then again the limit of h1/h2 at a, is merely the value h1(a)/h2(a).The principle at work here was summed up more succinctly by someone above, as saying merely this:

From the definition of limit, it follows that whenever two function are equal for all x≠a, then those two functions must have the same limit as x-->a. Hence to evaluate a limit of a given function as x-->a, we try to find another function that equals it at least for x≠a, and such that the other function is easier to find the limit for. Such easy functions are those whose limits equal their values, and are called “continuous” functions. In particular, all polynomials and all root functions are continuous where defined. Moreover a quotient of two continuous functions is continuous where the bottom is not zero. Thus the basic trick for finding the limit of f as x-->a, is to find a continuous function g that equals f when x≠a. Then the limit equals g(a).Note also that understanding limits is the same as understanding continuous functions, since f is continuous at a if and only if f is defined at a and the value f(a) equals the limit of f(x) as x-->a. Moreover, assume the limit of f(x) exists as x-->a, and equals L. Then even if f is not originally defined at a, if we extend the domain of f by defining f(a) to equal this limit L, the new extended f becomes continuous at a. This has been mentioned several times above as well.
 
Last edited:
  • Like
Likes   Reactions: opus and tnich
  • #18
Wow that's a great post, thank you! And it leads me to asking a question about a problem that I did yesterday, where I'm not 100% conceptually on board with the concept. I think it relates.

Here's the given problem:

Evaluate ##\lim_{x \rightarrow \0} \left(\frac{1}{x}+\frac{5}{x\left(x-5\right)}\right)##

For this limit, we have a function added to a function. In evaluating both of these functions at x=0, they are each undefined. As my text puts it, "their intermediate value is undefined". And since this is the case, we can't use limit laws to break the limit apart into its constituent parts to evaluate using the Basic Limit Results.

So since neither of these functions have a limit at x=0, we can add the two functions together which will result in ##\frac{1}{x-5}## which does have a limit at zero. Now we can use the limit laws to evaluate this and we find that the limit is ##\frac{-1}{5}##

Now here's where I need clarification:
1) Is saying that ##\frac{1}{x}## and ##\frac{5}{x\left(x-5\right)}## are two separate functions a correct statement? Or is everything inside the parentheses a single function? The reason I ask is because the text states that "neither function has a limit at x=0".

2) So in following question 1, and the statement that the two functions in the parentheses do not have limit at x=0, and after adding them together to get ##\frac{1}{x-5}##, is it a true statement if I were to say that ##\left(\frac{1}{x}+\frac{5}{x\left(x-5\right)}\right)## and ##\frac{1}{x-5}## are the same function?
 
  • #19
opus said:
1) Is saying that ##\frac{1}{x}## and ##\frac{5}{x\left(x-5\right)}## are two separate functions a correct statement?
I think that is what the author intended.

opus said:
2) So in following question 1, and the statement that the two functions in the parentheses do not have limit at x=0, and after adding them together to get ##\frac{1}{x-5}##, is it a true statement if I were to say that ##\left(\frac{1}{x}+\frac{5}{x\left(x-5\right)}\right)## and ##\frac{1}{x-5}## are the same function?
No, for the same reasons discussed in the other problem. ##\left(\frac{1}{x}+\frac{5}{x\left(x-5\right)}\right)## is not defined at ##x=0##. ##\frac{1}{x-5}## is.
 
  • #20
So similarly to the other problem, can I say that they're the same function at every value other than x=0 then? I guess the core of my question is in the fact that before, we took a single function and transformed it to something that we could take the limit of and this function was the same as the one we started with other than the fact that at some value of x, one is defined as one is not.
Now I'm wondering if this same idea holds when we start with two functions and add them together so that we can take the limit (versus starting with one function and transforming it so that we can take the limit).
 
  • Like
Likes   Reactions: mathwonk
  • #21
you are understanding it. yes, the sum of two functions is considered as one function, and this sum function does equal your simplification away from x=0, so exactly the same principle applies. i am so happy that after spending all this time writing this out, you have grasped it perfectly and used it correctly.
 
  • Like
Likes   Reactions: opus
  • #22
Great thank you! This has been a very helpful thread.
 

Similar threads

  • · Replies 10 ·
Replies
10
Views
2K
Replies
24
Views
3K
  • · Replies 8 ·
Replies
8
Views
2K
  • · Replies 10 ·
Replies
10
Views
2K
  • · Replies 12 ·
Replies
12
Views
2K
  • · Replies 5 ·
Replies
5
Views
2K
  • · Replies 7 ·
Replies
7
Views
2K
  • · Replies 10 ·
Replies
10
Views
1K
  • · Replies 8 ·
Replies
8
Views
2K
  • · Replies 18 ·
Replies
18
Views
2K