A probability of field amplitude in QFT

  • Context: Undergrad 
  • Thread starter Thread starter MichPod
  • Start date Start date
  • Tags Tags
    Probability Qft
Click For Summary

Discussion Overview

The discussion centers around the calculation of probability densities for field amplitudes in quantum field theory (QFT), specifically in the context of the quantized Klein-Gordon equation. Participants explore the nature of observables in quantum fields and the implications of these concepts for measuring field values at specific points in spacetime.

Discussion Character

  • Debate/contested
  • Conceptual clarification
  • Technical explanation

Main Points Raised

  • Some participants question how to calculate a probability density for a field to have a specific value, suggesting a desire for a general formula and approach.
  • Others argue that the question lacks meaning without specifying an observable, asserting that the field itself is not an observable.
  • One participant challenges the assertion that fields are not observable by drawing parallels to classical physics, suggesting that field values should be observable like the position of a quantum harmonic oscillator.
  • There is a discussion about the nature of Hermitian operators, with some participants asserting that the field operator for the Klein-Gordon equation is not Hermitian, while others argue that it can be self-adjoint under certain conditions.
  • Participants propose a discrete model of a Klein-Gordon field using a "mattress" of particles, suggesting that this model could provide insights into probability densities for particle displacements.
  • Some participants clarify that phonons represent collective modes of vibration rather than individual particle vibrations, emphasizing the distinction between the two concepts.
  • There is a mention of the microcausality condition and the potential for a neutral Klein-Gordon field operator to represent an observable, though the discussion remains speculative regarding concrete examples.

Areas of Agreement / Disagreement

Participants express multiple competing views regarding the observability of fields and the nature of probability densities in QFT. The discussion remains unresolved, with no consensus on the key issues raised.

Contextual Notes

Participants note the importance of distinguishing between classical and quantum fields, as well as the implications of Hermitian operators in the context of quantum field theory. There are unresolved questions regarding the physical meaning of field operators and their eigenstates.

MichPod
Messages
231
Reaction score
46
TL;DR
get a probability density for a quantum field
Per quantized scalar field (quantized Klein-Gordon equation), suppose we act on a vacuum state |0> with some set of creation operators to have some particles.
How then can we calculate a probability density for the field to have a particular value ##\psi_0## (upon measurement) at a specific point (t, x, y, z)?

I am interested in understanding a general formula and approach, not in making a specific calculation in all the details.
 
Physics news on Phys.org
MichPod said:
How then can we calculate a probability density for the field to have a particular value
The question doesn't make sense. To get a meaningful probability density, you need to pick an observable. The field is not an observable.
 
PeterDonis said:
The question doesn't make sense. To get a meaningful probability density, you need to pick an observable. The field is not an observable.
Why the field is not observable? (I expected the value of the field is observable because it is observable in a classical case).

Just to be on the same page, we can observe a coordinate of a quantum harmonic oscillator at a specific moment of time, right? By analogy, I though, we can observe an amplitude of a field at a particular time and coordinate.
 
Last edited:
  • Like
Likes   Reactions: vanhees71 and Delta2
MichPod said:
Why the field is not observable?
Because it's not a Hermitian operator.

MichPod said:
I expected the value of the field is observable because it is observable in a classical case
You expected wrong. A quantum field is not at all the same kind of thing as a classical field.

MichPod said:
we can observe a coordinate of a quantum harmonic oscillator at a specific moment of time, right?
What Hermitian operator corresponds to this observable?

MichPod said:
By analogy, I though, we can observe an amplitude of a field at a particular time and coordinate.
There is no such analogy for a quantum field.
 
PeterDonis said:
What Hermitian operator corresponds to this observable?
For a harmonic oscillator? Per Schrödinger picture, it is just 'x'.

How can I see that the field operator is not Hermitian? I though it is for the case of K-G equation.
 
MichPod said:
For a harmonic oscillator? Per Schrödinger picture, it is just 'x'.
In the position representation, yes. But this observable is position--the "position of the oscillator" (which is viewed in this representation as a point particle oscillating around in a particular potential). It is not "wave amplitude" or "field amplitude".
 
PeterDonis said:
In the position representation, yes. But this observable is position--the "position of the oscillator" (which is viewed in this representation as a point particle oscillating around in a particular potential). It is not "wave amplitude" or "field amplitude".
I expected there is an obvious analogy between the x coordinate of an oscillator and the value of a quantum field at particular point. Why was I wrong?

BTW, how can I see that the field operator is not Hermitian, as you said? I though it is for the case of K-G equation.
 
To continue, as a discrete approximation we can model a K-G field with some mattress of discrete particles connected with springs. Acting with creation operators on the vacuum (ground) state of that mattress would correspond to adding phonons to the "lattice" of mattress. So I think that asking for a probability density of a particular particle of the mattress to have particular displacement at a particular time should be very well posed and make sense. This should also make sense for a continuous limit when we pass from the mattress to a continuous quantized K-G field and want to measure a value of the field at a particular point.
 
MichPod said:
I expected there is an obvious analogy between the x coordinate of an oscillator and the value of a quantum field at particular point. Why was I wrong?
Why would you expect not to be wrong? You're just making a hand-waving analogy. You haven't given any references, so I don't know where your hand-waving analogy is coming from.

A quantum field is an operator; it doesn't even have a "value at a particular point", much less one that is analogous to the x coordinate of an oscillator.

MichPod said:
how can I see that the field operator is not Hermitian, as you said? I though it is for the case of K-G equation.
What is the field operator for the K-G equation?
 
  • #10
MichPod said:
as a discrete approximation we can model a K-G field with some mattress of discrete particles connected with springs.
Ok.

MichPod said:
Acting with creation operators on the vacuum (ground) state of that mattress would correspond to adding phonons to the "lattice" of mattress.
Ok.

MichPod said:
So I think that asking for a probability density of a particular particle of the mattress to have particular displacement at a particular time should be very well posed and make sense.
Whether it makes sense or not, it is irrelevant as far as using this toy model as a heuristic for quantum field theory is concerned. The analogue of the quantum field for this toy model is the creation and annihilation operators, not the particles or their positions. The whole toy model itself is not a toy model of a distribution of quantum fields in a region of spacetime; it is a toy model of a quantum field at a single point of spacetime. A toy model of a quantum field theory in a region of spacetime will have one of these mattresses at every point.
 
  • #11
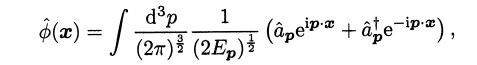
PeterDonis said:
What is the field operator for the K-G equation?
K-G.PNG
 
  • #13
MichPod said:
I though it is for the case of K-G equation.
Even if the K-G operator turns out to be Hermitian, that does not mean quantum field operators in general are.
 
  • #14
PeterDonis said:
Is this operator Hermitian? Are all of its eigenvalues real?
Providing the Hermitian conjugation of ##\hat{a}## is ##\hat{a}^\dagger##, this operator is Hermitian (self-adjoint)
 
  • Like
Likes   Reactions: vanhees71
  • #15
MichPod said:
Providing the Hermitian conjugation of ##\hat{a}## is ##\hat{a}^\dagger##, this operator is Hermitian (self-adjoint)
So if that is the case, what is its physical meaning? What are the eigenstates and eigenvalues of this operator?
 
  • #16
MichPod said:
Acting with creation operators on the vacuum (ground) state of that mattress would correspond to adding phonons to the "lattice" of mattress. So I think that asking for a probability density of a particular particle of the mattress to have particular displacement at a particular time should be very well posed and make sense.
AFAIK, phonons do not describe vibrations of the individual particles of the "mattress", but rather are modes of vibration of the entire collective of the particles, i.e., the entire "mattress."
 
  • Like
Likes   Reactions: Nugatory, mattt and vanhees71
  • #17
Hill said:
AFAIK, phonons do not describe vibrations of the individual particles of the "mattress", but rather are modes of vibration of the entire collective of the particles, i.e., the entire "mattress."
Yes, that's correct.
 
  • Like
Likes   Reactions: Hill
  • #18
Hill said:
AFAIK, phonons do not describe vibrations of the individual particles of the "mattress", but rather are modes of vibration of the entire collective of the particles, i.e., the entire "mattress."
Agree. And I did not mean anything opposite. The mattress has some physical particles connected with springs, then phonons correspond to the modes of the vibration of the mattress as a whole.
 
  • Like
Likes   Reactions: vanhees71 and Hill
  • #19
Of course in principle a neutral-Klein-Gordon field operator may represent an observable, i.e., it's a self-adjoint operator, fulfilling the microcausality condition. So they can represent, at least formally, local observables. I only do not have a concrete simple physical example for it.
 
  • Informative
Likes   Reactions: MichPod
  • #20
vanhees71 said:
Of course in principle a neutral-Klein-Gordon field operator may represent an observable, i.e., it's a self-adjoint operator, fulfilling the microcausality condition. So they can represent, at least formally, local observables. I only do not have a concrete simple physical example for it.
Thank you. Thank you for confirming my question has some sense.
 
  • #21
vanhees71 said:
in principle a neutral-Klein-Gordon field operator may represent an observable
Note, though, that the "neutral" (i.e., uncharged) is key. A charged Klein-Gordon field operator is no longer self-adjoint. Nor is a fermionic field operator (only fermionic bilinears like ##\bar{\psi} \psi## are). I'm not sure about an uncharged spin-1 (Maxwell) field operator.

vanhees71 said:
I only do not have a concrete simple physical example for it.
That is why I asked the OP about the physical meaning of the operator in post #15.
 
  • #22
vanhees71 said:
in principle a neutral-Klein-Gordon field operator may represent an observable
All along we've been talking about a free Klein-Gordon field operator. However, I'm not sure this still holds for an interacting Klein-Gordon field operator.
 
  • Like
Likes   Reactions: vanhees71
  • #23
Fields corresponding to uncharged particles, such as electromagnetic field and Higgs field, are hermitian, so these fields are observables. This fact does not depend on whether the fields are free or interacting. Even if one considers a non-hermitian field, such as electron field ##\psi##, one can always construct a hermitian field ##\phi= \psi+\psi^{\dagger}##.
 
  • Like
Likes   Reactions: vanhees71
  • #24
In gauge theories there's the additional caveat that only gauge-invariant (composite) local field self-adjoint operators can represent local observables.
 

Similar threads

Replies
18
Views
3K
  • · Replies 6 ·
Replies
6
Views
1K
  • · Replies 1 ·
Replies
1
Views
2K
  • · Replies 1 ·
Replies
1
Views
1K
  • · Replies 13 ·
Replies
13
Views
2K
  • · Replies 2 ·
Replies
2
Views
2K
  • · Replies 28 ·
Replies
28
Views
2K
  • · Replies 24 ·
Replies
24
Views
3K
  • · Replies 1 ·
Replies
1
Views
2K
  • · Replies 60 ·
3
Replies
60
Views
8K