Approach analytical calculation for a beam frame

Click For Summary

Discussion Overview

The discussion revolves around the analytical calculation of deflection in a beam frame for a home project involving a trike. Participants explore assumptions regarding support conditions, load distribution, and methods for improving the accuracy of analytical calculations compared to simulation results.

Discussion Character

  • Exploratory
  • Technical explanation
  • Debate/contested
  • Mathematical reasoning

Main Points Raised

  • One participant calculated a deflection of 0.016 mm under a load of 800 Newtons and questioned the correctness of their assumptions regarding fixed supports and reaction forces.
  • Another participant challenged the first assumption about fixed supports and confirmed the second assumption if the load is centered, suggesting reference to Roark's equations for further analysis.
  • Participants discussed the need to break down the frame into a beam and a column, with emphasis on moments and deflections at the ends of the beam and column.
  • There was a mention of the complexity of the problem, likening it to graduate-level coursework, and the common engineering practice of using Finite Element Analysis (FEA) for such problems.
  • Questions arose about the nature of moments at the ends of the beam and the implications of fixed versus simply supported conditions.
  • One participant expressed confusion and requested a step-by-step walkthrough of the problem to clarify the situation.
  • Another participant suggested that undergraduate textbooks could provide clearer explanations of fixed end beams and related concepts.

Areas of Agreement / Disagreement

Participants do not reach a consensus on the assumptions regarding support conditions and the resulting calculations. Multiple competing views on the nature of moments and the appropriate analytical approach remain present throughout the discussion.

Contextual Notes

Limitations include potential misunderstandings of support conditions, the complexity of simultaneous equations involved, and the reliance on specific assumptions about material properties and loading conditions.

Who May Find This Useful

This discussion may be useful for individuals interested in structural analysis, particularly those working on practical engineering projects or studying mechanics of materials.

Mech_LS24
Messages
148
Reaction score
16
TL;DR
I would like to know if my analytical approach for the deflection of an frame is correct.
Hi all,

Currently I am working on a home-project, making a trike. Now just for fun and because I like to calculate things, I calculated the deflection of a frame with a load. The frame is shown in the picture below, I added the force for clarity.

With my analytical calculation I found a deflection of 0.016 mm, with a load of 800 Newtons. Are the following assumptions correct?:
  • Point B and C are fixed, this means L1 doesn't play a role in this calculation.
  • Reaction forces at point B and C are 0.5*F.

I did a cross check in Simulation and found a deflection of 0.039 mm, how can I get a 'more' accurated analytical calculation? The difference of those two (>50%) is quite a lot, isn't it?
Analytical_calc_01.jpg


Analytical_Calc.PNG
 
Engineering news on Phys.org
Your first assumption is not correct, your second assumption is correct if the load is centered. The sketch below shows the deflection under the assumption that the bases of the columns are fixed.
Frame.jpg

There may be an equation in Roark for this case: https://www.amazon.com/dp/007072542X/?tag=pfamazon01-20.

If not, Roark will have the equations for a beam with simple supports, center load, and a moment at each end of the beam. It will also have the equation for a column with one end fixed and a moment load on the other end. Solving this case is "merely" a matter of setting the angular deflection of the ends of the beam equal to the angular deflection of the end of the column. You can simplify by cutting the model in half at the center, and adding a moment to the free end of the beam so as to make beam end slope zero.

The assumption of the column bases fixed is a reasonable assumption IFF the baseplates are thick enough, and bolted tightly enough to a thick enough concrete base. Otherwise, you need either an assumption of base bending stiffness or simply supported bases on the columns.

It's a lot of algebra, but very doable. It will keep you entertained for a few hours.
 
  • Informative
  • Like
Likes   Reactions: berkeman and Mech_LS24
jrmichler said:
It will also have the equation for a column with one end fixed and a moment load on the other end
You mean this one below?
1633410761376.png


jrmichler said:
You can simplify by cutting the model in half at the center, and adding a moment to the free end of the beam so as to make beam end slope zero.
The sketch below is what you are saying right? I am trying learning myself as well a decent approach solving 'exercises' like this. Please don't hesitate giving advise in detail :).
FBD_half_frame_analy.jpg
 
You have to break the half frame down to two parts, a beam and a column, as shown below.
FBD Frame.jpg

The column has a vertical force which can be ignored. The column has one end fixed and a moment on the other end. That moment causes the end of the column to deflect to an angle ##\theta##.

The beam has vertical forces and moments at each end. The moment at the right end is calculated to force the beam deflection angle to be zero at that end. The moment at the left end is calculated to force the beam deflection angle ##\theta## to be equal to the column deflection angle ##\theta##.

You end up with a series of simultaneous equations to be solved. If it looks challenging, it's because the problem is straight from a graduate level strength of materials course that I took in 1978. And never used since.

In the real engineering world, a problem like this is normally solved by assuming that the beam is simply supported. The resulting calculation will be somewhat conservative. If it is a weight critical aerospace situation, it would be solved using FEA. But, it is a great training exercise to learn more about interactions in complex structures.
 
  • Like
Likes   Reactions: Mech_LS24
jrmichler said:
The column has one end fixed and a moment on the other end.
What makes that moment occur there? I thought only fixed ends has moments?

jrmichler said:
The moment at the right end is calculated to force the beam deflection angle to be zero at that end.
Why is there a moment at the right hand? Only F is pushing downwards?

jrmichler said:
If it looks challenging, it's because the problem is straight from a graduate level strength of materials course that I took in 1978. And never used since.
😂, so most cases are solved in FEA?

In the real engineering world, a problem like this is normally solved by assuming that the beam is simply supported.
Supported, like as in my sketch below?

Hand_calc.jpg
 
A simply supported beam has no moments from the supports, as shown in the top FBD below. A half FBD of the frame with column bottoms fixed is shown in the lower sketch. The middle of the beam is free to move up and down in response to an external vertical force, but the exact center must stay horizontal because of symmetry. That's what the roller support does - it allows beam deflection without rotation.

FBD Frame2.jpg

A correctly modeled frame with fixed column supports will have deformed geometry as shown in the sketch in Post #2. When I use FEA, I always make a deformed geometry plot, and look at that plot before anything else. The deformed geometry plot tells me if I have an incorrect loading or support.

Look at a moment diagram for a simply supported beam. If you cut the beam in half to make a half model, the bending moment in the half model does not change.

Think of two limiting cases:
Case 1: The columns are long and have lower stiffness than the beam. In that case, the columns provide minimal resistance to beam bending, thus the beam is very close to simply supported.

Case 2: The columns are short and much stiffer than the beam, and the bases are fixed. In that case, the beam is very close to fixed end conditions.

Most real world frames are between the two above extremes. FEA is by far the easiest and fastest way to analyze them. Your photo in Post #1 does not show fixed end supports for the frame. Your frame is between Case 1 and Case 2, but is even harder to analyze because the column bases are neither fixed nor simply supported.

I recommend that you do your FEA verification hand calculations by analyzing a simple beam with both simply supported and fixed end conditions. Those two conditions are easy to calculate, and the FEA deflection should agree with the hand calculations within 2% or 3%. FEA stresses will normally have higher error than FEA deflections because of the discretization, loading details, and support details.
 
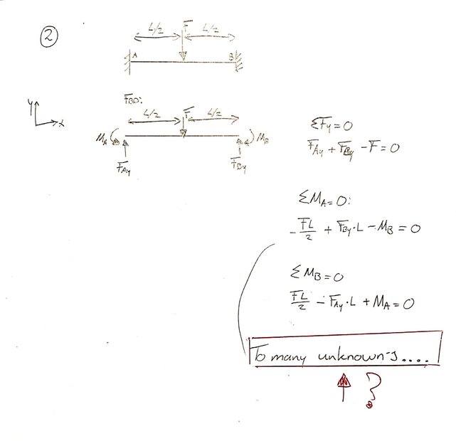
I still don't get it...

As the story what you are telling makes sense to me, I can't imagine/translate it to the current situation (the frame). Can we go step-by-step through this problem? I think I should start from the very first beginning have the situation clear..

I tried the supported and fixed beams as shown in the images.
 

Attachments

  • Fixed_beam.jpg
    Fixed_beam.jpg
    17.8 KB · Views: 188
  • support_beam.jpg
    support_beam.jpg
    13.1 KB · Views: 191
The problem is now reduced to the point where an undergraduate textbook in Mechanics of Materials can explain it far better than I can. I see that the Mechanics of Materials book by Beer and Johnston is now in its 8th Edition. I have the first edition of their book, and it discusses fixed end beams.
 
  • Like
Likes   Reactions: Mech_LS24

Similar threads

Replies
6
Views
4K
Replies
33
Views
6K
  • · Replies 9 ·
Replies
9
Views
3K
Replies
6
Views
2K
  • · Replies 6 ·
Replies
6
Views
2K
  • · Replies 4 ·
Replies
4
Views
6K
Replies
6
Views
3K
  • · Replies 5 ·
Replies
5
Views
6K
Replies
4
Views
2K
  • · Replies 9 ·
Replies
9
Views
3K