Barbell in gravitational field (Lagrange)

Click For Summary

Homework Help Overview

The problem involves a barbell consisting of two masses in a gravitational field, analyzed using Lagrangian mechanics. The original poster seeks to derive the Lagrange function in specified coordinate systems and explore the equations of motion and conserved quantities.

Discussion Character

  • Exploratory, Conceptual clarification, Mathematical reasoning, Assumption checking

Approaches and Questions Raised

  • The original poster attempts to express the Lagrange function using both spherical and Cartesian coordinates, raising questions about the correctness of their expressions and transformations.
  • Participants question the use of reduced mass in potential energy and discuss the implications of treating the system as a single object versus two separate masses.
  • There is a discussion about the nature of the forces acting on the masses, particularly the role of tension in the rod connecting them.
  • Some participants suggest reconsidering the assumptions about the motion of the masses and the relationship between their accelerations.

Discussion Status

Contextual Notes

Participants note the need to express potential energy in terms of the center of mass and question the implications of the gravitational force acting on the system. There is also a consideration of the constraints imposed by the barbell's structure on the relative motion of the masses.

JulienB
Messages
408
Reaction score
12

Homework Statement



Hi everybody! Here is a new Lagrange problem I am trying to solve, and I would like to have your opinion about my solution so far!

A barbell composed of two masses ##m_1## and ##m_2##, idealised as particles and separated by a distance ##a## from each other, moves in the Earth's gravitational field.
a) Write the Lagrange function using spherical coordinates for the relative vector and cartesian coordinates for the center of mass.
b) Derive the equations of motion and give minimum one special solution.
c) Which quantities are conserved in this system?

Homework Equations



Lagrange function, Lagrange equations of motion

The Attempt at a Solution



So first I drew the "situation" (see attached picture) and forgot everything about a barbell. :biggrin: I assumed ##m_2## was bigger than ##m_1## to have an idea of what's going on, but that' not so important. I called ##\vec{R}## the vector going from the origin to the center of mass and ##\vec{r}## the vector going from ##m_2## to ##m_1##. ##\vec{r_1}## and ##\vec{r_2}## are the vectors going from the origin to respectively ##m_1## and ##m_2##.

a)
So first I wrote ##\vec{R}## and ##\vec{r}## in terms of ##\vec{r_1}## and ##\vec{r_2}## :

##\vec{R} = \frac{\vec{r_1} \cdot m_1 + \vec{r_2} \cdot m_2}{m_1 + m_2}##
##\vec{r} = \vec{r_1} - \vec{r_2}##

I define the reduced mass as ##m := \frac{m_1 \cdot m_2}{m_1 + m_2}## and I rewrite those to get new expressions for ##\vec{r_1}## and ##\vec{r_2}##:

##\vec{r_1} = \frac{m}{m_1} \vec{r} + \vec{R}##
##\vec{r_2} = \frac{m}{m_2} \vec{r} + \vec{R}##

Preliminary, I wrote ##T## and ##V##:

##T = \frac{1}{2} m_1 \cdot \dot{r}_1^2 + \frac{1}{2} m_1 \cdot \dot{r}_2^2##
##V = m \cdot g \cdot z##

Of course ##m## is still the reduced mass and so ##z## refers to the z-position of the center of mass. After substituting ##\vec{r_1}## and ##\vec{r_2}##, I get an expression for ##L##:

##L = \frac{1}{2} m \cdot \dot{\vec{r}}^2 + \frac{1}{2} (m_1 + m_2) \dot{\vec{R}}^2 - m \cdot g \cdot z##

That's nice. But is it correct? Unfortunately the problem asks for ##\vec{R}## to be expressed in cartesian coordinates and ##\vec{r}## to be expressed in spherical coordinates... Therefore:

##\vec{R}^2 = x^2 + y^2 + z^2 \implies \dot{R}^2 = \dot{x}^2 + \dot{y}^2 + \dot{z}^2##
##\vec{r} = r \cdot (\cos \theta, \sin \theta) \implies \dot{\vec{r}} = \dot{r} \cdot (\cos \theta, \sin \theta) + r \cdot \dot{\theta} \cdot (-\sin \theta, \cos \theta)## since ##\varphi## is constant (I would think) because both masses accelerate at the same rate ##g##.

And that brings me to that Lagrange function:

##L = \frac{1}{2} (m_1 + m_2) (\dot{x}^2 + \dot{y}^2 + \dot{z}^2) + \frac{1}{2} m (\dot{r}^2 + r^2 \dot{\theta}^2) - mgz##

Uuf...Is that correct? I'm not completely sure about the transformation from vectors to scalars, especially in the case of ##\vec{r}##; I've squared "inside" because I think the kinetic energy should square the velocity in direction of ##\hat{r}## and also in direction of ##\hat{\theta}##. Is that right?

b)
So hopefully a) is correct to begin with. I'm a bit confused by the next question because if it was up to me I would have written the Lagrange function as well as the equations of motion in terms of ##R## and ##r##, but because of the choice of coordinates in the end I had to write them in terms of ##z## and of ##r## (because the other equations give a ##0## acceleration, I will write them anyway). I get those:

##\ddot{x} = 0##
##\ddot{y} = 0##
##\ddot{\theta} = 0##
##\ddot{\varphi} = 0##

##\frac{\partial L}{\partial z} = -m \cdot g## and ##\frac{d}{dt} \frac{\partial L}{\partial \dot{z}} = (m_1 + m_2) \cdot \ddot{z}##
##\implies \ddot{z} = \frac{-m}{m_1 + m_2} g = \frac{- m_1 \cdot m_2}{(m_1 + m_2)^2} g##

##\frac{\partial L}{\partial r} = m \cdot r \cdot \dot{\theta}^2## and ##\frac{d}{dt} \frac{\partial L}{\partial \dot{r}} = m \cdot \ddot{r}##
##\implies \ddot{r} = r \dot{\theta}^2##

Mm... I don't know what to think of those. The square on ##m_1 + m_2## in the ##\ddot{z}## equation looks strange, and I have nothing to say really about the second one. At least the zeros in the other equations are coherent! :-p

I didn't go further yet as I am too unsure about my solution. Can anybody take a look and tell me if that's correct/wrong?Thanks a lot in advance for your answers!Julien.
 

Attachments

  • Photo 26-05-16 18 16 57.jpeg
    Photo 26-05-16 18 16 57.jpeg
    20.2 KB · Views: 543
Physics news on Phys.org
JulienB said:
##V = m \cdot g \cdot z##
Of course ##m## is still the reduced mass
Should you use the reduced mass in the expression for V?
##L = \frac{1}{2} (m_1 + m_2) (\dot{x}^2 + \dot{y}^2 + \dot{z}^2) + \frac{1}{2} m (\dot{r}^2 + r^2 \dot{\theta}^2) - mgz##

Uuf...Is that correct?
Looks good except for the m in the last term and there should be a term involving ##\dot{\varphi}##
[EDIT: For a barbell, what is the value of ##\dot{r}##?]

##\varphi## is constant (I would think) because both masses accelerate at the same rate ##g##.
No, I don't think this is a correct statement. ##\varphi## is free to change
 
Last edited:
TSny said:
Should you use the reduced mass in the expression for V?

Shouldn't I? :biggrin: I thought it would be the same to treat the system as a one-object system with the center of mass and the reduced mass. Otherwise I guess I would write it that way:

##V = g \cdot (m_1 \cdot z_1 + m_2 \cdot z_2)##

There must be a way to write it in term of angles... I need to think a bit about it.

TSny said:
Looks good except for the m in the last term and there should be a term involving ##\dot{\varphi}##
[EDIT: For a dumbbell, what is the value of ##\dot{r}##?]

I guess the missing term would be ##r \cdot \dot{\varphi}^2 \sin^2 \theta##?

No, I don't think this is a correct statement. ##\varphi## is free to change[/QUOTE]

I don't get why. Since the force of gravity is the only one acting on the system, shouldn't both masses fall at the same acceleration?Julien.
 
I forgot to thank you for your answer, sorry for that, I really appreciate your help. :)
 
JulienB said:
Shouldn't I? :biggrin: I thought it would be the same to treat the system as a one-object system with the center of mass and the reduced mass. Otherwise I guess I would write it that way:

##V = g \cdot (m_1 \cdot z_1 + m_2 \cdot z_2)##

There must be a way to write it in term of angles... I need to think a bit about it.
See if you can write the expression in parentheses in terms of the z coordinate of the center of mass (##z##).
I guess the missing term would be ##r \cdot \dot{\varphi}^2 \sin^2 \theta##?
Yes

I don't get why. Since the force of gravity is the only one acting on the system, shouldn't both masses fall at the same acceleration?
Each mass feels two forces. The acceleration of the two masses will not generally equal each other.
 
  • Like
Likes   Reactions: JulienB
TSny said:
Each mass feels two forces. The acceleration of the two masses will not generally equal each other.

Now I'm really puzzled: what is the second force? The tension in the rod between the masses? How does it show in the equations? Maybe through ##\vec{r}##..

By the way I missed one of your questions in the last post: I guess ##\ddot{r} = 0## since the distance between the two masses doesn't change...

Julien.
 
JulienB said:
Now I'm really puzzled: what is the second force? The tension in the rod between the masses?
Yes. If the barbell were spinning rapidly, this tension force could be much greater than the force of gravity on the masses.
How does it show in the equations? Maybe through ##\vec{r}##..
The tension force does not enter the Lagrangian. The tension force is a constraint force keeping ##r## constant. You are taking account of the effect of the tension force by restricting ##r## to always equal ##a##.
By the way I missed one of your questions in the last post: I guess ##\ddot{r} = 0## since the distance between the two masses doesn't change...
Yes, ##r = a = ## constant. So, ##\dot{r} = \ddot{r} = 0##. ##r## is not one of the "generalized coordinates" in setting up the Lagrangian. It is just a constant.

If you replaced the rod by a stiff spring so that ##r## could vary, then you would need to include ##r## as a generalized coordinate in the kinetic energy. You would also need to include the potential energy of the spring in ##L##. Then you could use the Lagrange equations to determine the equation of motion for ##r##.
 
About rewriting ##V##, that's what I get now:

##z = \frac{m_1 \cdot z_1 + m_2 \cdot z_2}{m_1 + m_2}##
##\implies V = z \cdot g \cdot (m_1 + m_2)##Julien.
 
JulienB said:
About rewriting ##V##, that's what I get now:

##z = \frac{m_1 \cdot z_1 + m_2 \cdot z_2}{m_1 + m_2}##
##\implies V = z \cdot g \cdot (m_1 + m_2)##
Yes, that's it.
 
  • #10
@TSny Super. And thanks for your explanation, there's a lot for me to learn in that post.

So does that all mean that at the end I should get:

##L = \frac{1}{2} (m_1 + m_2) (\dot{x}^2 + \dot{y}^2 + \dot{z}^2) + \frac{1}{2} m (r^2 \dot{\theta}^2 + r \dot{\varphi}^2 \sin^2 \theta) - (m_1 + m_2) g z##?

Though I understood what you meant with ##\dot{r} = \ddot{r} = 0##, it looks a bit strange in my process since I've substituted ##\dot{\vec{r}}##. But I guess then that the vector may rotate so its acceleration is not necessarily zero. Is that a correct assumption?Thanks a lot for all those answers.

Julien.
 
  • #11
JulienB said:
@TSny Super. And thanks for your explanation, there's a lot for me to learn in that post.

So does that all mean that at the end I should get:

##L = \frac{1}{2} (m_1 + m_2) (\dot{x}^2 + \dot{y}^2 + \dot{z}^2) + \frac{1}{2} m (r^2 \dot{\theta}^2 + r \dot{\varphi}^2 \sin^2 \theta) - (m_1 + m_2) g z##?
Yes. I would go ahead and let ##r = a## to emphasize that ##r## is just a constant.

Though I understood what you meant with ##\dot{r} = \ddot{r} = 0##, it looks a bit strange in my process since I've substituted ##\dot{\vec{r}}##. But I guess then that the vector may rotate so its acceleration is not necessarily zero. Is that a correct assumption?
Yes. ##\vec{r}## is not a constant due to changing orientation. But ## r= |\vec{r}| = a## is a consant.
 
  • #12
TSny said:
Yes. ##\vec{r}## is not a constant due to changing orientation. But ## r= |\vec{r}| = a## is a consant.

Waoh I'm somehow fascinated by that. I've rewritten this step to visualize it better:

##\vec{r} = r \cdot (\sin \theta \cos \varphi, \sin \theta \sin \varphi, \cos \theta)##
##\implies \ddot{\vec{r}} = \dot{r} (\sin \theta \cos \varphi, \sin \theta \sin \varphi, \cos \theta) + r \cdot \dot{\theta} (\cos \theta \sin \varphi, \cos \theta \sin \varphi, -\sin \theta) + r \cdot \dot{\varphi} (-\sin \theta \sin \varphi, \sin \theta \cos \varphi, 0)##
##= 0 + r \cdot \dot{\theta} \cdot \hat{\theta} + r \cdot \dot{\varphi} \cdot \sin \theta \cdot \hat{\varphi}##

That's great! But then isn't there a power two missing in my post #3 on the ##r##?Thanks a lot again, your answers are very clear as always.Julien.
 
  • #13
JulienB said:
##\implies \ddot{\vec{r}} = \dot{r} (\sin \theta \cos \varphi, \sin \theta \sin \varphi, \cos \theta) + r \cdot \dot{\theta} (\cos \theta \sin \varphi, \cos \theta \sin \varphi, -\sin \theta) + r \cdot \dot{\varphi} (-\sin \theta \sin \varphi, \sin \theta \cos \varphi, 0)##
Typos: ##\dot{\vec{r}}## instead of ##\ddot{\vec{r}}## on the left. Middle term on right should be ##r \cdot \dot{\theta} (\cos \theta \cos\varphi, \cos \theta \sin \varphi, -\sin \theta) ##
##= 0 + r \cdot \dot{\theta} \cdot \hat{\theta} + r \cdot \dot{\varphi} \cdot \sin \theta \cdot \hat{\varphi}##

That's great! But then isn't there a power two missing in my post #3 on the ##r##?
Yes! Sorry I overlooked that in your previous posts.
 
  • #14
@TSny Thanks for your answer, that was very nice. I'm going to go back to the equations of motion and post it again later. Are you sure concerning the ##\sin\varphi##? Why would the ##\cos\varphi## be differentiated in the second expression?
 
  • #15
JulienB said:
@TSny Thanks for your answer, that was very nice. I'm going to go back to the equations of motion and post it again later. Are you sure concerning the ##\sin\varphi##?
Pretty sure.
Why would the ##\cos\varphi## be differentiated in the second expression?
It shouldn't. I think you were the one who differentiated the ##\cos\varphi## in the second expression. But, I might not be seeing it. I think I need a little break.
 
  • #16
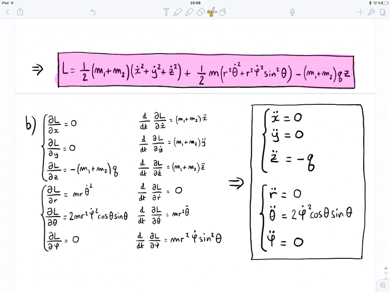
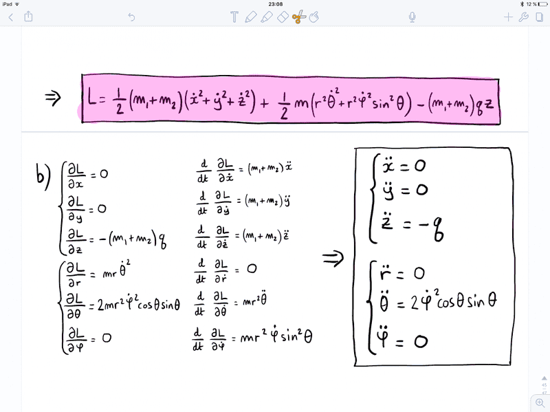
@TSny No you are right I typed ##\sin## instead of ##\cos## though I had it right on my sheet. Sorry for that. For the equations of motion, I found:

##\ddot{z} = -g##
and
##\ddot{\theta} = 2 \dot{\varphi}^2 \cos \theta \sin \theta##

The detail of all the derivatives are in the attached picture. But take a break please, I might also need one. :)

Thanks a lot again for all this help.Julien.
 

Attachments

  • image.png
    image.png
    39.1 KB · Views: 519
Last edited:
  • #17
JulienB said:
For the equations of motion, I found:

##\ddot{z} = -g##
and
##\ddot{\theta} = 2 \dot{\varphi}^2 \cos \theta \sin \theta##

The detail of all the derivatives are in the attached picture.
That looks pretty good. However, check the factor of 2 in the equation for ##\ddot{\theta}##.
 
  • #18
@TSny Yes the 2 disappears because of the ##\frac{1}{2}## before the ##m##... Well, getting there was sure not easy, and now I've got that strange looking differential equation:

##\ddot{\theta} - \dot{\varphi}^2 \cos \theta \sin \theta = 0##

which looks very difficult to solve to me because ##\theta## is inside the ##\cos## and the ##\sin## so I can't get a proper factor :/. I'm also still pretty bad at differential equations... I suppose I could rewrite the equation like that:

##d\dot{\theta} = \dot{\varphi}^2 \cos \theta \sin \theta dt##

But that doesn't help really since each factor of the right side should be integrated with respect to time... Any clue?

For ##z## I simply get ##z = -\frac{1}{2} g t^2 + \dot{z}_0 t + z_0##. Not sure if I can substitute the ##\dot{z}_0## and ##z_0## with anything since I was not given any indication about an initial velocity/position. I guess I could arbitrarily define ##z_0 = 0## but for the velocity I don't think I can do anything so far.

PS: back to the spherical coordinates shortly, cause I would like to check I understand this right: for ##\vec{r}## we use a different origin (namely ##m_2##) as for ##\vec{R}##, right? And ##\theta## is the angle between ##\vec{r}## and ##z'## while ##\varphi## is the angle between ##\vec{r}## and ##x'##?

Thanks a lot again, I'm getting there. Slowly. :-p

Julien.
 
Last edited:
  • #19
JulienB said:
Yes the 2 disappears because of the ##\frac{1}{2}## before the ##m##... Well, getting there was sure not easy, and now I've got that strange looking differential equation:
##\ddot{\theta} - \dot{\varphi}^2 \cos \theta \sin \theta = 0##
Yes, this looks complicated since it contains the two variables ##\theta## and ##\varphi##.
Your result for the equation of motion for ##\varphi## is not correct. (See attached picture below). You should find that the corrected differential equation for ##\varphi## can be easily integrated to get an expression for ##\dot{\varphi}## in terms of ##\theta##. You can then use this to eliminate the ##\dot{\varphi}## in the above equation for ##\ddot{\theta}##.
Note that you are only asked to come up with a specific solution to the equations of motion, rather than having to find the general solution.
For ##z## I simply get ##z = -\frac{1}{2} g t^2 + \dot{z}_0 t + z_0##. Not sure if I can substitute the ##\dot{z}_0## and ##z_0## with anything since I was not given any indication about an initial velocity/position. I guess I could arbitrarily define ##z_0 = 0## but for the velocity I don't think I can do anything so far.
This is good. You have the general solution for the equation of motion for ##z##. When solving a second order differential equation, you will have two arbitrary constants that are determined by the initial conditions. Since you are asked to come up with just one specific solution to the equations of motion, you are free to pick any initial conditions that you want.
PS: back to the spherical coordinates shortly, cause I would like to check I understand this right: for ##\vec{r}## we use a different origin (namely ##m_2##) as for ##\vec{R}##, right?
Yes. You defined ##\vec{r}## to be the position of m1 relative to m2. (You could have chosen ##\vec{r}## to be the position of m2 relative to m1. Either way is fine.)
And ##\theta## is the angle between ##\vec{r}## and ##z'## while ##\varphi## is the angle between ##\vec{r}## and ##x'##?
What is the meaning of the primes here? In spherical coordinates, ##\varphi## is the angle between the x -axis and the projection of ##\vec{r}## onto the x-y plane.
 

Attachments

  • lagrangian barbell.png
    lagrangian barbell.png
    9.2 KB · Views: 624
  • #20
TSny said:
Yes, this looks complicated since it contains the two variables ##\theta## and ##\varphi##.
Your result for the equation of motion for ##\varphi## is not correct. (See attached picture below). You should find that the corrected differential equation for ##\varphi## can be easily integrated to get an expression for ##\dot{\varphi}## in terms of ##\theta##. You can then use this to eliminate the ##\dot{\varphi}## in the above equation for ##\ddot{\theta}##.
Note that you are only asked to come up with a specific solution to the equations of motion, rather than having to find the general solution.

Thanks again for your answer. I'm pulling my hair on the equation of motion for ##\varphi##. I keep on getting

##\ddot{\varphi} \sin^2 \theta + 2 \cos \theta \sin \theta \dot{\varphi}^2 = 0##

but that's not what you seem to suggest (or is that easily integrable? Maybe I just don't know how to solve that). Note that I didn't simplify the sin so that you can still see the process through. I'm not sure how to integrate with two variables depending on time. :/

TSny said:
This is good. You have the general solution for the equation of motion for ##z##. When solving a second order differential equation, you will have two arbitrary constants that are determined by the initial conditions. Since you are asked to come up with just one specific solution to the equations of motion, you are free to pick any initial conditions that you want.

That's great, thanks!

TSny said:
What is the meaning of the primes here? In spherical coordinates, ##\varphi## is the angle between the x -axis and the projection of ##\vec{r}## onto the x-y plane.

The primes refer to a cartesian coordinate system having ##m_2## for origin and with its axes parallel to the corresponding x,y,z-axes. A bit farfetched but it kind of help me to visualise which angles we were talking about. :)

Julien.
 
  • #21
JulienB said:
Thanks again for your answer. I'm pulling my hair on the equation of motion for ##\varphi##. I keep on getting

##\ddot{\varphi} \sin^2 \theta + 2 \cos \theta \sin \theta \dot{\varphi}^2 = 0##
The last term isn't quite right. Instead of ##\dot{\varphi}^2##, you should have something else. However, think about where this equation is coming from. Doesn't it come from ##\frac{d[*]}{dt} = 0## for some expression ##*##? This is immediately integrable. If the derivative of something is zero, than what does that tell you about the something?

The primes refer to a cartesian coordinate system having ##m_2## for origin and with its axes parallel to the corresponding x,y,z-axes. A bit farfetched but it kind of help me to visualise which angles we were talking about. :)
OK, that's good. And I suspect your choice of orientation of the primed coordinate axes is what is expected. However, you are actually free to choose the orientation of the primed axes. If you choose the orientation in a special way based on the initial conditions, the equations of motion for ##\theta## and ##\phi## become very simple. But, for now, it's probably best to stick with your choice.
 
  • #22
@TSny I am afraid I don't find where the mistake is. Here is what I have done in detail:

##\frac{\partial L}{\partial \dot{\varphi}} = m r^2 \sin^2 \theta \dot{\varphi}##

and with the use of the product rule:

##\frac{d}{dt} \frac{\partial L}{\partial \dot{\varphi}} = mr^2 \sin \theta \ddot{\varphi} + 2mr^2 \cos \theta \sin \theta \dot{\varphi}##

and ##\frac{\partial L}{\partial \varphi} = 0##. Do I differentiate wrongly or is something in my L missing something? I just notice the ##\dot{\varphi}## instead of ##\dot{\varphi^2}##, maybe the mistake was there?

TSny said:
However, you are actually free to choose the orientation of the primed axes. If you choose the orientation in a special way based on the initial conditions, the equations of motion for ##\theta## and ##\phi## become very simple. But, for now, it's probably best to stick with your choice.

I can see that now, indeed. I guess I was afraid to miss something, but I will try to redo the exercise later with ##m_2## as origin for the Cartesian and for the spherical coordinate systems.

Julien.
 
  • #23
JulienB said:
@TSny I am afraid I don't find where the mistake is. Here is what I have done in detail:

##\frac{\partial L}{\partial \dot{\varphi}} = m r^2 \sin^2 \theta \dot{\varphi}##

and with the use of the product rule:

##\frac{d}{dt} \frac{\partial L}{\partial \dot{\varphi}} = mr^2 \sin \theta \ddot{\varphi} + 2mr^2 \cos \theta \sin \theta \dot{\varphi}^2##
How do you get the ##\dot{\varphi}^2## in the last term. This term comes from taking the derivative of ##\sin^2 \theta## with respect to time. What do you get for ##\frac{d \sin^2\theta}{dt}##?

and ##\frac{\partial L}{\partial \varphi} = 0##.
Yes. Since ##\frac{\partial L}{\partial \varphi} = 0##, your equation of motion is just ##\frac{d}{dt} \frac{\partial L}{\partial \dot{\varphi}} = 0##. Instead of carrying out the time derivative on the left, integrate both sides of ##\frac{d}{dt} \frac{\partial L}{\partial \dot{\varphi}} = 0## with respect to time.
 
  • #24
And if I follow what you are saying, ##\frac{d}{dt} \frac{\partial L}{\partial \dot{\theta}} = 0## is what I should be integrating. I get from that ##\frac{\partial L}{\partial \dot{\varphi}} = mr^2 \sin^2 \theta \dot{\varphi} = const.## That would mean ##\dot{\varphi}## is constant? Not really sure about that.
 
  • #25
@TSny I think I corrected the square on ##\dot{\varphi}## in my last post while you were answering. I also wrote the last post before reading your post.
 
  • #26
JulienB said:
And if I follow what you are saying, ##\frac{d}{dt} \frac{\partial L}{\partial \dot{\theta}} = 0## is what I should be integrating. I get from that ##\frac{\partial L}{\partial \dot{\varphi}} = mr^2 \sin^2 \theta \dot{\varphi} = const.##
Good. You have found a quantity that does not change with time. That will be helpful in answering one of the parts of the question.
That would mean ##\dot{\varphi}## is constant? Not really sure about that.
No, you cannot deduce that ##\dot{\varphi}## is a constant from ##mr^2 \sin^2 \theta \dot{\varphi} = const##. Keep in mind that ##\theta## is a variable that could be changing with time.
 
  • #27
@TSny Oh my god but I can deduce that ##\sin^2 \theta \dot{\varphi} = 1## and so that ##\dot{\varphi} = \frac{1}{\sin^2 \theta}## ! This homework is crazy :P Okay I'm going to try to get further with that...Julien.
 
  • #28
JulienB said:
@TSny Oh my god but I can deduce that ##\sin^2 \theta \dot{\varphi} = 1##
It's not necessarily equal to 1. But it is equal to a constant that would be determined from the initial conditions. You might consider the meaning of the quantity ##mr^2\sin^2\theta \dot\varphi##.
 
  • #29
TSny said:
It's not necessarily equal to 1. But it is equal to a constant that would be determined from the initial conditions. You might consider the meaning of the quantity ##mr^2\sin^2\theta \dot\varphi##.

Okay I was jumping to conclusions a bit too fast. I imagine that ##\frac{\partial L}{\partial \dot{\varphi}}## refers to the angular momentum in the x,y-plane, right? And the fact that it is a constant should be equivalent to saying that this angular momentum is conserved, which as you mentioned earlier will be useful in part c).

And about the initial conditions...Not sure what I am allowed to do, I feel like the constant would be different in function of what the initial conditions are. If I define initial conditions for say ##\dot{\varphi}## and ##\theta##, then is that what would lead me to a so-called "special solution"?

For now I wrote ##\sin^2 \theta \dot{\varphi} = k (const.)## and therefore ##\dot{\varphi} = \frac{k}{\sin^2 \theta}## and

##\ddot{\theta} - \big(\frac{k}{\sin^2 \theta}\big)^2 \cos \theta \sin \theta = 0##

which ultimately led me to

##\ddot{\theta} = \frac{k^2}{\sin^2 \theta \tan \theta}##.

I'm going to give it some more thoughts, but at that point I am kind of stuck.Thanks a lot for your patience.

Julien.
 
  • #30
JulienB said:
Okay I was jumping to conclusions a bit too fast. I imagine that ##\frac{\partial L}{\partial \dot{\varphi}}## refers to the angular momentum in the x,y-plane, right?
Yes. Equivalently, this is the z component of the angular momentum.
And the fact that it is a constant should be equivalent to saying that this angular momentum is conserved, which as you mentioned earlier will be useful in part c).
Yes.
And about the initial conditions...Not sure what I am allowed to do, I feel like the constant would be different in function of what the initial conditions are. If I define initial conditions for say ##\dot{\varphi}## and ##\theta##, then is that what would lead me to a so-called "special solution"?
Initial conditions for ##\theta## will be specific values of ##\theta## and ##\dot{\theta}## at time ##t = 0##. Similarly for ##\varphi, x, y##, and ##z##.
For now I wrote ##\sin^2 \theta \dot{\varphi} = k (const.)## and therefore ##\dot{\varphi} = \frac{k}{\sin^2 \theta}##
Good.
and

##\ddot{\theta} - \big(\frac{k}{\sin^2 \theta}\big)^2 \cos \theta \sin \theta = 0##

which ultimately led me to

##\ddot{\theta} = \frac{k^2}{\sin^2 \theta \tan \theta}##.
Yes.
I'm going to give it some more thoughts, but at that point I am kind of stuck.
Think about numerical values that you can pick for the initial conditions to make the integration of the equations of motion easy.
 

Similar threads

Replies
3
Views
1K
  • · Replies 4 ·
Replies
4
Views
1K
  • · Replies 3 ·
Replies
3
Views
2K
Replies
1
Views
1K
  • · Replies 9 ·
Replies
9
Views
2K
Replies
1
Views
1K
Replies
3
Views
2K
  • · Replies 11 ·
Replies
11
Views
3K
Replies
8
Views
2K
  • · Replies 24 ·
Replies
24
Views
2K