EEristavi
- 108
- 5
Problem:
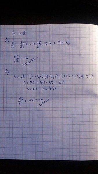
How fast is the area of a rectangle changing if one side is I0 cm
long and is increasing at a rate of 2 cm/s and the other side is 8 cm
long and is decreasing at a rate of 3 cm/s?I have 2 approach and I want to know which is correct, why and what am I missing
How fast is the area of a rectangle changing if one side is I0 cm
long and is increasing at a rate of 2 cm/s and the other side is 8 cm
long and is decreasing at a rate of 3 cm/s?I have 2 approach and I want to know which is correct, why and what am I missing
